brunch

주스마시기

프로그의 기술적 분석

by progue

002편 : 수렴과 확산을 이용한 분석

2017년 8월 5일 토요일 발행


볼린저밴드를 분석하는데 가장 핵심적인 기준은 수렴과 확산입니다. 볼린저밴드에서 수렴과 확산을 이해하지 못하면 볼린저밴드에 대해 아무 것도 모른다고 봐도 틀리지 않은 말일테니까요.

그럼 볼린저밴드의 속성에 대해 좀 더 자세히 알아보겠습니다.


첫번째 볼린저밴드의 수렴과 확산을 이해하려면 기간값이 매우 중요합니다. 예를 들어서 period 값을 20으로 하면 결국 변동값의 1/20만 반영하게 되기 때문에 수치의 변동폭이 크지 않습니다. 때문에 수렴과 확산에 대한 의미있는 값을 파악하기 어렵습니다. 지금까지 사람들은 수렴과 확산이라는 개념에 대해 들어보긴 했으나 그것이 구체적으로 어떤 의미를 지니는지 이해하기 어려웠을 겁니다. period 20으로 알 수 있는 수렴과 확산에 대한 의미있는 분석 결과는 없기 때문입니다.


그럼 여기에서 수렴과 확산을 제대로 이해하기 위해서는 어떤 값을 사용해야 할까요?

저는 당연히 period 5를 권장합니다. 5를 권장하는 이유는 단순합니다. 단기적인 영향을 분석해 보자는 것이고요. 이를 통해서 급변하는 주가의 의미를 읽어내자는 것입니다. 그럼 왜 period 값이 5일까요? 4도 있고 3도 있는데 말입니다. 이에 대한 답 또한 단순합니다. 우린 이동평균선을 쓸 때 3일선이니 4일선이니 하는 선들을 거의 사용하지 않습니다. 그것이 의미를 가져다 줄 수 있을지는 모르나 대중적인 것이 아니기 때문에 그닥 의미를 찾기 어렵습니다. 때문에 이동평균선에서 5일선을 쓰듯이 동일한 입장에서 period 값을 5로 세팅해서 사용합니다.


이제 수렴과 확산의 개념이 중요하다는 것과 그것을 이해하기 위해서 period값을 5로 사용한다는 것에 대해 설명을 드렸습니다. 여기까지는 여러분이 아는 영역입니다. 그닥 어려울 것도 없고 생소한 것도 없습니다. 단지 period값을 20이 아닌 5를 사용한다는 것 정도가 차이가 나겠지요.


그런데 수렴과 확산은 두가지 측면에서 고려해봐야 합니다. 첫번째는 각도이고 두번째는 지속성입니다.

수렴현상에 있어서 수렴의 각도가 어느 정도이냐 다시 말하면 기울기가 어느정도이냐에 따라 중요도가 달라지고 그 기울기가 어느 기간까지 지속될 수 있느냐에 따라 또 달라집니다.

그런데 사실 현재 상태에서 해당 볼린저밴드의 선이 어느 정도 기울기를 갖고 있는지는 쉽게 파악이 되지만 그 선이 다음 봉이 되었을 때의 기울기나 또 언제까지 지속되는지는 알기 어렵습니다.

이것이 현재 볼린저밴드가 갖고 있는 치명적이 결함이라고 볼 수 있습니다. 지표가 나쁘지는 않지만 태생적으로 분석에 필요한 정보를 제공하지 않는다는 것입니다.

그럼 이 문제를 풀기 위해서는 좀 더 색다른 접근이 필요합니다. 아예 생각을 바꾸는 것입니다. 생각을 바꾸기 위해서는 기본적으로 볼린저밴드가 태생적으로 어떻게 만들어져 있는지를 이해해야 합니다.


표준편차의 세계로 들어가 봅니다.


표준편차

[standard deviation, 標準偏差 ]

ico_synopsis2.gif

자료의 값이 얼마나 흩어져 분포되어 있는지 나타내는 산포도 값의 한 종류.

표준편차는 자료의 값이 평균으로부터 얼마나 떨어져 있는지, 즉 흩어져 있는지를 나타내는 값이다. 자료의 값들의 평균을 알아도 얼마나 흩어져 분포되어 있는지에 따라 자료의 특징은 완전히 달라진다. 아래의 학생 A와 B의 과목별 성적 평균은 70점으로 동일하지만, 각 과목별 성적의 분포는 완전히 다르다.

학생 A의 과목별 성적표

182767_0.gif?type=m1500&wm=N

학생 B의 과목별 성적표

182767_1.gif?type=m1500&wm=N

A학생은 모든 과목이 평균 70점에 아주 가까이 분포하지만 B학생은 국어,수학 성적이 평균과 20점이나 떨어져있다. 이 경우 A보다 B의 표준편차가 더 크다.

182767_2.gif?type=m1500&wm=N

표준편차를 구하는 방법

표준편차를 구하려면 먼저 각 자료값과 평균의 차이를 구하는데, 이를 '편차'라 한다. 편차는 (자료값)-(평균)이다. 편차를 구하여 그 평균값을 표준편차라 하면 편리하겠지만, 편차의 합은 항상 0이기 때문에 불가능하다. 왜냐하면 평균 자체가 모든 자료값들의 평균값이기 때문이다.

182767_3.gif?type=m1500&wm=N



편차의 합이 0이 되는 문제는 편차의 값 중 음수가 발생하기 때문인데, 편차는 음수이든 양수이든 자료가 평균으로부터 얼마나 차이가 나는지 그 절대값을 알고자 구하는 값이므로 편차가 음수가 되지 않도록 제곱하여 모두 양수가 되게 한다. 그리고 편차를 제곱한 값들의 평균을 내면 자료값들이 평균으로부터 어느 정도 떨어져있는지를 알 수 있다. 그러나 아래 B학생의 경우를 보면 편차를 제곱하는 바람에 자료값의 분산도가 266.67로 너무 커진 것을 확인할 수 있다.



학생 B의 과목별 성적표


182767_4.gif?type=m1500&wm=N



제곱해서 과도하게 부풀려진 값을 다시 원래의 차이값이 비슷하게 맞춰주기 위해서는 제곱근을 적용한다. 학생 B의 경우에는

182767_5.gif?type=m1500&wm=N

이 표준편차가 된다.



제곱근을 적용하기 직전, (편차)

2

의 평균을 ‘분산’이라 하고, 표준편차는

182767_6.gif?type=m1500&wm=N

이 된다. 다시 말해, 표준편차는 편차 제곱의 평균으로 구할 수 있다. 표준편차가 0일 때는 자료값이 모두 같은 값을 가지고, 표준편차가 클수록 자료값 중에 평균에서 떨어진 값이 많이 존재한다.

[네이버 지식백과] 표준편차 [standard deviation, 標準偏差] (두산백과)


두산대백과 사전에는 표준편차에 대한 내용이 잘 정리되어 있습니다. 그런데 위의 설명에는 도표를 통해 아주 단순한 것처럼 표시되어 있지만 실제로 분석을 할 때에는 도표가 아닌 데이터를 이용해야 합니다. 따라서 데이터를 가공하기 위해서는 별도의 수식이 필요합니다.


키움증권 영웅문이 제공하는 볼린저밴드 공식을 한번 살펴보겠습니다.

중심선

avg((c+h+l)/3,period)

상단선

avg((c+h+l)/3,period) +d1*stdev((c+h+l)/3,period)

하단선

avg((c+h+l)/3,period) -d1*stdev((c+h+l)/3,period)


위의 식에서 확인해야 할 부분들을 체크해 봅니다.

avg = average의 약자로 평균을 의미합니다. 여기에서는 단순평균이 아닌 이동평균을 의미한다고 봅니다.

c=종가, h=고가, l=저가입니다. 이것이 표준편차에 사용하는 자료값에 해당합니다.

stdev = standard deviation 표준편차를 의미합니다.


이것을 이용해서 공식을 풀어보면

중심선은 종가, 고가,저가의 평균을 내고 그 평균을 이동평균합니다.

상단선은 그 이동평균 값에 표준편차만큼 더합니다. 하단선은 그 이동평균 값에 표준편차만큼 뺍니다.

기존의 공식에는 d1값과 period값만 수정하면 다 되지만 그것을 통해서 볼 수 있는 세상은 한계가 있습니다. 그래서 그 한계를 벗어나려면 d1값과 period값이 아닌 수식 자체를 다 들어엎어야 합니다.

그럼 avg 영역은 고민할 것도 없지만 표준편차 영역을 수정하려면 약간 어렵습니다.

왜냐하면 표준편차는 분산을 통해서 구하기 때문이죠.


분산

[variance, 分散 ]

분산이란 변수의 흩어진 정도를 계산하는 지표이다. 분산의 제곱근인 표준편차는 어떤 변수 x에 관하여 그 평균값

i10-1.jpg?type=w492_fst&wm=N

를 중심으로 보았을 때 각 관측값이 평균적으로 어느 정도 평균값에서 벗어나 있는지를 계산한 것이라고 생각해도 좋다.

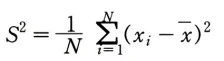
기술통계

(記述統計)의 경우 구체적인 수식은 다음과 같이 주어진다.

S2

분산을 나타낼 때에 이용되는 기호의 하나이다. 기호가 대문자인 것은 표본이 아니라 모든 연구대상이

데이터

에 포함되어 있다는 것을 나타내고 있다.

i10-2.jpg?type=w224_fst&wm=N


평균에서의 차의 절댓값이 아니라 그 제곱을 이용한 것은 후자의 방법이 미적분 등의 수학적인 처리에 적합하기 때문이다. 계측통계에서 모집단에 있어서 변수의 분산방식을 표본에 있어서 변수의 분산방식으로 추정하는 경우 수식은 다음과 같이 약간 수정된다.

i10-3.jpg?type=w224_fst&wm=N


기호가 소문자인 것은 우리들이 표본을 사용하여 모집단에 관한 논의를 하고 있다는 것을 나타내고 있다. 관측계수 n이 아니라(n-1)로 나눈 것은 후자로 나눈 경우의 기댓값이 실제의 값과 일치한다는 것이 수학적으로 확인되어 있기 때문이다. 즉, 변수x의 모분산의 추정값을 n으로 나눈 것이 표본평균

i10-4.jpg?type=w492_fst&wm=N

의 분산이 된다.

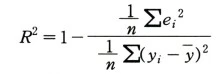
변수의 분산정도를 살펴보는 것은 중요한 것이지만 많은 사회과학자는 분산을 계산하여 변수의 분산정도를 조사하는 것이 아니라, 어떤 변수 y의 분산을 다른 변수에 의해 설명하는데 흥미를 가지고 있다. 선형회귀분석에 있어서는 종속변수의 분산이 어느 정도 독립변수에 의해 설명되었는가가 결정계수 R2에 의해 표현된다. 구체적인 수식은 다음과 같이 된다.

i10-5.jpg?type=w224_fst&wm=N


여기에서 ei는 회귀분석에서의 예측값과 실제의 관측값에서의 오차를 나타내고 있다. 주의해야 할 것은 변수의 분산은 변수의 측정방법이나 지역적인 요인, 시대에 의한 요인에 좌우되기 때문에 결정계수는 표본간의 비교에는 무의미하다는 것이다. 즉, 선형회귀분석에 있어서 결정계수의 크기는 동일한 표본에 기초한 복수 모델의 우열을 판단할 때에만 논의의 단서를 제공하게 된다.

[네이버 지식백과] 분산 [variance, 分散] (21세기 정치학대사전, 한국사전연구사)


네이버지식백과의 분산 부분을 가져왔습니다. 그냥 보면 머리아프네요.

저 공식을 변형해야 우리가 볼 수 있는 새로운 형태의 볼린저밴드를 추출할 수 있게 됩니다.


도표로 보면 매우 단순한 표준편차가 공식을 이용하려면 꽤나 복잡한 과정을 거쳐야 하는 이유이기도 합니다.

볼린저밴드를 이해한다는 것은 표준편차의 핵심적인 원리를 이해하는 것이고 그럼 분산의 공식에 대해서 확실하게 알고 있다는 것을 의미합니다. 사실 분산의 공식을 응용할 수 있는 수준의 지식은 갖고 있으나 각각의 데이터에 어느 정도 수치 변동이 일어날 때 실제로 영향을 미치는 값이 어느 정도인지는 알지 못합니다. 단순하게 계산되는 방식이 아니기 때문이죠. 보면 단순하게 볼 수 있지만 그 값을 미리 예측하기는 어렵다는 것입니다.


위의 분산 공식을 가공하여 표준편차에 적용하여 볼린저밴드를 최종적으로 가공하고 나면 위에 언급했던 두가지 문제들을 해결할 수 있게 됩니다. 첫번째 각도와 두번째 지속성에 대한 문제를 한번에 해결하게 됩니다.

지금 여러분의 눈에 볼린저밴드 period 5 값으로 세팅된 선이 존재한다면 그 선은 언제까지 그 형태를 유지할 것이며, 또 다음 봉에서 그 값은 어디에 있는지 아시나요?


아마 생각해 보지도 않았을 것이고 가능하다고 생각하지도 않았을 것입니다.

지금까지 여러분이 보고 있는 볼린저밴드 지표에는 그러한 정보가 포함되어 있지 않도록 설계되어 있기 때문입니다.


지표의 겉모습은 그림이고 지표의 내부 세계는 수학이다라는 말을 얼피 들어보면 이해할 수 없지만 이렇게 공식을 해체해 가는 과정에서 보면 철처하게 수학적 사고를 기반으로 만들어 졌으며, 데이터 변동에 따른 수치 변화가 용이하도록 함수를 사용하고 있다는 것을 알 수 있습니다. 즉 여러분이 이용하는 지표는 함수입니다.


함수는 기본적으로 변수를 이용합니다. 방정식처럼 하나의 값을 추출하기 위함이 아니고 각각의 변수에 따라 결과값이 어떻게 반응하는지에 대해 알 수 있도로 되어 있습니다. 때문에 우리는 이 함수의 로직을 이용하여 여러 가지 상황에 대해서 시나리오를 구상할 수 있고 대응논리도 만들 수 있습니다.


제가 배포하는 볼린저밴드는 이러한 분산 공식의 변형에 의해 표준편차를 왜곡시키는 방식을 채택했고, 그래서 일반 볼린저밴드와는 다릅니다. 그리고 그런 행위를 한 이유는 두가지 정보를 끄집에 내기 위함입니다.

첫번째 현재 선이 다음봉에서 각도 변화와 두번째 지속성입니다.

이 두가지는 꼭 기억해 두시기 바랍니다.


이런 행위가 큰 의미를 지닐까요? 전 그렇지 않다고 생각합니다. 다만 여러분들이 지금 상상하고 있는 정보들을 좀 더 손쉽게 가공해서 볼 수 있게 되는 것입니다. 눈으로 입으로 그렇게 쉽게 판단하는 지표라는 대상이 실제로는 꽤나 복잡하고 어려운 것이며, 때문에 그것을 이해하는 행위도 상당한 노력과 시간이 필요하다는 것이죠.

그런데 지표를 이런 식으로 공부하는 사람이 많지 않습니다. 남의 책을 읽고 그것이 전부인 것처럼 착각하고 마치 자신이 지표에 대해 꽤나 많은 지식을 갖고 있다는 착각에 도달하게 됩니다.


차라리 미분이나 적분을 공부하는 것이라면 지금 지표를 공부하는 것보다 쉬울 것입니다. 우리가 고등학교 시절 맨 나중에 배운 것이 바로 확률과 통계이죠. 그만큼 지적인 성장이 없이는 이해할 수 없는 영역이기 때문에 교육 과정도 맨 나중으로 되어 있습니다.

답이 없는 영역이죠. 확률과 통계는 그렇습니다.


확산은 확산을 부르고 수렴은 수렴을 부르기에 여러분들이 가져가야할 기회는 모두 수렴에서 나옵니다.

거래를 하셔도 확산은 포기의 대상이며, 수렴만이 기회의 대상이 되어야 합니다. 그것은 다음 편에 그래프를 통해서 수렴과 확산이 가지는 의미를 비교해 보면서 설명을 드리도록 하겠습니다.


사실 분석에는 전혀 사용되지도 않는 표준편차와 분산에 대한 이야기를 적었습니다.

그 이유는 매우 단순합니다. 우습게 보지마라.

지표라는 것이 여러분이 생각하는 정도의 저급하고 안맞는 그런 도구가 아니라는 것입니다.

지표는 돈을 벌기 위한 도구가 아니라 인간의 사고를 컨트롤하는 도구입니다.

주가가 오를거라고 예상되면 아무런 사고작용도 없이 무턱대고 매매하는 사람들을 향해 무언의 경고를 날려주는 훌륭한 도구가 바로 지표입니다.

그리고 지표는 사용하는 자의 능력에 의해 좌지우지되는 대상이지 아무나 사용할 수 있는 도구가 아닙니다.

때문에 능력 미달의 사용자가 지표를 사용하면 언제나 결과는 처참합니다.

그리고 그런 수준의 사용자들은 항상 말합니다.

지표는 허접해.. 지표는 별거아냐..라고요.


저는 사실 볼린저밴드에 대한 지식을 일부 가지고 있을 뿐 다른 지표에 대한 지식이 거의 없습니다.

어떤 지표를 공부하시든 상관없습니다. 깊은 사고를 기반으로 해서 장기간 공부하고 실제로 충분히 시장에서 테스트를 해 보시면 그 지표가 갖고 있는 장점과 단점들을 충분히 익히실 수 있을 것입니다.

다만 그 테스트 기간이 최소 1년 이상은 되어야 한다고 봅니다. 그래서 어느 정도 이해의 기반이 생길테니까요.


오늘은 아주 이론적인 기반에 대해서만 잠시 이야기를 했습니다.

이 이론적인 기반이 실제로 그래프로 구현되었을 때 어떤 모습이 되었는지는 다음 편에서 자세히 다뤄보겠습니다. 조금 더 신기한 세상을 맞이하게 될테니까요.


제가 보고 싶었던 세상은 오늘이 아닌 내일이며, 이번주가 아닌 다음주였습니다.

그것을 가능하게 해주는 도구가 바로 볼린저밴드입니다.


믿거나 말거나^^

keyword
매거진의 이전글주스마시기