brunch

마케팅 - A/B 테스트에 대하여

당신의 A/B 테스트 결과는 우연에 의한 것이 었을지도 모른다.

by Sam의 기억 궁전


가끔 A/B 테스트를 처음 접한 마케터들은 이를 이상형 월드컵과 같이 "다수의 선택"만으로 정의하기도 한다. 특히, Paid 마케팅의 성과 분석을 KPI의 단순 비교로만 하려는 경향이 있다. 클릭이 높은 배너나 크리에이티브, 다수의 구매가 발생한 상품, 설치 수가 많은 아이콘. 이러한 접근 방식만으로는 A/B 테스트의 함정에 빠질 수 있다. 올바른 분석을 위해서는 결과를 통계적으로 분석하여 어떤 변숫값이 더 나은 성과를 보여주는지 확인해야 한다. 통계적 유의성을 확인하여 올바른 결론을 도출해야만, 궁극적인 A/B 테스트라고 말할 수 있다.


A/B 테스트는 마케팅, 제품 디자인, 사용자 경험 등 다양한 분야에서 중요한 의사 결정을 내리는 데 도움을 주는 강력한 실험적 방법론이다. 이를 통해 마케팅 분석가들은 두 가지 이상의 대안을 비교하여 최상의 결과를 도출할 수 있다. A/B 테스트의 주요 목적은 데이터를 기반으로 한 의사 결정을 가능하게 하는 것이다. 이를 통해 기업은 변화를 가하거나 새로운 아이디어를 실험하는 데 더욱 확신을 갖게 된다. 또한 A/B 테스트는 고객 반응을 예측하고 제품 또는 서비스를 개선하는 데 도움이 된다.


그 이점은 다음과 같다.

첫째, 실시간으로 결과를 확인할 수 있어 빠른 의사 결정을 가능하게 한다.

둘째, 과학적인 방법으로 의사 결정을 내릴 수 있어 주관적인 판단을 최소화한다.

셋째, 비용을 절감하면서 효과적인 전략을 개발할 수 있다.


A/B 테스트의 가장 보편적인 방법은 두 가지 이상의 변수(예: 웹사이트 디자인, 광고 캠페인, 가격 등)을 무작위로 선택한 사용자 집단에 노출시킨 후 결과를 비교하는 실험적 방법이다. 이를 통해 어떤 변수가 최선의 결과를 가져오는지 확인할 수 있다. A 그룹은 기존의 변수를, B 그룹은 새로운 변수로 적용하여 실험을 진행한다.



클릭률(CTR): 10% vs 12%(Win), 이 결과는 신뢰할 만한 결과인가?


b0105a.png A/B TEST. 한쪽 변수의 수치가 높다고 절대 신뢰할 수 있을까?



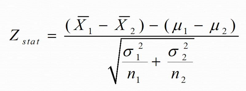
가장 많이 사용되는 A/B 테스트 검증 방법으로는 Z-test와 t-test의 A/B 테스트 공식이 있다. Z-test는 큰 샘플 크기(30 이상) 또는 모집단 표준편차를 알고 있는 경우에 사용된다. A 그룹과 B 그룹의 평균을 비교하여 두 그룹 간의 차이가 우연에 의한 것인지를 판단하는 것이다. t-test는 샘플 크기가 작고 모집단의 표준편차를 알지 못할 때 사용된다. 일반적으로 샘플 크기가 30 미만이고 모집단의 분산을 알지 못하는 경우에 유용하다.


예시: 두 광고의 클릭률 비교(Z-test)


가정: 광고 A와 광고 B의 클릭률을 비교하여 어느 광고가 더 효과적인지 판단하려고 한다.

- A 그룹 (광고 A): 1000명의 사용자 중 100명이 클릭 (클릭률: 10%)

- B 그룹 (광고 B): 1000명의 사용자 중 120명이 클릭 (클릭률: 12%)


image.png?type=w800 흔히 Z검정이라고 부르는 Z test


Z=−1.428


이 결과는 Z 값이 -1.96보다 작기 때문에 우리는 95% 신뢰수준에서 두 클릭률의 차이가 통계적으로 유의미하지 않다고 결론지을 수 있다. 이는 귀무가설이 참이기 때문에 통계적으로 유의미한 차이가 있다고 판단되어 채택해야만하지만, 실제로는 그렇지 않은 경우다. 이는 통계적 검정에서 종종 발생할 수 있는 오류 중 하나인 제1종 오류(Type I Error)에 해당하며, 제1종 오류는 실제로는 차이가 없는데 차이가 있다고 잘못 결론 내리는 경우를 말한다. 즉, 이 경우에는 "두 클릭률의 차이가 우연에 의한 것"으로 판단될 가능성이 높다는 것을 의미한다. 이럴 때는 반드시 추가적인 분석과 테스트가 필요하다.


이와 같이 A/B 테스트는 기업이 실험적인 방법을 통해 의사 결정을 내릴 수 있도록 도와주는 중요한 도구지만, 결과 해석은 신중해야 한다. 잘못된 결과 해석은 잘못된 의사 결정과 비용 낭비로 이어질 수 있으며, 조직 내에서 신뢰성을 하락시킬 수 있다. A/B 테스트는 기업이 변화에 대한 두려움을 극복하고 혁신을 추구하는 데 중요한 도구이다. 올바른 방법론을 적용하고 명확한 목표를 가지고 실험을 진행한다면, A/B 테스트는 성장과 성공을 도모할 수 있는 강력한 전략이 될 수 있다.


keyword
작가의 이전글일본 진출: 처음은 다 그렇습니다 (2)