7.멈출 수 없는 빚의 수레바퀴

그걸 가능하게 하는 금융기술

by simple life

내가 돈의 신도가 된 것은 현재의 경제체제가 자본주의가 아니라 '금융' 두 글자가 붙은 금융자본주의임을 깨닫게 된 이후다. 이 체제에서는 자본은 무한 공급되는 금융자본으로 바뀌게 되니 학교에서 배운 생산의 3요소인 토지 노동 자본 중에 한계가 분명한 토지와 노동은 이 금융 자본에게 먹혀 버린지 오래다.

돈의 신도가 되면 세상을 보는 눈이 달라진다는 간증이 종종 들리는데, 그건 나도 마찬가지이다. 돈의 신도가 된 후 무한하게 증식되는 자본을 중심으로 놓고 보면 다른 두 유한한 생산요소는 화폐로 계산 가능한 채권이 된다.

image.png 이제 모든 건 숫자로 표현된다

유동화

원래 채권이란 돈이 필요한 사람이 돈을 빌려준 사람한데 주는 채무증서이다. 부채의 확장 속도가 실물 경제의 성장 속도를 압도하는 금융자본주의 경제에서 채권이란 무엇이냐? '미래의 현금흐름을 담보로 현재의 목돈을 당겨 쓰는 계약'이다. 채권은 원래 만기일에 원금과 이자를 받게 되어 있지만, 이걸 상품으로 만들어 투자자라는 사람들이 사고 팔 수 있게 해 놓으면 만기일의 사슬에서 채무증서가 풀려버린다. 만기일에 묶여있던 미래의 돈을 평가된 활인율을 제외하고 현재로 가져와 버리는 것이다. 이렇게 하는 금융기술을 유동화라고 한다.


금융자본주의에서는 이 유동화의 기술을 모든 것에 사용한다. 이렇게 유동화라는 기술을 전방위에 사용하면 실물경제 속도보다 훨씬 빠르게 금융 자산이 돈 복사를 하는 것이다. 누구는 돈을 복사하고 있는데, 나는 저축만 하고 있다면 두려움이 업습한다. 돈의 신도가 되지 않을 도리가 없는 것이다. 하루라도 빨리 입교하는 것이 손해를 덜 보는 길이다.

image.png 나의 청소년기는 우량채가 되기 위한 훈련이었다

채권화

내가 가진 모든 것들을 어느 정도의 속도로 현금흐름이 가능한 채권화를 할 수 있나? 이것이 돈의 신도가 가장 먼저 해야하는 자아성찰이다.

나의 노동은 이미 '인적 자본'이라는 이름으로 자본에게 먹힌 채권이 되어 매달 월급이라는 이자를 지급받고있다. 내 명의의 집(토지)도 '임대료'라는 수익률을 담보로 한 무기한 채권이 될 수 있지만, 내가 살고 있으니 내가 임대료를 지불하는 격이다.

기업이 왜 주식시장에 상장을 하겠는가? 기업이 상장할 때 평가액은 장부상 자산보다 수십 배 높게 평가를 받는다. 장부상 자산이라는 기초자산에 브렌드와 미래비전이라는 포장지로 화려하게 포장한다. 투자자들은 그 기업의 포장지에 쓰인 성분표를 믿고 '투자'라는 이름으로 기꺼이 지불한다. 기업가는 상장을 통해 30년 뒤에나 손에 쥘 가능성이 있는 돈을 오늘 한꺼번에 땡겨서 다시 자본 확장을 위해 투자라는 이름으로 사용한다.

우리가 신경쓰는 신용점수는 '나의 채권 등급'이다. 대출기관은 내가 미래 얼마나 벌 거 같다는 판단을 신용등급을 통해서 한 후 나한테 대출을 해주고, 나는 내 미래소득을 현재로 땡겨와서 부동산을 사거나 주식투자를 한다.


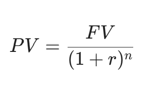
문제는 채권과 결합되어 있는 유동화의 기술은 반드시 '시간'이라는 희생제물이 필요하다는 거다. 미래의 110만 원이 현재의 100만 원으로 변환될 때, 그 차액인 10만 원을 '시간에 대한 보상'이자 '불확실할 위험에 대한 비용'을 할인률로 지불한다. 이 행위는 필연적으로 내일의 결핍이 준비되어 있고, 오늘 100만 원을 쓰기 위해 미래의 110만 원을 담보로 잡았다면, 미래의 나는 그 110만 원을 메우기 위해 더 먼 미래의 130만 원을 다시 땡겨와야만 한다. 이렇게 미래를 담보로 땡겨온 화폐로 인해서 시중의 화폐는 계속 늘어난다.

이걸 경전에서는 이렇게 표현하는데, 해석은 성직자급 정도 되어야 할 수 있다.

image.png 현재가치(PV)는 미래가치(FV)를 할인율(r)과 복리 기간(n)이 반영된 값으로 나눈 것


멈출 수 없는 빚의 수레바퀴

화폐가 팽장을 멈추면 어떻게 될까? 금융자본주의에서는 멈추는 순간 파산한다. 빚 내기를 멈추면 누군가는 이자를 갚지 못해 파산을 하게 되고 이건 전염병처럼 번질 수 있다. 금융자본주의에서 부채의 규모는 항상 이전보다 커져야만한다. 즉 빚을 멈출 수가 없는 것이다. 돈의 신도가 되어, 신용창출이라는 이 교리를 습득한 이후 나는 경제 주체 가운데 누가 빚을 내고 있느냐를 유심히 보고 있다.

image.png 빚이 멈추는 순간 금융자본주의도 파산한다

가계가 빚을 내지 못하면 정부가 국채를 발행해 돈을 풀고, 기업이 부실해지면 공적자금을 투입한다. 그럴 수밖에 없다. 이 풍선돌리기를 멈추게 되면 자산 가격 붕괴가 시작되며, 이 때를 돈의 신도 경전에서는 '민스키 모먼트(Minsky Moment)'라고 부른다. 이걸 모르는 비 신도들은 나라에 빚이 너무 많다, 기업이 부실하다, 부동산 영끌이다 하지만 그들은 아직 우리의 교리를 이해하지 못하고 있다. 진정한 붕괴는 부채의 액수나 주체가 아니라 '부채를 더 이상 늘릴 수 없는 상태'이다.


한국의 출산률 저하가 사회전반에 걸쳐 경각심을 주는 이유도 이 측면에서 보면 전혀 다르게 볼 수 있다. '미래의 노동'과 '미래의 수요'는 성장을 보증하는 담보다. 담보가 줄어들면 원금과 이자를 같이 갚아야한다. 부채를 늘릴 수 없는 상태는 붕괴를 의미한다. 즉 한국은 부실채권이 되고 있다.


구세주는 어디서 와야할까? 돈의 신도는 이미 답을 알고 있다. 당연히 새로운 담보를 찾아야한다. 그래서 성실한 돈의 신도들은 차기 담보 목록 정도는 꿰고 있는 것이다. 이러니 돈의 신도와 비신도와의 자산 격차는 점점 벌어질 수밖에 없다.


매거진의 이전글6.재무의 삼위일체