brunch

Gourmand note

les gourmandes notes

by Modernez




크리스마스가 다가올 무렵에 열리는 크리스마스 마켓에는 재밌는 볼거리가 많죠. 특히 유럽의 크리스마스 시즌에는 다양한 디저트를 맛볼 수 있어요 디저트는 달콤함으로 미각을 자극함과 동시에 후각에도 영향을 줍니다. 쿠키의 고소한 버터 향, 따뜻한 우유거품에 녹은 카라멜 시럽의 향기를 예로 들 수 있겠죠.


이렇게 음식 속에 들어있는 향이 실제로

향수의 원료가 되기도 합니다.

향수의 세계에서는 미각적으로 해석되는 맛의 노트를 gourmand note라고

따로 정의합니다.


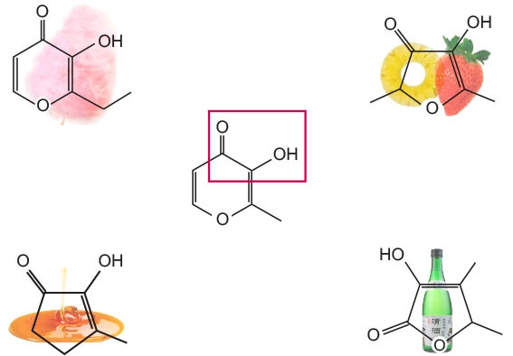
gourmand 노트의 예


gourmand note의 종류로는 마카롱, 카라멜, 아몬드, 꿀 등이 있습니다. 이 노트들을 구성하는 다양한 향의 원료들이 천연에서 혹은 화학적인 합성을 통해 발견되었어요.



gourmand 노트의 원료물질들


설탕을 졸이는 과정에서 생기는 Maltol, 솜사탕의 느낌을 주는 Ethyl maltol, 파인애플과 딸기향을 내는 Furaneol, 메이플 시럽향의 Cyclotene 그리고 사케향으로 알려진 Sotolone 모두 gourmand 노트의 주요 원료들이에요. 흥미로운 점은 이들모두 공통적으로 planar enol-carbonyl 구조를 공유하고 있고, 카라멜과 흡사한 향을 낸다는 점입니다. 화학구조를 분석하면 향을 더 깊게 이해할 수 있어요. 화학과 향수는 서로 밀접한 분야의 학문 입니다




Editor 나나

작가의 이전글프레데릭 말