향기학개론: GOURMAND

| guʀmɑ̃ | 식도락[미식]을 즐기는,미식(법)의

by Modernez

크리스마스가 다가올 무렵에 열리는 크리스마스 마켓에는 재밌는 볼거리가 많죠. 특히 유럽의 크리스마스 시즌에는 다양한 디저트를 맛볼 수 있어요 디저트는 달콤함으로 미각을 자극함과 동시에 후각에도 영향을 줍니다. 쿠키의 고소한 버터 향, 따뜻한 우유거품에 녹은 카라멜 시럽의 향기를 예로 들 수 있겠죠.

© 2018 Le Modernez. All Rights Reserved.


이렇게 음식 속에 들어있는 향이 실제로 향수의 원료가 되기도 합니다. 향수의 세계에서는 미각적으로 해석되는 맛의 노트를 gourmand note라고 따로 정의합니다.

gourmand note의 종류로는 마카롱, 카라멜, 아몬드, 꿀 등이 있습니다. 이 노트들을 구성하는 다양한 향의 원료들이 천연에서 혹은 화학적인 합성을 통해 발견되었어요.


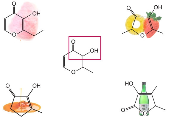
gourmand 노트의 예 © 2019 Le Modernez. All Rights Reserved.

설탕을 졸이는 과정에서 생기는 Maltol, 솜사탕의 느낌을 주는 Ethyl maltol, 파인애플과 딸기향을 내는 Furaneol, 메이플 시럽향의 Cyclotene 그리고 사케향으로 알려진 Sotolone 모두 gourmand 노트의 주요 원료들이에요. 흥미로운 점은 이들모두 공통적으로 planar enol-carbonyl 구조를 공유하고 있고, 카라멜과 흡사한 향을 낸다는 점입니다. 화학구조를 분석하면 향을 더 깊게 이해할 수 있어요. 화학과 향수는 서로 밀접한 분야의 학문 입니다.


구조.jpg gourmand 노트의 화학원료 물질들 © 2019 Le Modernez. All Rights Reserved.



미식의 측면을 갖고 있는 gourmand 향수들은 뿌리는 이에게 달콤한 유년의 기억을 불러 일으킴으로써 기쁨을 주기도 하지만 지적이면서도 센슈얼한 분위기를 주어, 성숙한 느낌을 연출할 수 있게 해준다.




출처: MUGLER 공식 홈페이지






ANGEL by Thierry Mugler (1992)


gourmand 향수의 시조새이자, 샤넬 No.5 이후, 전 세계 베스트 셀러로 기록된 ANGEL.

2007 FIFI Award Hall of Fame 을 수상했다

Ethyl maltol이 과량 들어있어 카라멜과 초콜릿향이 풍부함. 파츌리와 바닐라의 베이스노트로 무게감 있게 표현되는 향수










출처: HUGOBOSS 공식 홈페이지



BOSSTHE SCENT FOR HER by BOSS HUGO BOSS (2018)


카카오 앱솔루트가 들어간 덕분에 진한 초콜릿향기를 느낄 수있다. 그러나 단순히 gourmand 하기만 한 것은 아니다. 부드러운 플로럴 노트와 tonka bean이 만나서 섬세하면서도 파우더리한 잔향이 꽤 오래지속된다.






출처: MAISON FRANCIS KURKDJIAN 공식 홈페이지



BACCARAT ROUGE 540 EXTRAIT DE PARFUM by Maison Francis Kurkdijian (2017)


메종 프란시스 커정의 바카라루쥬를 맡는 순간 놀이공원의 솜사탕이 생각난다. 잔향은 달콤한 딸기잼이 떠오르게 되는데, 향을 맡고 있으면 눈깔사탕을 먹으면서 행복해했던 유년시절이 떠오른다.









출처: KENZO 공식 홈페이지







Kenzo Flower by Kenzo L'Elixir (2015)


고소하면서 부드럽게 표현된 nutty 노트가 전반적인 향수의 분위기를 이끈다. 스윗한 프랄린이 아닌, 고소한 견과류의 향조가 플로럴 노트와 만나 전혀 어색하지 않게 잘 조화 되어 표현되었다. 발사믹한 아몬드의 nutty note에만 익숙해 있던 나에게는 신선한 충격이었다. 며칠 지난 후에 맡아도, nutty note는 은은하게 잔향으로 남는다.






Editor.NANA

copyright 2018 Le Modernez. All Rights Reserved.

keyword
매거진의 이전글올해의 팬톤컬러와 향수