brunch

퀀트 비즈니스와 사일로 효과

by 퀀트대디

# 사일로 효과

사일로(Silo)란 사전적으로 곡식을 저장해두는 큰 탑 모양의 창고를 의미한다. 아 왜, 미드 같은 데서 가끔 보면 넓은 들판 한가운데에 커다란 양철통들이 줄지어 있는 것을 본 적 있지 않던가. 그런 것들이 바로 사일로다. 사일로에는 수확한 곡식들을 담아놓게 되는데 각각의 사일로들은 독립적으로 존재하며, 이는 저장되는 물품들이 서로 섞이지 않도록 만들어준다. 사일로 구조의 장점은 하나의 사일로에서 문제가 발생하여도 다른 사일로에는 전혀 피해가 가지 않는다는 것이다.


이러한 사일로의 모양에서 착안하여 사일로 효과라는 개념이 생겨났다. 사일로 효과(Silo Effect)란 어떤 조직 혹은 구조에서 그것을 이루고 있는 각각의 부분들이 서로서로 차단되어 있어 통하지 못하고 있는 상황을 의미한다. 대표적인 예시가 바로 회사 내에서의 부서 이기주의로 인한 사일로 효과의 발생이다. 아래의 그림처럼 각각의 부서들이 서로서로 사일로 된 채 부서 내부의 이익을 위해서만 주장을 펼치기 때문에 회사 전체적으로 보았을 때는 동맥경화가 발생한 것처럼 소통이 잘 되지 않고 결국 비즈니스의 혁신과 발전이 불가능해지게 된다.

image.png 사일로 효과의 예시



# 퀀트 비즈니스를 방해하는 두 가지 사일로

기본적으로 어떤 종류의 비즈니스에서건 사일로 효과의 발생은 당연히 좋지 않다. 소통과 혁신이 부재하고 있다는 증거이기 때문이다. 퀀트 비즈니스에서도 이러한 사일로 효과의 발생은 당연 독이다. 특히 퀀트 비즈니스는 다른 비즈니스와 달리 퀀트 비즈니스가 가지고 있는 고유한 특징들이 있는데, 이러한 특징 때문에 사일로 효과의 발현은 퀀트 비즈니스에 더 큰 피해를 야기한다. 좀 더 심각하게 이야기하자면, 퀀트 비즈니스를 하는 과정에서 사일로 현상이 발생한다면 이는 퀀트 비즈니스를 장기적인 관점에서 발전시키는 것이 거의 불가능함을 의미한다.


그렇다면 퀀트 비즈니스의 발전을 저해하는 사일로는 도대체 무엇인가? 퀀트 비즈니스에 독이 되는 사일로에는 크게 두 가지가 있다. 하나는 자산군별 사일로이며, 다른 하나는 퀀트 간의 사일로이다.



# 자산군별 사일로 vs. 크로스에셋 관점

첫 번째는 바로 자산군별 사일로이다.


퀀트 투자가 수익을 내는 방식은 기본적으로 카지노를 운영하는 것과도 같다. 주의하자. 퀀트 비즈니스는 카지노에서 게임을 하는 플레이어가 아니라 카지노를 '운영'하는 기업가다. 카지노를 운영하여 수익을 내는 비즈니스 모델은 사실 매우 단순한다. 일단 카지노는 플레이어 대비 약간의 확률적 우위가 있어야 한다. 그다음에는? 별거 없다. 그다음에 필요한 것은 단지 N을 늘리는 것, 즉 시행 횟수를 늘려 대수의 법칙을 실현시키는 것이다. 시행 횟수를 늘리면 당연히 대수의 법칙에 의해 확률적 우위 또한 현실화된다. 다시 말해, 기댓값이 실제 수익으로 꽂히는 셈이다. 카지노는 약간의 확률적 우위를 확보한 채 수많은 플레이어들을 상대함으로써 비즈니스 수익을 안정적으로 얻어낸다.


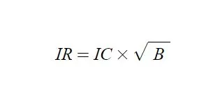
퀀트 비즈니스의 목표 또한 카지노 비즈니스와 같다. 확률적 우위가 존재하면서도 서로 관련성이 없는 팩터들을 최대한 많이 확보해 대수의 법칙으로 장기적으로 안정적인 수익을 창출해 내는 것이 퀀트 비즈니스의 핵심이다. 이는 단 하나의 방정식으로 설명이 가능하다. 아래는 모든 종류의 액티브 투자에 적용되는 성과 방정식이다. 여기서 IR(Information Ratio, 정보 비율)은 성과, IC(Information Coefficient, 정보 계수)는 스킬, 그리고 B(Breadth)은 자산 혹은 전략의 개수를 의미한다. 퀀트 투자의 묘는 B를 늘려 대수의 법칙으로 만들어진 과실을 향유하는 것이다.

캡처.JPG

그렇다면 퀀트 비즈니스에서 이 폭(Breadth)을 늘리려면 과연 어떻게 해야 할까? 답은 간단하다. 다룰 수 있는 자산과 전략의 개수를 늘리면 된다. 그런데 생각해 보자. 만약 이런 상황에서 자산군별 사일로가 발생하면 어떻게 될까? 당연히 대수의 법칙이 실현되기 전에 비즈니스는 중단되고 만다.



따라서 다룰 수 있는 자산군에 대한 제약조건이 존재하면 퀀트 비즈니스가 매우 힘들어진다. 다시 말해, 주식팀, 채권팀, 외환팀, 파생팀 등의 사일로 된 구조로 돌아가는 상황에서 퀀트 모델로 수익을 내는 시스템은 승산이 없어진다. 그렇기 때문에 퀀트 비즈니스는 무조건 크로스에셋 관점에서 접근해야 한다. 퀀트 비즈니스의 목표는 팩터 간 독립성과 MECE 구조를 기반으로 하고 있기 때문이다. 빈틈이 생기는 순간 대수의 법칙을 가정하고 있는 퀀트 비즈니스는 오히려 역풍을 맞게 된다.



# 퀀트 간의 사일로 vs. 생산 라인으로서의 퀀트팀

두 번째는 퀀트 간의 사일로이다. 지금까지 전통적인 방식의 투자 매니저들은 사일로 된 구조 안에서 의사결정을 해왔다. 그들이 서로 생각하는 시장 전망과 뷰, 그리고 소위 직감(?)이라고 하는 것들이 달랐으므로 사일로 구조는 오히려 회사 입장에서 득이 되었다. 회사 차원에서는 매니저의 분산투자가 가능했기 때문이다. 회사는 단지 소수의 능력 있는 스타 펀드 매니저만을 발굴하면 먹고살 수 있었다. 위의 방정식에서 소수의 IC를 최대화하는 데 집중을 한 것이다.


하지만 똑같은 방식을 적용해서 퀀트 비즈니스를 하는 것은 사실상 불가능하다. 왜 그럴까? 생각해 보자. 퀀트는 기본적으로 데이터 기반의 투자(Data-Driven Investment)이고, 이를 위해서는 여러 기능들이 필요하다. 이를테면 데이터 큐레이션(Data Curation), 피처 엔지니어링(Feature Engineering), 전략 설계(Strategy Design), 백테스팅(Backtesting), 라이브 배치(Live Deployment), 포트폴리오 감독(Portfolio Oversight) 등이 바로 이러한 것들이다. 또한 이러한 기능들은 제각기 따로 노는 것이 아니라 서로 촘촘히 연결되어 어떤 일련의 체계적인 시스템으로 돌아가야 한다. 그런데 이 모든 것들을 전부 완벽하게 소화해낼 수 있는 퀀트가 과연 존재할까? 이것들을 전부 소화한다는 말은 비유적으로 자동차 생산 라인의 처음부터 끝까지를 혼자서 다 작업할 수 있다는 것과 같다. 만약에 같은 생산성으로 이것이 가능했다면 인류의 역사가 산업혁명으로 진입했을 리는 만무하다.


따라서 퀀트팀을 만드는 것은 소위 선수들을 한데 모아놓고 각개전투를 하는 구조가 되어서는 안 되며, 그 옛날 맨해튼 프로젝트를 수행했던 로스앨러모스 연구소와 같이 리서치 공장(Research Factory)의 모델을 따라야 한다. 현대의 위대한 과학적 발견들은 모두 이러한 리서치 유닛이 하나의 팀으로써 있었기에 가능했다.

image.png 맨해튼 프로젝트를 주도한 로스앨러모스 연구소의 팀원들



# 사일로와 시지프 신화의 형벌

금융 머신러닝의 표준이 되어버린 프라도(Marcos Lopez de Prado) 교수는 퀀트 영역에서의 사일로 된 상황을 시지프 신화의 형벌에 비유한다. 고대 그리스 신화에서 시지프는 신들의 노여움을 사 끊임없이 산 위로 큰 바위를 들어 올렸다가 다시 아래로 굴러 떨어뜨리길 반복하는 형벌을 받는다. 이 형벌은 고된 동시에 무의미한 짓을 계속해서 반복하는 것이다.


따라서 프라도 교수는 퀀트 비즈니스가 시지프 신화 속 형벌이 되지 않으려면 전통적 투자 비즈니스에 만연해 있던 사일로 효과를 제거해야 한다고 주장한다. 모든 성공적인 퀀트 회사들은 전부 사일로 구조가 아닌 생산 라인의 구조, 혹은 리서치 연구소의 구조를 택하고 있다고 하면서 말이다.

sisyphus.jpeg
keyword
매거진의 이전글팩터 상관계수와 분산투자 효과