brunch

알파는 사라지는가

by 퀀트대디

# 알파란 무엇인가?
금융시장에서 흔히 말하는 알파(Alpha, α)란, 쉽게 말해서 시장의 수익률을 초과하는 수익률(Excess return)을 말하며 일반적으로 자산운용사의 액티브 펀드 매니저들이 얼마나 시장을 이기는 성과를 내었는지를 측정하는 중요 지표 가운데 하나이다. 예를 들어, 작년 코스피 지수의 성과가 10% 였는데, 어떤 포트폴리오 매니저(PM, Portfolio Manager)의 연초 대비 성과가 13% 였다면, 그 PM은 3%의 알파를 창출했다고 말할 수 있다.

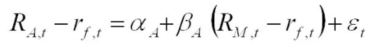
알파는 보통 베타(Beta, β)라는 개념과 많이 사용되고 있는데, 알파와 다르게 베타는 시장 자체의 체계적 위험/보상을 측정하는 지표이며, 시장과의 어느 정도 연관성이 있는지를 나타내는 개념이다. 우리가 흔히 잘 알고 있는 Jensen's Alpha Formula를 통해 이러한 알파와 베타에 대한 직관적인 인식을 얻을 수 있다.

jensen.PNG

위의 식에서 볼 수 있다시피, 어떤 종목 혹은 포트폴리오의 초과 수익률은 1) 시장의 초과수익률에 시장과의 연관도를 곱하여 얻은 시장 참여도에 2) 시장과 관련이 없는 알파를 더한 것이다. 이를 PM의 입장에서 해석해본다면 PM의 성과는 1) 자신의 포트폴리오가 벤치마크를 어느 정도 따라가는지를 나타내는 시장 노출도에 2) 자신의 판단에 따른 포트폴리오 결정으로 인한 알파를 더한 합이라고 볼 수 있다.

하지만 실제로 많은 연구와 통계자료들이 보여주듯이 대다수의 PM들의 알파는 양수를 보여주는 경우가 많지 않으며, 이러한 결과는 선진국을 불문하고 비슷하다. 이러한 이유 때문에 학계에서는 지속적으로 효율적 시장 가설이 득세를 해왔고, 뱅가드의 창업자인 존 보글은 액티브 펀드에 대한 투자를 그만두고 당장 인덱스 펀드로 투자해야 한다는 것을 몇십 년이 넘도록 주장하고 있는 것이다. 그렇다면 진짜로 알파라는 것은 EMH가 말하는 것처럼 단지 찾을 수 없는 성배(Holy Grail)인 것인가?

나는 이러한 주장이 틀렸다고 생각한다. 우리는 행동경제학이 인간의 비이성적 투자행위를 설명할 수 있으며, 이러한 인간 본성의 결점으로 인해 알파가 창출될 수밖에 없다는 것을 살펴보지 않았는가? 그렇다면 알파의 존재를 증명하기 위해서는 무언가 구체적인 통계나 근거가 필요하지 않을까? 대다수가 이를 명약관화하게 인식하여 납득을 시킬 근거를 말이다. 이러한 목적 때문에, 이번 포스팅에서는 2017년에 발표된 아주 따끈따끈한 논문 한 편을 통해 알파의 존재를 증명하고, 끝으로는 그렇다면 왜 PM들이 이러한 알파를 먹지 못하는가에 대해 생각해보려고 한다.


# 알파는 사라지지 않는다
2017년 1월, Heiko JacobsSebastian Muller는 2016년 발표된 McLeanPontiff의 논문에 영감을 받아 전 세계의 주식 시장을 대상으로 알파의 존재를 검증한 논문 한 편을 세상에 발표했다. 제목은 바로 『Anomalies Across the Globe: Once Public, No Longer Existent?(전 세계의 알파는 발표 후에 사라지는가?)』이다. 그들은 무려 전 세계 39개국을 대상으로 231개의 알파 전략을 검증하려는 아주 초변태적(?)인 생각을 가지고 각 전략이 발표된 시점 이전과 이후 알파가 과연 얼마나 감소하였는지를 실험해보았다.

그들은 231개의 알파 전략을 대상으로 각 전략의 팩터에 따라 전체 유니버스를 일렬로 줄 세우기 하여 하위 20%의 저평가된 기업을 매수(Long)하고, 상위 20%의 고평가된 기업을 매도(Short)하는 롱숏 포트폴리오(Long/Short Portfolio)를 1980년 1월부터 2015년 12월까지 월마다 리밸런싱(Rebalancing)하였다. 우선 전체 기간의 결과를 한 번 살펴보자.

algo4-1.PNG

위의 표에서 알 수 있는 사실은 모든 국가에서 동일비중의 포트폴리오와 시총가중 포트폴리오 모두 알파가 존재하고 있다는 것이다. 또한, 더 재밌는 사실은 동일비중 포트폴리오의 알파가 시총가중 포트폴리오의 알파보다더 크다는 것인데, 이는 우리가 흔히 알고 있는 소형주(Small-Cap)의 효과를 잘 보여주고 있는 증거이다.

그렇다면 이러한 알파 전략들의 효과는 해당 전략의 논문이 발표되고 난 후에 얼마나 감소하였을까? 그들은 아래 식과 같은 회귀 분석 모델을 통해서 논문 발표가 알파를 실제로 감소시키는지 살펴보고자 하였다.

eq1.PNG


연구에서 말하는 In-Sample이란 알파 전략의 논문이 사용한 데이터의 기간을 뜻하며, Post-Sample이란 해당 논문이 사용한 데이터의 기간 이후를 말한다. 또한, Post-Publication이란 해당 논문이 발표되고 난 후부터의 기간을 말한다. 정리하자면, 논문 발표 이후의 알파 지속성을 알아보고자 한다면, Post-Publication의 더미 변수(Dummy Variable)에 주목할 필요가 있다는 것을 뜻한다. 다음의 표를 한 번 살펴보자.

algo4-3.PNG

매우 놀라운 결과가 아닐 수 없다. 알파 전략이 세상에 공개되면 알파는 사라져야 정상이 아닌가? 그것이 EMH 학파가 말하는 효율적인 시장이 아닌가? 그런데 결과는 그들이 말하는 가설과는 전혀 딴판이다. 전 세계 36개 국가 중에 알파가 통계적으로 유의미하게 감소한 국가는 오직 미국 한 곳뿐이며, 한국의 경우는 오히려 알파가 논문 발표 이전보다 증가했다! 이게 어찌 된 일인가? EMH의 고상하고 정교한 효율적 완벽계에서는 이러한 현상이 발생하면 원칙적으로 안 되는 것이지 않은가? 그러나 현실은 모델이 아니며 모델은 현실의 복잡계를 절대 구현해낼 수 없다.

그들은 논문의 말미에서 미국과 다른 국가들 간의 이러한 차이가 발생하는 잠재적인 이유로써 크게 두 가지의 가설을 설정했다. 하나는 ‘다른 국가에서는 차익거래를 가로막는 장애물들이 존재하기 때문에 미국은 상대적으로 차익거래 기회가 많아 알파가 줄어들었다’라는 것이다. 두 번째로는 '미국에는 상대적으로 많은 수의 헤지펀드들이 존재하고 기관투자자나 개인투자자들의 금융에 대한 지식수준이 높아 다른 국가들보다 알파의 크기가 크지 않다'는 가설이다. 확실히 미국에는 수백에서 수천 개에 이르는 헤지펀드가 존재하며, 그 종류와 스타일도 다양하다. 이들은 알파를 찾기 위해 쉴 새 없이 리서치를 진행하고 이러한 연구에 기반하여 알파를 사냥한다. 헤지펀드에 펀드를 맡기는 각종 연기금과 기관 투자자들 또한 자신의 돈을 맡기기 위해 이러한 지식을 가지고 있어야 하며, 이는 확실히 미국의 알파가 상대적으로 작은 것에 일조할 수 있는 요인이라고 생각한다. 하지만 좀 더 계량적이고 통계적으로 확실한 근거를 얻기 위해서는 앞으로 더 심도 있는 연구가 진행되어야 할 것이다.



# 왜 알파를 먹기가 힘든가?
위에서 우리는 알파가 실제로 시장에 널리 존재한다는 것을 알아보았다. 그렇다면 왜 사람들은 이러한 알파를 적극적으로 찾아서 지속적으로 시장을 이기는 초과수익을 향유하지 않는 것인가? 어떻게 보면 이렇게 시장에 존재하는 알파는 거의 공짜 점심에 해당하지 않는가?

이러한 알파에 대해 효율적 시장 가설 학파는 알파라는 것에 위험이 존재하고 있기 때문에 - 즉 알파를 아직 알려지지 않은 베타로 보는 관점 - 사실 이러한 알파를 찾는 것은 새로운 위험을 추가하는 것에 불과하다고 주장을 하고 있다. 위험을 추가하는 것이기 때문에 알파 전략의 수익률이 당연히 높다고 하는 것이다. 그러나 이는 통계적으로 옳은 명제는 아니라고 생각한다. 왜냐하면 성과의 안정성과 수익성을 검증하는 과정에 있어서 시장에 나와 있는 많은 알파 전략들이 단순 바이앤홀드 전략보다 훨씬 더 나은 성과를 장기적으로 꾸준히 보여왔기 때문이다.

이와 다르게 일반적으로 알고리즘 트레이딩에서 생각하는 이유는 아래의 몇 가지가 있다.

1. 우선, 일반적인 개미투자자의 관점에서 보자면 알파 전략을 사용하기 위해서는 자신의 본업 이외의 추가적인 노력이 굉장히 필요하다. 알파를 향유하기 위해서는 스스로 자신의 자유시간을 투자하여 공부도 해야 하고, 백테스팅도 해보아야 한다. 일반인들이 많이 하는 뉴스에 기반한 종목 선정의 경우, 그냥 네이버 뉴스를 검색해보고 호재가 있을 만한 혹은 사업 전망이 좋을 만한 주식을 그냥 사면된다.(물론 이러한 전략의 예후는 굉장히 좋지 않을 확률이 높다.) 하지만, 알파 전략의 경우 자신이 스스로 시간과 노력을 투자하여 공부를 해야 한다고 하는데, 과연 자신의 업을 하면서 스스로 이러한 고생을 할 사람이 몇이나 되겠는가? 또한, 특히 한국의 교육시스템 자체가 스스로 공부와는 굉장히 거리가 멀다. 우리는 학창 시절에 학원과 과외를 받지 않고 스스로 공부해 본 적이 있는가? 일단 ‘어렵다’, 이것이 바로 첫 번째 이유이다.

2. 두 번째로는 알파를 얻고는 싶으나 ‘제약이 너무 많다’는 것이다. 가장 기본적으로 개미들에게 있어 공매도가 여의치 않다. 개미들은 알파 전략을 창출하기 위한 롱숏 전략이 일단 불가능한 것이다. 기관투자자들에게도 많은 제약이 따른다. 각 펀드는 추구하고자 하는 투자의 원칙이 있으며, 운용 스타일 자체가 경영진의 마음에 들어야 한다. 리스크관리팀은 하루 종일 프론트를 괴롭히고 딴지를 건다. 금감원 위반사항에도 걸리지 말아야 하며, 펀드의 규모가 큰 경우 소형주를 담으면 굉장한 슬리피지가 발생한다. 게다가 연단위로 평가를 받는 PM의 성과 특성상 아무리 알파 전략을 사용해도 그 특정 해에 시장을 못 이긴다면 짐을 싸야 할 확률이 굉장히 높아진다. 다시 말해서 네이버 종목토론실에서 욕을 먹는 기관들도 이러한 제도권 내의 원칙들을 지켜야 하기 때문에 알파를 통해 돈을 벌기가 녹록지 않은 것이다. (공학적으로 말하자면, 목적 함수(Objective function)의 최대화를 달성해야 하는데 현재 걸려 있는 제약 조건(Constraints)이 한 100개 있다고 생각하면 이해가 빠를 것이다.) 이러한 각종 제약은 위에 소개된 논문에서 미국과 기타 국가 간 알파 차이의 원인으로도 제시가 됐었고, 개인적으로도 어느 정도 설득력이 있다고 생각한다. 만약 미래에 한국에서도 알파 추구형의 헤지펀드들이 많이 생겨난다면 현재 수준의 알파는 감소할 확률이 높다. 그러나, 한국에서는 규제 때문에 이러한 헤지펀드 시장이 언제쯤 활성화될지 매우 의문스럽다.

3. 마지막 이유는 이전에 짚고 넘어갔던 인간의 비합리성과 깊은 관련이 있다. 바로, ‘인간의 멘탈은 약하다’라는 것이다. 투자 혹은 트레이딩을 하는 주체들은 모두 인간이다. 인간은 본질적으로 뇌의 근본적인 구조 때문에 시스템적인 오류를 발생시킬 수밖에 없다. 이것은 개미 투자자와 기관 투자자를 불문하고 전부 해당된다. 아무리 전략이 좋고, 과거 백테스팅 성과가 뛰어나고, 예측 시뮬레이션을 통해 미래의 수익 범위를 산정해놓아도, 모든 전략은 필승의 전략이 아니기 때문에 언젠가는 단기적으로 손실 구간에 머무르게 된다. 장기적으로 수익이 난다는 것을 아는 트레이더라고 해도 심리라는 것은 매우 단기적이기 때문에 순간순간에 집중을 하게 되고, 미래에는 이러한 전략이 더 이상 먹히지 않을까 하는 의심도 싹트게 된다. 이러한 심리와 각종 편향은 알고리즘 트레이더에게도 당연히 해당된다. 아무리 전략이 좋은 알고리즘을 장착했어도 한 달 동안 계속 손실이 발생했다면, 알고리즘 트레이더는 당연히 전략 자체에 의문을 가질 수밖에 없고, 수동으로 매매를 하고 싶은 충동을 느끼게 된다. 인간의 비합리성을 역이용하려 했던 알고리즘 트레이더가 도리어 자기 발에 걸려 넘어지게 되는 셈이다.

결론적으로 이전의 포스팅들부터 지금까지의 논의를 종합해보자면, '알파는 존재하나 그것을 얻는 것은 쉽지 않다'가 될 것이다. 알파를 얻기 위해서는 시간과 노력에 대한 많은 투자가 필요하다. 또한 동시에 자신의 멘탈을 컨트롤할 수도 있어야 한다. 결국 세상에 공짜 점심이란 존재하지 않는다는 명제가 맞을 수 있다는 생각이 든다.

keyword
작가의 이전글트레이딩의 성공요인 : 확률게임 X 자금관리