brunch

채권 종류와 채권시장의 균형, 깔끔하게 정리해드립니다.

by 이진


채권, 처음에는 단순해보이지만 막상 알아가기 시작하면 참 복잡하다.

이해를 해도 헷갈리고, 나중에 또 보면 새롭고, 다 안다고 생각했는데도 머릿속이 뒤죽박죽이다.

분명 채권에 대해 알고 있긴 하지만, 어딘지 모르게 찝찝함이 남아있는 이들이 이 글을 읽고 채권에 대해 명쾌한 정리를 할 수 있었으면 하는 바람이다.


이 글에서는 모든 조건이 동일한 채권을 만기까지 보유하는 이론적 상황을 가정하여, 채권의 현재가치와 액면가의 관계에 따라 구분되는 액면채, 할인채, 할증채의 개념과 함께 채권시장의 이론상 균형에 대해 이야기해보려고 한다.




채권의 기초


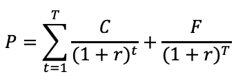
1. 채권의 현재가격은 이자 지급액(표시이자,이표액)의 현재가치+액면가(원금)의 현재가치이다.


즉, 각 시점의 이자지급액과 액면가를 시장이자율로 할인한 현재가치를 모두 합한 금액이다.

이는 유가증권의 가격을 결정하는 가장 기본적인 원리이다.


이론적으로 채권을 비롯한 유가증권의 현재가격은 미래에 유입될 현금흐름의 현재가치 구한다.

따라서 주식 역시 같은 방식으로 현재가격을 도출한다. 채권을 들고있으면 나에게 이자와 원금이 유입되듯, 주식을 들고있으면 배당과 매도할 때의 주가가 유입된다. 이러한 현금흐름을 현재가치로 할인하여 합한 것이 현재시점에서의 주식의 가격이 된다.


2. 채권가격은 시장이자율에 반비례한다.


채권가격을 나타내는 수식의 다른 변수가 일정한 상태에서 분모의 시장이자율이 올라가면 할인율이 높아지므로 채권의 현재가격이 떨어진다. 반대로, 시장이자율이 내려가면 할인율이 낮아지므로 채권의 현재가격이 올라간다. 어떠한 현금흐름을 할인하는 할인율이 커지면, 그 현재가치는 작아지기 때문이다.



3. 시장이자율은 시간의 흐름에 따라 변동하는 반면, 표시이자율(이표율)은 발행시점에 결정되어 변하지 않는다.


채권을 이해하기 위해서는, 표시이자율과 시장이자율을 명확히 구분지어 생각할 수 있어야한다.

"너 나한테 90만원 빌려주면, 내가 달에 5만원씩 이자 주고 3년 뒤에 원금 100만원으로 갚을게."에서의 이자가 바로 표시이자이다. 표시이자는 원금에 일정 %의 표시이자율을 곱한 값이다. 위 사례에서 표시이자율은 5%(원금 100만원 x 5%= 표시이자 5만원이므로)이다.


이처럼 표시이자는 특정 채권의 조건에 해당할 뿐이며, 표시이자와 관계없이 시장 이자율은 계속 변동한다. 시장이자율은 시장에서 동일 조건의 채권을 구매할 때 응당 받을 것으로 기대되는, 시장 참여자들이 요구하는 수익률정도로 이해하면 좋을 듯하다. 즉, "이 정도는 받아야 이 채권을 사지"라고 시장이 판단하는 수익률이다. 따라서 시장이자율은 ‘요구수익률’로 불리기도 한다.


채권의 수익률은 표시이자 지급액만으로 결정되는 것이 아니며, 동일 조건의 채권을 얼마나 싸게, 혹은 얼마나 비싸게 매입했는지 역시 중요한 요소다. 매 달 표시이자율이 5%라고 해서 그 채권의 수익률이 5%라고 말할 수 없는 이유이다.


초반에 시장이자율과 표시이자율의 차이를 제대로 잡아두지 않으면, 채권 공부는 하면 할수록 미궁으로 빠져든다. 표시이자율은 시장이자율과 같을 수도, 낮을 수도, 높을 수도 있다는 점을 명확히 해두자.




채권의 분류와 채권시장의 균형


채권발행시점에는 시장이자율과 같게 표시이자율을 책정하는 것이 일반적이므로 채권가와 액면가가 같다. 이를 액면발행이라고 한다.


다만 경우에 따라 채권 발행 시점부터 할인 발행하거나 할증 발행하는 경우도 존재한다.

같은 시점에 발행되는 채권이라도 채권마다 특성이 다양하므로 시장이자율과 별개로 이표율이 다양하게 형성될 수 있기 때문이다.


채권은 해당 채권의 표시이자율과 시장이자율의 관계에 따라 크게 세가지로 분류할 수 있다. 일반적으로는 이해를 위해 수요-공급의 시장논리를 많이 이용하나, 이 글에서는 액면채, 할인채, 할증채의 현금흐름을 직접 살펴보는, 조금은 새로운 방식으로 설명을 시도해보려고 한다. 현금흐름 할인에 아직 익숙치 않다면 바로 밑의 설명은 넘기고, 그 뒤에 설명할 시장논리를 통해 채권의 종류를 이해하는 것만으로도 충분하다.



(1)액면채


우선, 표시이자율과 시장이자율이 같아 채권가와 액면가가 동일한 채권을 액면채라고 한다. 표시이자율과 시장이자율이 같으면 왜 채권가격과 액면가가 동일할까?


채권가와 액면가가 같다는 것은, 오늘 1000원을 빌려주면 매 기 이표율에 해당하는 표시이자와 만기에 액면가에 해당하는 1000원을 받을 수 있다는 것을 의미한다. 즉, 현재의 1000원=매 기 표시이자액+미래의 1000원이다.


그런데 현재의 1000원은 미래의 1000원보다 가치가 높다. 돈은 미래로 갈수록 시장이자율만큼씩 성장하기 때문이다(현금흐름의 성장과 할인에 대한 기초적인 이해가 필요하다면, 다음의 글을 참고하기를 권한다).


이런 논리로 생각해보면 미래의 1000원은 현재로 내려오면서 일정부분 할인이 될텐데, 어떻게 미래의 액면가 1000원과 현재의 채권가 1000원이 같은 채권이 존재할 수 있단말인가?


표시이자액이 그 할인액을 정확히 메꾼다면 가능하다. 즉, 표시이자율과 시장이자율이 동일하면 된다.


만기(t기)의 원금 1000원이 전 기(t-1기)로 한 칸 내려올 때, 시장이자율만큼이 할인될텐데, 그 할인된 만큼의 금액이 정확히 표시이자 지급액과 동일하다면, 즉 시장이자율과 표시이자율이 동일하다면, t-1기에서도 채권가치는 그대로 1000원으로 유지된다.




원금이 1000이고 표시이자율이 10%인 3년만기 채권을 생각해보자.


이 채권의 현금흐름은 1기말에 100, 2기말에 100, 3기말에 1100(=1000+100)일 것이다.


이 때 시장이자율이 역시 10%라면, 3기말의 1100은 2기말로 한 기 내려올 때 10%가 할인되어 1000(=1100/1.1)이 될 것이다.


2기말의 표시이자를 더하면 다시 1100이 되는데, 이 1100은 1기말로 한 기 내려올 때 또다시 10%가 할인되어 1000이 된다.


똑같은 방식으로 1기말의 표시이자를 더하고, 10%로 할인되면 현 시점에서 채권의 가격은 1000원이 된다!


즉, 그 1100원이 한 기 앞으로 할인해서 내려올 때마다 이자지급액(100원, 표시이자율 10%)이 할인된 금액의 빈 자리를 정확히 채워주면, 미래의 원금 1000원과 현재의 채권가격 1000원이 같아진다.


이로써 표시이자율과 시장이자율이 같으면 채권의 액면가격과 채권가격이 같다는 사실을 알 수 있다.




(2) 할인채


그렇다면, 표시이자율보다 시장이자율이 크면 어떻게될까? 표시이자율보다 시장이자율이 커, 액면가격보다 채권가격이 작은 채권을 할인채라고 한다.


이 경우, 표시이자 지급액이 할인되는 금액을 완벽히 메꿔주지 못하여 미래의 1000원이 현재의 1000원으로 내려올 때 어쩔 수 없이 일정부분 할인되어 내려올 것이다.




다시 한 번, 원금이 1000이고 표시이자율이 10%인 3년만기 채권을 생각해보자.


이 채권의 현금흐름은 1기말에 100, 2기말에 100, 3기말에 1100(=1000+100)일 것이다.


이 때 시장이자율이 15%라면, 3기말의 1100은 2기말로 한 기 내려올 때 15%가 할인되어 956.52가 된다.


그런데 2기말의 표시이자 100을 더하면 1056.52로, 3기말의 현금흐름 1100보다 작은 수가 나온다.


이를 '어쩔 수 없이 일정부분 할인되어 내려온다'고 표현한 것이다.


이러한 계산을 현 시점이 될때까지 반복하면, 매 기 내려올 때마다 조금씩 더 할인되어 현 시점에는 1100에 훨씬 못미치는 숫자가 채권의 가격으로 도출된다.


이로써 표시이자율보다 시장이자율이 크면 채권의 액면가격보다 채권가격이 낮다는 사실을 알 수 있다.




(3) 할증채


이와 반대로, 표시이자율보다 시장이자율이 작아, 액면가격보다 채권가격이 큰 채권을 할증채라고 한다.



다시 한 번, 원금이 1000이고 표시이자율이 15%인 3년만기 채권을 생각해보자.


이 채권의 현금흐름은 1기말에 150, 2기말에 150, 3기말에 1150(=1000+150)일 것이다.


이 때 시장이자율이 10%라면, 3기말의 1100은 2기말로 한 기 내려올 때 10%가 할인되어 1000이 된다.


그런데 2기말의 표시이자 150을 더하면 1150으로, 3기말의 현금흐름 1100보다 큰 수가 나온다.


이러한 계산을 현 시점이 될때까지 반복하면, 매 기 내려올 때마다 조금씩 더 할증되어 현 시점에는 1100보다 큰 숫자가 채권의 가격으로 도출된다.


이로써 표시이자율보다 시장이자율이 작으면 채권의 액면가격보다 채권가격이 크다는 사실을 알 수 있다.




수요-공급의 시장 논리를 생각해보면, 보다 직관적으로 액면채와 할인채, 할증채를 이해할 수 있다. 내가 사려고하는 채권의 표시이자율보다 시장이자율이 높다면, 대체 누가 이 채권을 살까?


나는 이 채권을 사면서 매년 5%씩 표시이자를 받기로 했는데, 시장에서 다른 채권은 다 6%를 준단다. 두 채권의 가격이 동일하다면, 이 채권을 사는 사람은 아무도 없을 것이다.


시장이자율보다 표시이자율이 작은 채권은 수요가 적어져 채권가격이 떨어지거나, 누군가 시장에 비해 불리한 이 채권을 살테니 이자율에서 손해보는만큼 채권 가격을 깎아서 팔아달라고 할 것이다. 그래서 표시이자율이 시장이자율보다 작으면 액면가에 비해 채권가격이 낮은 할인채로 발행되는 것이다. 채권을 낮은 가격에 구매할 수 있다면, 채권의 수익률은 올라간다. 채권 가격이 낮게 조정됨으로써 시장이자율보다 표시이자율이 작은 채권이 시장이자율만큼의 수익률을 올릴 수 있게 되고, 채권시장의 균형상태가 유지된다.


한편, 표시이자율이 시장이자율보다 크다면 너도나도 이 채권을 사려고 할 것이므로, 시장 논리에 의해 채권 가격이 액면가보다 높아질 것이다. 혹은 내가 이 유리한 채권을 사기 위해 조금의 돈을 더 지불하려고 할 것이다. 따라서 채권의 현재가격이 액면가보다 높은 할증채로 발행된다. 채권을 높은 가격에 구매해야 한다면, 채권의 수익률은 내려간다. 채권 가격이 높게 조정됨으로써 시장이자율보다 표시이자율이 큰 채권이 시장이자율만큼의 수익률을 올릴 수 있게 되고, 채권시장의 균형상태가 유지된다.


위의 내용을 잘 이해했다면, 다음의 질문에 정확히 대답할 수 있을 것이다.


채권발행시점에 할인채(할증채)를 구매했다면, 할증채(할인채)나 액면채보다 높은 수익률을 올릴 수 있는가?


그렇지 않다.


채권 시장에서 발행된 동일한 조건의 모든 채권의 수익률은 시장이자율(=YTM, 만기수익률, 요구수익률)로 동일하다. 앞서 언급한 수요-공급 논리에 따라, 어떤 채권의 수익률이 높으면 그 채권의 수요가 증가하여 해당 채권의 가격이 상승하고, 수익율이 낮아지는 반면, 어떤 채권의 수익률이 낮으면 그 채권의 수요가 감소하여 해당 채권의 가격이 하락하고, 수익률이 올라가기 때문에 당연히 시장 균형 상태에서는 모든 채권의 수익률이 동일해야한다.


즉, 채권의 발행시점이나 매입시점에 이표율(표면이자율)은 채권의 조건에 따라 다양하지만, 채권 가격이 조정됨으로써 다양한 이표율의 채권이 모두 시장이자율만큼의 수익률을 제공하게 되고, 시장 균형이 달성될 수 있다.


고로 이표율이 높고 낮은 것은 그냥 채권의 특성일 뿐이지, 좋고 나쁨이 아니다. 어차피 이표율이 높은 채권은 가격이 높게 설정되고, 이표율이 낮은 채권은 가격이 낮게 설정되기 때문에 수익률은 똑같다. 싸게 사서 이표를 덜 받든, 비싸게 사서 이표를 더 받든 수익률 측면에서는 조삼모사라는 의미이다.


할인채의 극단적인 케이스인 무이표채를 생각해보면 보다 명확해진다. 무이표채는 표시이자 지급이 없는 채권이다. 지금까지의 논의를 이해했다면, 나에게 들어오는 표시이자가 없다고 해서 수익률이 0%가 아니라는 사실을 알 수 있을 것이다. 무이표채 역시 매입하여 만기까지 보유하면, 시장이자율만큼의 수익을 올린다. 무이표채는 표시이자가 없으므로, 만기 원금이 순수하게 시장이자율로 할인된 금액으로 발행된다. 무이표채라고 채권시장 균형의 예외는 아니다.


액면채를 사든 할인채를 사든 할증채를 사든, 구입시점에서 유불리는 없다. 할인채는 액면가보다 싸게 사서(유리) 낮은 이표(불리)를 받을 것이고, 할증채는 액면가보다 비싸게 사서(불리) 높은 이표(유리)를 받을 것이다. 다시 한 번, 이자율 균형 상태에서는 모든 채권의 수익률이 동일해야한다.




그렇다면 여기서 한가지 궁금증이 생길 수 있다.



지난 글에서, 채권을 보유할 때 시장이자율이 내려가면 채권가격이 올라간다고 하지 않았는가? 그럼 이것도 수익률 측면에서 무의미한 것인가?



우리는 상태(state)상태의 변화(change)를 구분해야한다.


이 글에서는 <발행시점> 혹은 <매입시점>이라는 특정 시점에서상태(state)와 균형을 이야기했다.

즉, 시장이자율보다 표시이자율이 낮으면 채권가격이 낮다. 내가 채권을 보유하기 전에 채권시장의 균형은 달성 상태이므로, 구매한 채권의 종류와 관계없이 시장이자율만큼의 수익을 얻는다. 어떤 종류의 채권(할인채, 액면채, 할증채)을 사든, 시장이자율만큼의 수익률이 보장되며, 그 자체로는 추가적인 이익이나 손실이 발생하지 않는다.


한편, 전 글에서는 <채권을 보유하는 중에>, 시간이 흐르며 시장이자율이 변동함에 따른 채권의 가격의 변화(change)를 설명하였다.

즉, 시장이자율이 낮아지면 채권가격이 올라간다. 그리고 시장이자율이 낮아지다 못해 표시이자율보다 낮아지면, 그 채권은 액면채로 발행되었더라도 할증채가 된다. 내가 채권을 보유하는 도중에 채권시장의 균형이 달성되고 있으며, 이러한 경우 채권을 중간에 매도하면 애초에 예상했던 시장 이자율을 넘는 추가적인 자본이득을 얻을 수 있다.


예를 들어, 발행 당시 시장이자율이 3%였기 때문에 이표율이 3%인 액면채를 매입했다고 가정하자. 그런데 시장이자율이 3%에서 5%가 됐다. 그럼 내가 가진 3%짜리 채권은 예전에는 딱 시장이자율만큼의 수익을 얻던 채권이었는데 시장이자율이 5%가 되면서 매년2%의 손해를 보는 채권이 되었다. 고로 이 채권의 가격은 떨어졌으며, 매도시 원래 예상했던 시장이자율에 비해 추가적인 손해를 본다.


액면채로 구매한 경우도 마찬가지다. 발행 당시 시장이자율이 7%였는데, 이표율이 3%인 할증채를 매입했다. 그런데 시장이자율이 7%에서 5%가 됐다. 그럼 내가 가진 3%짜리 채권은 예전에는 매 기 4%만큼의 손해를 보던 채권이였는데(물론 싸게 매입했을 것이므로 시장이자율만큼의 수익을 얻는 조건이었을 것이다), 시장이자율이 5%가 되면서 매년 2% 손해를 보는, 훨씬 나은 채권이 되었다(이표율인 3%보다 낮아지지는 않았으므로 할증채가 되지는 않았다). 고로 이 채권의 가치는 상승했고, 매도시 원래 예상했던 시장이자율에 비해 추가적인 이익을 본다.


시장이자율은 계속해서 변동하기 때문에, 액면채로 발행된 채권이 만기까지 액면채 상태로 유지되는 것은 아니다. 시장이자율이 상승하면 채권 가격이 하락하면서 할인채가 되기도 하고, 시장이자율이 하락하면 채권 가격이 상승하면서 할증채가 되기도 한다.

이처럼 채권 가격이 변동할 때 채권을 매수하거나 매도하게 되면, 내가 애초에 이 채권을 만기까지 보유했을 때 기대했던 수익률(시장수익률)과는 다른 추가적인 자본이익 또는 손실이 발생하게 된다.


한편, 채권을 만기 이전에 매도하지 않고 만기까지 보유할 경우, 어떤 채권이라도 원금(액면가)만 남기 때문에 채권가=액면가가 되어, 채권 매입 시점의 가격과 표시이자율을 기준으로 계산된 시장수익률을 그대로 실현하게 되며, 보유 기간 중의 시장이자율 변동은 실현수익률에 영향을 미치지 않는다.





위 내용을 간단히 정리해보자.


<채권발행시점>

발행시점에는 시장r과 같게 표시r을 책정하는 것이 일반적이므로 액면가와 채권가가 같을 것(액면발행)이나, 채권발행시점부터 할인/할증발행하는 경우도 존재

표시r=시장r:채권가=액면가(액면채)

표시r>시장r:채권가>액면가(할증채)

표시r<시장r:채권가<액면가(할인채)

어떤 종류의 채권(할인채, 액면채, 할증채)을 사든, 시장이자율만큼의 수익률이 보장되며, 그 자체로는 추가적인 이익이나 손실이 발생하지 않음


<채권보유중>

만기이전 금리가 변동함에 따라 채권가격 변동

ex) 5% 이표로 액면채 매입. 금리가 6%로 올라가면 나는 이미 정해진 5%이자를 받는데, 다른 데서는 6% 받을 수 있으므로 매력도가 떨어져 채권가격 하락. 반면, 금리가 4%로 내려가면 채권 매력도가 올라가 채권가격 상승.

표시이자율은 고정, 시장이자율은 변동하기 때문에 액면채로 구매했더라도 할증채/할인채가 될 수 있음

만기 이전 매도시, 시장이자율을 넘어서는 추가적인 자본이득/손실 발생


<만기>

할증채와 할인채의 채권가는 만기까지 기간 줄어들며 액면가에 비대칭적으로 수렴

만기일에는 어떤 채권이라도 원금(액면가)만 남기 때문에 채권가=액면가가 됨

keyword
매거진의 이전글금리가 높아지면 왜 채권가격이 떨어질까?