brunch

효과적인 LTV활용기

by Mobiinside

BUZZVIL 블로그에 소개된 글을 편집한 뒤 모비인사이드에서 한 번 더 소개합니다.

CAC.png

안녕하세요. 모바일 잠금화면 애드네트워크 버즈빌의 Business Intelligence Manager, Elia입니다.

저희 버즈빌에서는 LTV(Lifetime Value)를 많은 곳에 사용하고 있습니다. LTV를 이용한 UA(User Acquisition)채널 관리도 그 중 하나입니다. 이번 포스팅에서는 버즈빌이 그동안 LTV를 구하기까지 겪었던 시행착오와 함께 LTV 계산의 효과적인 응용방법에 대해서 소개해드리고자 합니다.

J-1024x762.png


마케팅은 비용이다? 투자다!?

모바일 광고 인더스트리에서는 공통적으로 중요시 여기는 지표들이 있습니다. NRU(New Registered User), DAU(Daily Active User), 그리고 retention rate은 모바일 광고 플레이어라면, 그리고 특히 마케터라면, 하나라도 놓쳐서는 안되는 필수적인 지표들입니다.

여러 채널들을 통해서 유입되는 NRU를 관리하고, 이렇게 유입된 유저들의 retention rate을 관찰하면, 그 비지니스의 DAU가 결정되게 됩니다. 일반적인 마케터라면 NRU와 retention rate 관리에 필요한 비용은 어느정도 감을 잡고 있을 것입니다 (그렇지 않으면 안됩니다).


여기까지를 잘 해내기만 해도 준수한 마케터라고 할 수 있겠지만, 이것만으로 최고의 마케터가 될 수는 없습니다. 왜냐하면 사업 전체적인 관점에서 봤을 때 보다 중요한 질문이 있기 때문입니다. 마케팅 분야의 저명한 학술지 Journal of Marketing Research의 지난 수십년간의 논문에 대해서, 텍스트 마이닝을 통해 가장 빈번한 키워드가 무엇이었는지를 발표한 흥미로운 논문이 있습니다. 그 중에서 4위를 차지한 키워드가 바로 ‘measurement’입니다. 이는 마케터의 영원한 딜레마에 대해서 학자들이 얼마나 많이 연구했는지를 보여주는 부분입니다.


그 딜레마라 함은 바로


그래서 그거 돈 돼?

라는 CEO의 질문입니다. 마케터가 Facebook posting으로 10만 share를 만들어내고, Super Bowl 광고를 통해서 트위터가 본인의 회사의 이름으로 도배가 되어도 CEO의 질문은 본질적으로 변하지 않습니다. “그래서 그거 돈 돼?” 입니다.

여기서 중요하게 생각해야할 점이 마케팅 활동도 전사적 입장에서 보면 단지 비용이 아니라 투자라는 점입니다. 모든 투자는 ROI를 따져서 그 적합성과 성과를 따지고, 마케팅 활동 역시 ROI를 살펴봐야 할 대상입니다.


LTV 계산은 ROI 분석의 첫발


마케터의 노력의 산물인 NRU와 retention rate을 ROI의 관점에서 분석할 수 있게 해주는 metric이 바로 LTV 입니다. Lifetime Value의 줄임말인 LTV의 중요성은 이미 예전부터 인식되어 왔고 기업들의 LTV관리를 위한 노력은 주위에서 쉽게 찾을 수 있습니다.

커피 전문점에서 10개를 사면 1개를 무료로 주는 프로그램이 그 전형적인 예입니다. 그들은 왜 그런 프로그램을, 얼핏보면 손해라고 느껴질수도 있는 프로그램을 운영하는 것일까요? 첫번째 해답은 retention rate에 있고, 보다 궁극적인 답으로는 LTV에 있다고 할 것입니다.

커피 전문점의 예를 들면, 쿠폰을 찍게 함으로써 다음 구매에 대한 확률을 높일 수 있습니다. 여기서 다음 구매에 대한 확률, 고객이 다시 이 커피 전문점을 방문해서 구매할 확률이 retention rate이라고 볼 수 있습니다. 그렇지만 단지 우리 매장과 서비스를 다시 방문하는 것만이 중요한 것이 아니라, 비지니스의 보다 원초적인 질문은 “그 고객의 재방문이 우리의 사업에 도움이 되느냐?” 입니다.

물론 Profit을 무시한채 revenue를 쫓아야 할 때도 있지만, 사업의 기본은 뭐니뭐니해도 profit입니다. 만약 커피를 판매하는데서 오는 비용이 수익보다 많다면, 고객이 다시 우리 매장을 찾으면 오히려 손해가 커지는 구조일테니, retention이라는 것 자체가 의미가 없어지게 됩니다. 그렇기 때문에 마케터가 봐야할 궁극의 지표중에 하나로 저는 LTV가 있다고 생각합니다.

cost-benefit-balance.jpg

LTV 계산의 시행착오

버즈빌에서는 LTV를 계산하려는 시도를 사업 초창기부터 해왔습니다. LTV 계산에 대해서 잘 정리되어있는 “조성문의 블로그: 고객 생애 가치(Customer Lifetime Value) 이해하기“를 참고하여 LTV 계산의 첫발을 내딛었습니다. 해당 포스팅에서는 LTV를 아래와 같이 정의합니다.

18.png

위와 같은 정의에 따라 LTV를 계산하려던 저희의 시도는 안타깝게도 크게 의미있는 결과를 만들어내지 못했습니다. 그 이유는 크게 두가지입니다.

1.Data가 부족하다.
2.Business cycle상 LTV를 계산하기에는 시기상조이다.


위의 식대로 LTV를 계산하려면 고객 1인당 평균 매출, retention rate, acquisition cost가 어느정도 정확하게 측정이 되어야 합니다. 그러나 모바일 광고시장의 복잡성으로 인해, 유저 한 명이 창출하는 매출이 어느 정도인지 평균적으로 측정한다는 것이 쉽지 않았습니다.


광고 매출은 임프레션당 발생하는 매출, 클릭당 발생하는 매출, 인스톨이나 실행과 같은 특정 조건이 만족되었을 때 발생하는 매출 등으로 다양하기 때문에 총 매출을 유저의 수로 나누는 것은 너무 많은 정보를 놓쳤습니다. 그렇다고 따로따로 하나씩 측정하기에는 유저들의 행동을 정확히 판단할만한 데이터가 부족하였습니다.

데이터의 부족을 실감하고 난 뒤 언제 어디서 무슨 데이터를 수집할 것이고, 수집된 데이터를 어떤 형태로 보관하고 어떤 형태로 이용할 수 있게 할 지를 매우 꼼꼼하게 점검한 뒤 실행에 옮겼습니다. 또한, retention rate과 같은 지표는 어느정도의 시간이 지나야 안정적인 데이터가 나오기도 합니다.


Business cycle상 초창기에는 매출, retention rate, 그리고 acquisition cost 모두 불안정하기에 적정한 값을 추정해서 식에 대입하기가 힘듭니다. 사업의 특성상 지표들이 안정되기까지 필요한 시간이 다 다르겠지만 버즈빌의 경우엔 최소 1년은 필요했습니다.


Buzzvil의 LTV 계산법


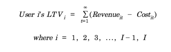
그렇게 시간이 흘러서 지표가 안정되고 데이터가 쌓이면서 LTV를 계산할 수 있게 되었습니다. LTV는 국가별로 계산할 수도 있고 전체의 평균을 계산할 수도 있지만, 버즈빌에서는 가능한 한 최대로 작은 단위로 계산을 하려고 꾸준히 노력했고 결국 개인별 LTV까지 계산할 수 있게 되었습니다. 먼저 버즈빌의 LTV 계산법을 살펴보고 그렇게 산출된 LTV를 활용한 마케팅 운용의 예를 살펴보겠습니다. 우선 사용된 LTV의 공식은,

DAF.png

로 간단히 표현할 수 있습니다. 위 공식은 간단한 1줄이지만 많은 내용을 내포하고 있습니다. 먼저 시간단위 t는 retention rate과 관계가 깊습니다. User i 의 retention rate이 낮으면 t의 범위가 하루, 이틀로 줄어들 것이고, 반대로 retention rate이 높으면 t의 범위가 1년, 2년을 넘어 길어질 것입니다.

매 t당 revenue가 cost보다 크다는 전제 하에 있다면, retention rate의 증가는 LTV 증가에 필수적인 요소가 될 것입니다. Revenue와 cost 모두 i와 t에 따라 값이 다르다는 부분도 중요한 부분입니다. 위에서도 말했듯, 마케팅의 큰 관심 중에 하나가 바로 measurement입니다. Measurement가 제대로 선행되지 않는다면 user i가 time t에 만들어 낸 revenue와 cost를 추적하기가 쉽지 않습니다. 레스토랑을 한번 예로 들어보겠습니다.


고객의 LTV를 측정하려면 특정한 고객의 방문 히스토리가 기록되어 있어야 하는데, 대부분의 레스토랑엔 그런 기능이 존재하지 않습니다. 그렇기 때문에 로얄티 프로그램을 만들어서 고객의 히스토리를 정확히 기록하고자 하는 것입니다. 그렇게 되면 특정 고객이 어느 때에 레스토랑을 방문해서 무엇을 주문하고 얼마를 냈는지, 그리고 그 때에 그 음식의 마진이 어느정도였는지가 기록되어있다면 LTV를 계산할 수 있을 것입니다.


데이터의 양이 무궁무진해진 온라인 광고 시장에서는 고객의 아주 사소한 행동까지도 데이터로 추적이 가능하기 때문에, 위와 같은 식의 LTV 계산이 가능해집니다. 시간 t는 서비스의 종류에 따라 보다 세밀하게 시간 단위로 나눌 수도, 아니면 더 큰 단위로 나눌 수도 있을 것입니다.


LTV를 이용한 채널관리


LTV의 계산이 이뤄졌다면 이제 이 계산된 LTV를 어디에 활용할 수 있을지 생각해봐야 합니다. LTV는 그 자체만으로 매우 방대한 양의 정보를 담고 있기에 많은 부분에 사용될 수 있습니다. 시간의 흐름에 따라 어느 시점에 LTV의 감소가 가장 큰지를 파악해서 마케팅 이벤트를 통해 수익을 증대시킬 수도 있고, 유저별 revenue – cost 값을 살펴보고 세그멘테이션을 통한 수익구조 개선도 생각해볼 수 있습니다.

버즈빌에서 LTV를 이용하며 큰 수익구조 개선이 있었던 부분은 user acquisition 부분입니다. 게임 앱 시장 등에서 활발히 이뤄지고 있는 influencer 마케팅이 그 좋은 예가 될 수 있습니다. 각 채널별로 보유하고 있는 influencer들이 다르고, 각각의 influencer들이 앱이나 서비스를 홍보하는 방식도 차이가 있습니다. 그렇기 때문에 채널별로 유입되는 유저들의 수익성에 많은 차이가 있을 수 있습니다.

예를 들어서 “어떻게든 설치만 하고 바로 지워도 됩니다”라는 메세지를 보내는 influencer가 있고, “정말 좋은 앱이니까 설치하고 한 번 써보시면 후회하지 않습니다”라는 메세지를 보내는 influencer가 있다고 하면, 두 채널을 통해서 유입된 유저는 retention rate 등에서 차이가 나게 됩니다. 전자의 메세지를 전달하는 채널이 acquisition cost가 유의미하게 저렴하다면 retention rate이 낮음에도 불구하고 더 좋은 수익성을 보일 수 있고, 반대로 cost가 비슷하다면 retention rate이 수익성을 가르는 핵심 지표가 될 수 있습니다.


하지만 retention rate 말고도 유저의 활동성도 수익에 큰 영향을 끼치기에 retention rate 하나만으로 채널의 좋고 나쁨을 판단하는 것은 위험합니다. 그렇기 때문에 LTV를 고려하면 자동적으로 retention rate과 활동성이 반영되는 지표가 만들어지고, 이 지표를 acquisition cost와 비교하면 수익성을 판단하는 일이 매우 간단한 일이 됩니다.


마치며..


모바일 광고 시장에서 데이터를 살펴보는 일을 하다보면, 똑같은 한 명의 유저라도 그 유저의 행동에 따라 상당히 많은 수익성 차이가 있을 수 있는 것을 알 수 있습니다. 활동성이 낮은 유저와 높은 유저는 CTR에서부터 impression까지 많은 차이가 있습니다.

버즈빌은 위와 같은 LTV계산을 통해서 기본적으로 활동성이 우수한 알찬 DAU를 구성할 수 있었습니다. 이렇게 구성된 DAU를 가지고 타게팅 고도화 등의 작업을 통해서 보다 알맞은 광고를 유저들에게 연결시켜주기 위해 노력하고 있습니다. 이 글이 독자 여러분들이 좋은 마케터가 되는 데에, 그리고 여러분의 회사가 더 좋은 수익성을 갖게 되는 데에 조금이나마 도움이 될 수 있으면 좋겠습니다.

88x311.png


keyword
작가의 이전글인바운드 마케팅으로 고객을 발견하라