상대성 이론과 만법유식

만법유식, 유식무경, 심외무법

by 무명

상대성 이론에서 시간은 누구에게나 일정하게 흐르는 절대적인 개념이 아닙니다. 관찰자의 속도나 중력의 크기에 따라 시간의 흐름이 달라지는데, 이를 '시간 지연(Time Dilation)'이라고 부릅니다.

크게 두 가지 관점에서 설명할 수 있습니다.

1. 특수 상대성 이론: 속도와 시간


속도가 빠를수록 시간은 더 느리게 흐릅니다. 정지해 있는 관찰자가 볼 때, 빛의 속도에 가깝게 이동하는 물체의 시간은 상대적으로 천천히 가게 됩니다.

* 원인: 빛의 속도는 어떤 상황에서도 일정해야 한다는 '광속 불변의 원리' 때문입니다.

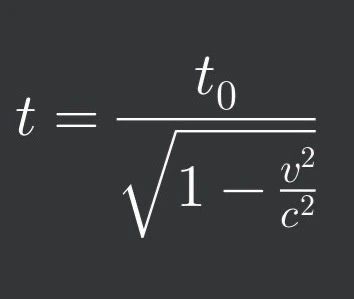
* 수식적 표현: 정지한 관찰자가 측정한 시간 t와 이동하는 관찰자의 시간 t_0의 관계는 다음과 같습니다.


수포자 문돌이입니다, 수학 질문 안받습니다.


(여기서 v는 물체의 속도, c는 광속입니다.)

* 결과: 속도 v가 광속 c에 가까워질수록 분모가 작아져 시간 t는 무한히 길어집니다. 즉, 빠를수록 시간은 느려집니다.

2. 일반 상대성 이론: 중력과 시간


중력이 강한 곳일수록 시간은 더 느리게 흐릅니다. 아인슈타인은 질량이 시공간을 휘게 만든다고 설명했습니다.

* 원인: 강한 중력은 시공간을 더 많이 왜곡시키며, 이 왜곡된 경로를 따라 빛과 시간이 진행하면서 지연 현상이 발생합니다.

* 예시: * 블랙홀: 중력이 극단적으로 강한 블랙홀 근처에서는 시간이 거의 멈춘 것처럼 흐릅니다.

* 지구와 인공위성: 지구 표면보다 중력이 약한 곳에 떠 있는 GPS 위성은 지상보다 시간이 미세하게 빨리 흐릅니다. (이를 보정하지 않으면 GPS 오차가 커집니다.)

재미있는 사실: 영화 <인터스텔라>에서 주인공이 거대 질량을 가진 행성에 다녀왔을 때, 지구의 가족들은 수십 년이 지나 있는 설정은 이 두 가지 원리(특히 강한 중력)를 철저히 고증한 결과입니다.

상대성 이론이라는 현대 물리학의 정수를 불교 유식학(唯識學)의 핵심 명제인 '만법유식(萬法唯識)'으로 풀이해 보겠습니다.

'만법유식'은 "세상의 모든 현상(萬法)은 오직 마음의 투영(唯識)일 뿐"이라는 뜻입니다. 이를 상대성 이론과 연결하면 아주 흥미로운 관점이 도출됩니다.

1. 객관적 시간은 없다: '식(識)'에 따른 차별


상대성 이론의 핵심은 시간은 누구에게나 똑같이 흐르는 '절대적 실체'가 아니라, 관찰자의 상태에 따라 변하는 '상대적 현상'이라는 점입니다.

• 물리학: 관찰자의 속도와 중력에 따라 시간이 다르게 흐릅니다.

• 유식학: 시간이란 객관적으로 실재하는 것이 아니라, 각자의 ‘아뢰야식(식의 저장소)’에 저장된 업력과 인식의 틀에 따라 나타나는 현상입니다. 즉, 시간은 '의식의 흐름'일 뿐이며, 인식 주체의 상태에 따라 그 길고 짧음이 결정됩니다.

2. 시공간은 마음이 그린 그림: '변계소집성'

유식학에서는 우리가 실재한다고 믿는 대상들이 사실은 식(識)이 만들어낸 가상이라고 봅니다.

• 물리학: 시간과 공간은 분리될 수 없는 '시공간(Space-time)'의 연속체이며, 질량에 의해 휘어지는 유연한 천과 같습니다.

• 유식학: 시간과 공간은 독립된 실체가 아니라 우리 마음이 대상을 구별해내기 위해 설정한 '가립(假立, 임시로 세움)'된 개념입니다.

아인슈타인이 "시간은 끈질기게 붙어 다니는 환상에 불과하다"라고 말한 것은 유식학에서 말하는 변계소집성(遍計所執性, 허망한 분별로 만들어낸 성질)과 일맥상통합니다.

3. 관찰자와 대상의 하나됨: '유식무경'


'유식무경(唯識無境)'은 오직 식만 있을 뿐 외계의 대상(境)은 실재하지 않는다는 뜻입니다.

• 물리학: 관찰자가 없는 시간 측정은 의미가 없습니다. 관찰자의 운동 상태가 곧 시간의 흐름을 결정합니다.

• 유식학: 대상을 인식하는 마음과 인식되는 대상은 별개가 아닙니다. 시간이 느리게 흐르는 행성에 있는 사람에게는 그 시간이 '정상'이듯, 각자의 식이 구성하는 세계가 곧 그 사람의 현실입니다.​



만법유식, 유식무경, 심외무법.

경전과 어록의 모든 말들은 글자만 다르지 모두 같은 이야기를 하고 있습니다.


1. 심외무법 (心外無法): 마음 밖에 법이 없다


"마음 밖에 따로 존재하는 법(법칙/현상)은 없다"는 이 선언은 현대 물리학의 관찰자 효과와 놀랍도록 닮아 있습니다.


• 상대성 이론의 해석: 시간과 공간, 그리고 중력은 관찰자와 독립적으로 우주 어딘가에 고정된 채 존재하는 '객관적 실체'가 아닙니다. 관찰자의 운동 상태(속도)와 위치(중력)에 따라 시공간의 성질이 결정됩니다.


• 심외무법의 적용: 시공간이라는 '법(法)'은 내 마음(관찰자) 바깥에 따로 있는 것이 아닙니다. 관찰자가 없다면 '느린 시간'도 '빠른 시간'도 성립할 수 없습니다. 즉, 모든 물리적 현상은 관찰자의 의식 상태와 결합되어 나타나는 결과물일 뿐입니다.


2. 즉심시불 (卽心是佛): 이 마음이 곧 부처다


"내 마음이 곧 부처"라는 말은, 모든 우주의 원리와 진리가 외부의 신이나 절대자에게 있는 것이 아니라 바로 나의 인식 주체 안에 있다는 뜻입니다.


• 상대성 이론의 해석: 우주의 절대적인 기준점(절대 좌표계)은 존재하지 않습니다. 모든 관찰자는 자기 자신을 '정지 상태'로 간주하고 우주를 서술할 권리가 있습니다. 즉, 내가 곧 우주의 중심이자 기준이 됩니다.


• 즉심시불의 적용: 진리는 멀리 있는 것이 아니라, 우주의 모든 변화를 인식하고 시공간을 창조해내는 '지금 이 마음'에 있습니다. 아인슈타인이 우주의 질서를 수식으로 찾아냈듯, 수행자는 마음의 본성을 깨달음으로써 시공간의 제약을 넘어선 우주의 실상(불성)을 마주합니다.




고통은 시간을 늘리는 성질이 있습니다.

굳이 상대성이론이나 유식사상의 설명을 빌리지 않더라도, 우리는 일상에서 그것을 곧바로 체험할 수 있습니다.

바닥에 엎드려 3분만 플랭크를 해보세요.

고작 3분이지만, 마치 30분처럼 길게 느껴질 것입니다.

어쩌면 오래 산다는 것의 또 다른 얼굴은,

시간이 길게 느껴지는 상태일지도 모릅니다.

몸을 돌보지 않고 무리하면 병이 생기고,

감당하지 못할 욕심은 더 큰 문제를 부릅니다.

그로 인해 따라오는 걱정과 후회, 책임의 무게는

짧은 시간을 끝없이 늘려 놓습니다.

10년의 고통은 체감상 100년처럼 느껴질 수 있습니다.

시간은 똑같이 흐르지만, 우리가 경험하는 밀도는 전혀 다릅니다.

반대로 행복은 정반대의 성질을 지닙니다.

좋은 순간은 믿기 어려울 만큼 빠르게 지나갑니다.

행복한 하루는 눈 깜짝할 사이에 사라지고,

행복한 100년도 어쩌면 한순간처럼 느껴질지 모릅니다.

그래서 우리는 묻게 됩니다.

시간을 길게 느끼는 삶이 과연 오래 사는 것일까,

아니면 짧게 느껴지더라도 충만한 시간이 더 가치 있는 것일까.

병상에서의 긴 시간,

우울 속에서 더디게 흐르는 나날을 떠올리면

시간의 길이가 곧 삶의 풍요를 의미하지는 않는다는 사실을 알게 됩니다.​

시간을 억지로 늘리는 삶이 아니라,흘러가는 시간이 아쉬울 만큼 단단한 하루를 쌓는 삶이

어쩌면 우리가 찾고 있는 답에 더 가까울지도 모릅니다.




핵심만 요약하자면 다음과 같습니다.

마음이 강한 중력에 이끌려 가라앉으면 시간이 천천히 흐르고, 마음이 하늘을 날아갈 듯이 가벼우면 시간이 빠르게 흐릅니다.


이상으로 마음을 가지고 상대성 이론을 해석해보았는데, 문과 출신에 가방끈이 짧은지라 제가 제대로 이해하고 있는지는 잘 모르겠습니다.


부족한 글 끝까지 읽어주셔서 감사드립니다.

행복한 주말 보내시길 바라겠습니다.