brunch

금리가 높아지면 왜 채권가격이 떨어질까?

by 이진


경제 뉴스를 읽다 보면 "금리 상승으로 채권 가격이 하락했다"는 표현을 자주 접하게 된다. 자주 등장하는 표현이다보니 자연스레 넘어가게 되지만, 한 번쯤은 왜 이러한 관계가 성립하는지 의문을 가져본 적 있을 것이다.


이 글에서는 금리와 채권 가격 사이의 반비례 관계를 쉽게, 또 확실히 이해할 수 있도록 최대한 다양한 방식으로 풀어 설명해보려고 한다. 이번 기회에 마음에 드는 설명을 하나 골라 자기 것으로 만들어보자. 채권에 대한 이해를 한 단계 끌어올리는 계기로 삼고, 관련 이야기가 나올 때 주변 사람들에게 슬쩍 아는 척을 해보는 것도 나쁘지 않다.



첫째, 재무적 관점에서 수식으로 이해하기


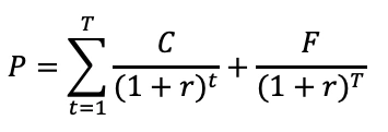
C는 표시이자 지급액, F는 원금, r은 시장이자율이다.



재무관리의 기초 개념에 어느 정도 익숙한 이라면, 아마 첫번째 설명이 가장 간단하고도 명료하게 느껴질 것이다.


채권의 현재가격(P)은 이자지급액(표시이자,이표액)의 현재가치+액면가(원금)의 현재가치이다.

즉, 각 시점의 이자지급액(C)과 액면가(F)를 시장이자율(r)로 할인한 현재가치를 모두 합한 금액이다.


미래에 발생할 모든 현금흐름을 현재가치로 할인하여 합하는 방식은 유가증권의 가격을 결정하는 가장 기본적인 원리이므로 알아두면 좋다.


분모의 시장이자율은 시간의 흐름에 따라 변동하는 반면, 분자의 원금과 표시이자율(표시이자)은 발행시점에 결정되어 변하지 않는다.


수식의 다른 변수가 일정한 상태에서 분모의 시장이자율이 올라가면 할인율이 높아지므로 채권의 현재가격이 떨어진다.


반대로, 시장이자율이 내려가면 할인율이 낮아지므로 채권의 현재가격이 올라간다. 어떠한 현금흐름을 할인하는 할인율이 커지면, 그 현재가치는 작아지기 때문이다.


단순하게 요약하자면, 채권의 현재가격을 나타내는 수식의 분모에 시장이자율이 있기 때문에 채권가격은 시장이자율과 반대로 움직이게 되는 것이다.



둘째, 수요-공급의 시장논리로 이해하기


두번째 접근법은 비전공자 입장에서 가장 이해하기 쉽고 설득력있게 받아들여질 수 있는 설명이다.


시장의 이자율이 높아진다는 것은, 과거에 매입한 내 채권의 조건이 불리해짐을 뜻한다.


2025년 7월 14일, 수익률 5%의 채권을 매입했다고 가정해보자. 당시 시장균형에 따라 다른 채권들도 5% 수준의 수익률을 제공하고 있었기 때문에, 나는 시장 평균 수준의 채권을 보유한 상태였다.


그런데 9월, 시장 이자율이 3%로 하락했고, 새롭게 발행되는 채권들은 3%의 수익률을 제공한다.

이에 따라 여전히 5%의 수익률을 보장하는 내 채권은 더 높은 가치를 갖게 되었다. 만기, 신용등급 등의 조건이 동일하다면, 내 채권은 수요가 증가하므로 가격이 상승한다.


반대로 시장이자율이 9%로 상승했다면, 여전히 5%의 수익률을 보장하는 내 채권은 가치가 낮아지므로, 수요가 감소하여 가격이 하락하게 된다.


앞선 내용은 모두 이자율→채권가 방향의 설명인데, '반비례'관계라면 채권가→이자율의 방향으로도 논리가 성립해야하는 것 아닌가? 라는 생각이 들었다면, 매우 날카로운 지적이다. 반대의 논리 역시 성립한다.


채권가격이 떨어지면 시장이자율이 올라가고, 채권가격이 올라가면 시장이자율이 내려간다니 직관적으로 와닿지 않을 수 있다. 시장이자율의 다른 표현이 '기대수익률'임을 생각하면 보다 이해가 쉬워진다.


채권가격이 떨어지면, 나는 그 채권을 저렴하게 매입할 수 있으므로 기대수익률은 올라간다. 같은 조건의 물건을 구매할 때, 싼 가격에 매입하면 수익률이 높아지는 것은 당연한 이치이다. 반대로 채권가격이 올라가면, 나는 그 채권을 비싸게 매입할 수밖에 없으므로 기대수익률은 내려간다. 이로써 채권가와 이자율 사이의 반비례 관계를 반대 방향으로 다시 한번 확인해 볼 수 있다.



셋째, 채권시장과 대부자금시장의 동시작용으로 이해하기


세번째 설명을 완전히 이해하기 위해서는 일정 수준 이상의 거시경제학적 배경지식이 요구된다.

위 두 설명 방식에 비해 논리 전개가 상당히 까다로울 수 있으나, 한 번 이해하면 사고를 확장시키는 데 큰 도움이 되리라 생각하여 조심스럽게 소개해보려고 한다.


우선 설명을 위해 두 시장을 상정해보자.

거시경제학에서 '돈'에 대한 시장에 해당하는 ①대부자금시장과 ②채권시장이다.

채권을 발행하고 매입하는 것은 결국 돈을 빌리고 빌려주는 것과 동일하다는 점에서 대부자금시장과 채권시장은 연결된다.



출처: 한국경제신문 경제연구소


일반적인 수요-공급 모형에서 가격(p)이 수요와 공급의 균형을 형성하는 것처럼, 대부자금시장에서는 이자율(r)이 균형을 형성하는 역할을 한다. 이자율은 '돈의 가격'이기 때문이다. 대부자금시장의 수요란 돈에 대한 수요를, 공급이란 돈의 공급을 의미한다.


채권시장에서도 일반적인 재화시장 모형과 마찬가지로, 채권에 대한 수요와 공급이 만나는 지점에서 균형 채권가격(p*)이 결정된다. 채권의 수요란 돈에 대한 공급을, 채권의 공급이란 돈에 대한 수요를 의미한다. 채권을 매입하는 것은 자금을 대출해주는 것을, 채권을 매도하는 것은 자금을 차입하는 것을 의미하기 때문이다.


출처: 한국경제신문 경제연구소


대부자금(돈)에 대한 수요가 올라가면, 대부자금시장의 수요곡선은 우측으로 이동하기 때문에 이자율은 상승한다. 동시에 돈이 필요한 기업은 채권 발행을 늘릴 것이므로 채권시장에서 공급곡선은 우측으로 이동하고, 채권가격은 하락한다. 대부자금 수요곡선의 우측 이동과 채권 공급곡선의 우측 이동은 동시에 발생하는 현상인 것이다.


이로써 이자율과 채권가격 사이의 반비례 관계를 대부자금시장과 채권시장, 두 시장이 함께 움직이는 모습으로 다시 한번 이해해볼 수 있다.


한 마디로 정리하면, 돈에 대한 수요가 증가하면 돈의 가격인 이자율은 상승하고, 채권의 공급은 증가하기 때문에 채권가격은 하락한다는 것이다.


이 설명 방식의 장점은, 이자율 상승/하락과 채권가격 하락/상승이 동시에 발생하는 모습을 직관적으로 보여주어 채권 가격과 이자율 사이의 반비례 관계를 양방향(채권가격→이자율, 채권가격←이자율) 모두에서 자연스럽게 설명할 수 있다는 것이다.



지금까지 채권가격과 이자율 사이의 반비례 관계를 재무적, 경제적 관점에서 다양한 방식으로 살펴보았다.

앞선 세 가지 설명을 통해 채권과 이자율의 관계에 대한 개념을 명확히 하고, 궁금증을 조금이나마 해소할 수 있었기를 바라면서 글을 마친다.




<참고자료>

한국경제신문 경제연구소 https://stibee.com/api/v1.0/emails/share/yKHRxYkmvS64v4x1TpgGdCXkfsFht64=

keyword
매거진의 이전글비트코인과 블록체인은 어떤 관계일까?