brunch

이토 렘마(Ito's Lemma)와 옵션의 가격결정

겁먹지 마세요, 핵심만 명확히 설명해드립니다.

by 이진


파생상품의 가격은 어떻게 결정될까?



그 해결의 실마리를 오늘 다룰 이토 렘마가 쥐고 있다. 이토 렘마(Ito's Lemma)는 옵션의 가격의 가격을 산출하는 방정식인 블랙숄즈 방정식의 도출에 사용되는 보조정리로, 금융공학에서 매우 중요한 의미를 가진다. 오늘은 이토 렘마가 어떤 의미를 지니는지 최대한 복잡한 수식은 배제하고 개념과 핵심을 위주로 간단히 알아본 다음, 파생상품의 가격 결정에서 이토 렘마가 지니는 의의를 알아보려고 한다.


이토 렘마를 검색하면 이토 렘마를 수학적으로 도출하는 과정에 관한 글이 대다수이다. 당연히 무시무시한 수식의 향연이 펼쳐지기 때문에 지레 겁을 먹게 되는데, 사실 도출 과정이나 각종 증명을 배제하면 그 의미는 아주 단순하고도 명확하다.


금융에, 그리고 특히 파생상품에 관심이 있다면, 이토 렘마 정도는 알아두면 좋다. 그런데 말이다... 우리가 금융상품을 만들 것도 아닌데, 수많은 전제와 수식, 증명을 하나하나 짚어가면서까지 이토 렘마를 도출하는 방식으로 이해할 필요가 있을까? 누가 이토 렘마를 묻는다면, 그 의미를 간단히 설명할 수 있을 정도로만 알고 있으도 충분하지 않을까? 이런 생각이 들었을 때, 이 글을 쓰기 시작했다.


그래서 오늘의 목표는 간단하다. 이 글을 읽은 모든 이들이 "이토 렘마가 뭔데?" "이토 렘마랑 파생상품 가격결정이랑 무슨 관련이 있는데?"라는 물음에 자신있게 답할 수 있도록 하는 것이다.


우리는 변수 x가 조금 변할 때 함수 f(x)가 얼마나 변하는지 알아보려면 미분을 한다.


그런데 만약 변수인 x가 확률 과정을 따른다면? 즉, 무작위성을 지닌다면?


이제는 더이상 일반적인 미분을 사용할 수 없게 된다.

이 때 필요한 것이 바로 이토 렘마다.




확률 과정


이토 렘마는 확률적으로 움직이는 변수 x가 변할 때, 그에 대한 함수 G(x)가 어떻게 변하는지 계산할 수 있도록 만들어주는 도구이다.


x가 확률 과정을 따른다는 것이 어떤 의미인지와, 이토 렘마의 도출에 앞서 알아야할 사항들에 대해 먼저 이야기를 해보겠다.


확률 과정(Stochastic process)은, '변수가 어떻게 움직이는가'에 대한 내용을 담고 있다. x에 대한 함수가 어떻게 움직이는지 알기 위해서는, 우선 x가 어떻게 움직이는지부터 파악해야한다.


도출 과정은 생략하고, 결론적으로 말하면 Generalized Wiener Process에서 말하는 변수 x의 움직임은 drift termdiffusion term으로 구성된다.


drift rate를 포함하는 drift term은 변수 x의 예측 가능한 평균적 이동, 즉 꾸준한 성장을, variance rate를 포함하는 diffusion term은 변수 x의 예측 불가능한 무작위적 변동, 즉 불확실성을 나타낸다.


정리하면, Generalized Wiener Process에서는 변수 x가 예측 가능한 방향성 있는 움직임(추세)과 예측 불가능한 요동치는 움직임(불확실성)을 함께 가진다고 보는 것이다.


drift rate를 포함하는 전항이 drift term, variance rate를 포함하는 후항이 diffusion term이다.



Ito Process는 이를 확장시켜, drift rate와 variance rate를 x와 t(시간)의 함수로 나타낸다.




이 Ito Process를 주가에 적용한 것이 Geometric Brownian Motion(GBM)인데,



이는 금융 모델에서 주가(S)의 움직임을 설명할 때 이용되는 확률 과정이다. Ito Process를 그대로 적용한 것이므로, 변수 x처럼 주가(S) 역시 꾸준히 성장/감소하는 경향성과 동시에 불확실하게 확산하는 움직임이 함께 있다고 본다. GBM에서는 drift와 diffusion이 모두 주가 수준 S에 비례한다. 즉, 주가가 크면 주가가 성장/감소하는 추세도 강하고, 불확실성도 강하다.



이토 렘마 도출


앞서 이토 렘마는 확률적으로 움직이는 변수 x가 변할 때, 그에 대한 함수 G(x,t)가 어떻게 변하는지 계산할 수 있도록 만들어주는 도구라고 했다.


따라서 x의 확률 과정인 Ito Process에 이토 렘마를 이용하면, 그에 대한 함수 G(x,t)의 확률 과정을 뽑아낼 수 있게 된다.


기본 아이디어는 테일러 전개이고, 이토 렘마에서만 쓰이는 몇 가지 중요한 특성(key property)(설명이 장황해지니 원리는 생략하겠다)을 적용하면 이토 렘마를 도출할 수 있다.


우선, 테일러 전개의 식을 기반으로 이토 렘마에서 적용되는 특수한 성질을 이용해 수식을 조정한다.


식의 dx부분에 Ito Process를 대입(Ito Process가 곧 dx이므로 당연하다)하고, 앞서 보았던 확률 과정과 똑같은 형태인 ( drift )dt+( variance )dz 형태로 식을 정리하면 이토 렘마 식이 도출된다.


(사실 식을 암기해야하는 상황이라면 이토 렘마 수식 자체를 외우기보다는 설명한 것처럼 테일러 전개를 하고 식을 dt, dz로 묶어 정리하는 게 더 편하다.)


예의상(?) 대략적인 도출 과정은 소개했지만, 사실 굳이 알 필요 없다. 중요한것은...

우리가 x의 확률 과정인 Ito Process를 통해, 테일러 전개 기반의 이토 렘마를 이용하여 G(x에 관한 함수)의 확률 과정을 도출할 수 있다는 것이다.


도출된 이토 렘마의 식을 보면, G의 움직임(dG)이 x의 움직임(dx)인 Ito Process의 형태 a(x,t)dt+b(x,t)dz 과 같은 형태라는 것을 알 수 있다. 즉, G의 확률 과정 역시 drift term과 diffusion term으로 정리되었다.



그래서, 이토 렘마와 파생상품이 무슨 관계인가?


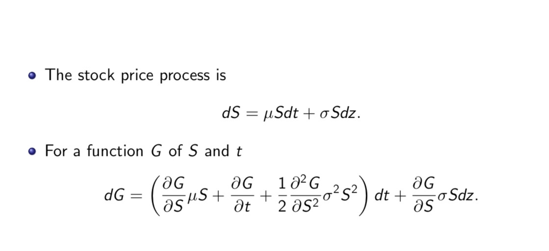
우리는 앞서 Ito Process를 주가에 적용한 확률 과정인 Geometric Brownian Motion(GBM)을 보았다.

변수를 x로 하는 Ito Process가 아닌, 변수를 S(주가)로 하는 주가 버전의 Ito Process인 GBM에 이토 렘마를 적용하면,


이러한 결과가 나온다. 주가에 대한 함수 G 역시 drift term과 diffusion term으로 정리된 형태이다. 앞서 x의 확률 과정에서 G(x에 관한 함수)의 확률 과정을 도출한 것과 마찬가지로, 이토 렘마를 통해 주가(S)의 변동(확률 과정)에서, 주가에 대한 함수(G)의 변동(확률 과정)을 뽑아낼 수 있다.

.

.

.

주가에 대한 함수가 무엇을 의미할까?

바로 파생상품의 가격이다.

파생상품(derivatives)의 정의를 보면, 주식·채권·통화 등 기초자산의 가치 변동에 따라 그 가격이 결정되는 상품이다. 파생상품의 가격을 주가에 대한 함수라고 볼 수 있지 않겠는가?


즉, 이토 렘마를 통해 기초자산의 가격(S, 주가) 변동에서 파생상품의 가격(주가에 대한 함수) 변동을 도출할 수 있다. 이토 렘마는 기초자산의 가치가 변동함에 따라 파생상품의 가치가 어떻게 변동하는지 파악할 수 있게 해주므로, 옵션의 가격을 결정하는 데 매우 중요한 역할을 수행한다.






정리하자면,


1. 파생상품은 '기초자산의 가치 변동에 따라 그 가격이 결정되는 상품' 이므로, 주가에 대한 함수라고 볼 수 있다. 파생상품의 가격을 결정하기 위해서는 주가(S)가 변동할 때 파생상품 가격(S에 대한 함수)이 어떻게 변동하는지 알아야 한다.


2. 그러나 GBM에 따르면 주가는 예측 가능한 방향성 있는 움직임(추세)과 예측 불가능한 요동치는 움직임(불확실성)을 함께 가지는 형태로, 확률 과정을 따른다.


3. 확률 과정을 따르는 변수인 주가의 움직임을 파악하기 위해서는, 일반적인 미분을 사용할 수 없다.


4. 이토 렘마는 확률적으로 움직이는 변수x (ex. 주가, 이자율 등)의 확률 과정(dx)이 주어졌을 때, 그 변수에 대한 어떤 함수 G(x,t)의 확률 과정(dG)를 도출할 수 있게 해주는 미분 도구다.


5. 따라서 이토 렘마를 사용하면, 일반적인 미분 없이도 주가(S)의 움직임에서 파생상품 가격(S에 대한 함수)의 움직임을 도출해낼 수 있다.



<참고자료>

John.C.Hull - options, futures and other derivatives

keyword
매거진의 이전글채권 종류와 채권시장의 균형, 깔끔하게 정리해드립니다.