brunch

물리학은 인간사회 현상을 설명할 수 있는가?

한겨레 사이언스온 연재 1회(2010.12.09)

by 조항현

이 글은 한겨레 사이언스온에서 2010-2012년에 걸쳐 "사회물리학의 낯선 여행"이라는 이름으로 연재되었던 글 중 첫번째 글입니다.



중학교에 다닐 때 아이작 아시모프의 과학소설 <파운데이션> 시리즈를 재미있게 읽었던 기억이 납니다. 소설에 묘사된 광대한 우주와 (애플이 디자인했을 것 같은) 단순하지만 멋진 소형 우주선들이 날아다니는 장면을 머릿속에 그리며 상상의 나래를 펼쳤습니다. 하지만 ‘사회와 역사에 대한 수리과학적 설명과 예측’이라는 소설의 주요 내용을 이해하기 위해서는 더 많은 시간이 필요했습니다. 그리고 몇 년 후 우연히 제임스 글리크의 <카오스>라는 책을 읽었습니다. 책에 소개된 ‘초기 조건에의 민감한 반응성’이라는 혼돈이론의 핵심명제는 저에게 충격으로 다가왔습니다. 무엇이 옳고 그른지에 대해 너무 혼란스러웠던 사춘기를 보내던 때였고, 한 번의 실수가 나를 파멸로 이끌지는 않을까 (지금 생각하면 좀 지나치게) 걱정하던 때였기 때문입니다. 물론 프랙탈 구조의 아름다움에 빠져들기도 했습니다.


대학에 와서 물리학을 공부하면서 전공과 별개로 환경문제에 관심이 많았습니다. “인간은 자연사랑, 자연은 인간사랑”이라는 구호처럼 사랑만으로 환경문제가 해결되지 않는다는 것을 배웠습니다. 환경오염의 원인을 밝히고 그에 의한 인간과 생태계의 피해 정도를 가늠하기 위해서 과학기술이 필요합니다. 제가 공부하는 물리학이 이런 일에 쓰일 수 있다면 좋겠다는 생각도 해봤습니다. 그런데 그보다도 제 관심은 사람들의 행동에 쏠렸습니다. 여느 다른 사회문제와 마찬가지로 환경문제도 피해자와 가해자, 그리고 이를 둘러싼 다양한 행위자 사이의 갈등이 얽혀있는 복잡한 문제였습니다.


사람들은 필요에 의해 모임을 만들거나 이미 있던 모임에 들어갑니다. 하지만 같은 뜻을 지향했던 사람들이라도 어떤 계기에 의해, 또는 내재되어 있었던 갈등요인이 겉으로 드러나면서 반목하고 싸우고 서로에게 상처를 입히기도 합니다. 그러다 모임이 없어지고 다시 뿔뿔이 흩어지기도 하지요. 더 큰 규모로 보면, 지향하는 바가 비슷한 모임들이 모여서 연대하기도 하고 또한 갖가지 이유로 갈등하기도 합니다. 모임이 아니라 규칙이나 제도 또는 관습에 대해서도 비슷하게 말할 수 있습니다. 필요에 의해서 또는 주어진 환경에 적응하는 과정에서 생겨난 것들이 시간이 흐르면 안팎의 변화된 환경과 갈등을 일으켜 새로운 모습으로 변하거나 아니면 마침내 사라져버리기도 합니다.


이런 변화를 어떻게 이해하고 설명할 수 있을까요? 그게 성공적이라면 어떤 모임이나 제도, 더 넓게는 한 사회의 미래를 예측하는 것도 가능해질까요?


다시 아시모프의 소설 <파운데이션>으로 돌아가 봅시다. 소설 속의 해리 셀던이라는 수학자는 심리역사학이라 이름붙인 자신의 이론으로 사회의 미래를 정량적으로 예측할 수 있다는 연구결과를 어느 학회에서 발표합니다. 은하제국의 황제가 그를 불러 자신을 위해 그 연구를 계속 해달라고 부탁하지만, 셀던은 자신의 이론은 이론일 뿐이며 실제로는 아무 쓸모가 없다고 말합니다. 그는 황제의 부탁을 거절한 결과 황제로부터 쫓겨 다니다가 자신의 이론이 가져올 가능성에 점차 눈뜨게 되고, 결국 자신을 도와준 역사학자와 공동연구를 하기로 결심합니다. 그는 은하제국이 망해가고 있으며 3만 년의 암흑기가 도래할 것이라고 예상하고, 파운데이션이라는 연구조직을 만들어 암흑기를 1천 년으로 줄이기 위한 프로젝트를 시작합니다. 인간 사회를 이해하고 예측하는 것을 넘어서서 어느 정도 조절까지 할 수 있게 되었다는 말입니다. 그의 프로젝트는 수백 년에 걸친 꽤 오랜 기간 동안 성공적으로 진행됩니다. 자연과학자였던 아시모프가 소설 속의 ‘심리역사학’을 제시하면서 여러 가지를 염두에 두었겠지만, 분명한 건 통계물리학이 사회현상을 이해하는데 중요한 역할을 하리라고 본 것입니다.


어떻게 통계물리학으로 사회현상을 이해할 수 있을지 다시 현실로 돌아와서 생각해봅시다. 그 전에 통계물리학이 무엇인지부터 보겠습니다. 한 줄로 요약하면, 많은 입자들이 상호작용하는 시스템을 체계적으로 다루는 물리학의 한 분야입니다. 19세기에 증기기관 등의 열기관이 널리 이용되면서, 기체의 온도, 압력, 부피 같은 물리량 사이의 관계가 과학적으로 연구되었는데 이를 열역학이라 부릅니다. 이런 거시적 현상과 법칙을 그 구성성분인 원자로부터, 즉 기체가 원자로 이루어졌다는 가설로부터 접근하는 시도가 통계물리학의 시작입니다. 이후 기체뿐 아니라 액체, 고체 등에 대한 이론이 나오고, 여러 상태 사이의 전이, 즉 상전이에 대한 이해가 깊어집니다. 또한 자석과 같은 자성체에서 나타나는 상전이 역시 통계물리학의 주요한 연구대상입니다. 이런 상전이 연구에서 흥미로운 점은 서로 다른 물질들 사이에서 똑같은 집합행동이 나타난다는 것입니다.


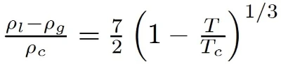
이를테면 산소 원자 2개로 이루어진 산소 분자와 질소 원자 2개로 이루어진 질소 분자는 다른 성질을 보이지만, 산소 기체와 질소 기체는 임계점이라 불리는 상태 근처에서 똑같은 하나의 방정식으로 기술되는데, 다만 상수의 값은 산소냐 질소냐에 따라 달라집니다.


tempImage2HjaQA.heic


위 식에서 아래첨자 c는 임계점(critical point)을 뜻합니다. 임계점에서의 밀도(ρ)와 온도(T), 즉 임계밀도와 임계온도는 물질마다 다르지만 임계점 근처의 밀도 변화와 온도 변화의 관계는 위에 쓴 한 개의 식으로 표현됩니다. 이 식이 유도되는 조건만 만족된다면 우리는 어떤 물질의 임계밀도와 임계온도만 주어져도 밀도와 온도의 변화에 대해 위 식을 적용시킬 수 있습니다. 이렇게 여러 물질에 대해 보편적으로 나타나는 성질을 ‘보편성’이라 부릅니다.


보편성이 존재한다는 말을 너무도 당연하다는 듯이 써놓았지만 서로 다른 물질이 같은 행동을 보인다는 사실은 굉장히 놀라운 일입니다. 그 ‘같은 행동’은 하늘에서 뚝 떨어진 것이 아니라 사실은 산소 기체 안에, 질소 기체 안에 이미 내재되어 있었다고 생각하는 것이 맞습니다. 하지만 산소 분자와 질소 분자는 분명히 다르므로, 산소 분자를 매우 많이 모아놓은 산소 기체와 질소 분자를 매우 많이 모아놓은 질소 기체도 서로 다르다고 말해야 맞습니다. 과연 어느 쪽 말이 맞는 걸까요? 우리가 뭔가를 빠뜨렸나요? 네, 분명히 뭔가를 놓치고 있습니다. 그건 바로 분자들 사이의 ‘상호작용’입니다. 분자들은 자유롭게 떠다닐 뿐 아니라 다른 분자들과 충돌하는 등 다양한 방식으로 서로에게 영향을 미칩니다. 분자들 사이의 상호작용을 고려하지 않고는 ‘서로 다른’ 산소 기체와 질소 기체가 왜 ‘같은 행동’을 보여주는지 이해할 수 없습니다. 그리고 바로 그 상호작용이 바로 ‘같은 행동’의 원인이 되며, 바로 보편성의 원인입니다.


이쯤에서 응집물질물리학을 연구하여 노벨물리학상을 받은 필립 앤더슨이 말해서 유명해진 “많은 것은 다르다”는 주장을 다시 생각해보겠습니다. 비슷한 말로는 흔히 복잡계 과학에서 발현/창발에 관한 명제로 자주 얘기되는 “전체는 부분의 합보다 크다”가 있습니다. 여러 사람이 따로 일할 때 얻는 성과보다 그들이 함께 일할 때 얻는 성과가 더 크다면, 이 현상을 위 문장들로 표현할 수 있을지도 모릅니다. 더욱 엄밀한 물리학에서도 위의 표현들이 종종 쓰입니다. 하지만 위 문장들은 뭔가 부족합니다. ‘다르다’는 건 알겠는데 ‘뭐가’ 다른지 모호하며, 전체가 부분의 합보다 ‘더 크다’는 것도 알겠는데 ‘얼마나’ 더 큰지 분명하지 않습니다. 저는 다음처럼 말해야 한다고 생각합니다.


“전체는 부분과 그들 사이의 상호작용의 합과 같다.”


부등호(더 크다)를 등호(같다)로 바꿈으로써, 막연히 다른 것이 실제로는 상호작용을 뜻한다는 사실을 명시함으로써 그 의미가 더 분명해졌습니다. 위 문장을 산소 기체와 질소 기체에 대해 써보겠습니다.


“산소 기체는 산소 분자들과 그들 사이의 상호작용의 합과 같다.”

“질소 기체는 질소 분자들과 그들 사이의 상호작용의 합과 같다.”


즉 부분은 분명히 다르지만 상호작용이 같다면 두 기체는 같은 행동을 보일 가능성이 있습니다. 그 가능성이 항상 드러나지는 않습니다. 사실 어떤 기체의 성질은 부분의 성질과 상호작용의 성질이 중첩된 결과입니다. 두 성질 중 어느 쪽이 우세하냐에 따라 전체의 성질이 좌우됩니다. 임계점 근처가 아니라면, 이를테면 기체의 밀도가 매우 낮아서 분자들 사이의 충돌이 일어날 가능성이 무척 낮다면, 그 기체의 성질은 주로 분자의 성질에 의해 결정되겠죠. 임계점 근처에서는 부분의 성질보다 상호작용의 성질이 우세해져서 그 기체를 이루는 것이 산소 분자인지 질소 분자인지는 상수에만 포함될 뿐, 전체적인 행동은 상호작용의 성질에 의해 결정됩니다.


“산소 기체는 산소 분자들 사이의 상호작용과 거의 같다.”

“질소 기체는 질소 분자들 사이의 상호작용과 거의 같다.”


상호작용만이 중요해지는 어떤 특정 조건(임계점 근처)에서 상호작용이 같은 기체들은 같은 행동을 보이는데, 다시 말해서 ‘보편성’을 띕니다. 일반적으로 다음처럼 써봅시다.


“X는 X를 이루는 부분들 사이의 상호작용과 거의 같다.”


또는 다음처럼 그림으로 나타내봅시다.


tempImageyOsR46.heic 출처: 조항현 박사학위 논문 (2006)


맨 오른쪽 그림은 부분의 성질을 생략하고 상호작용의 성질만 남겨놓은 것입니다. 상호작용 구조가 똑같다면 그 상호작용을 하는 입자, 즉 위 마지막 문장에서 X가 산소인지 질소인지, 심지어 인간인지도 중요하지 않습니다. 이것이 보편성의 힘입니다. 이는 단지 물리현상에 국한된 보편성이 아니라 상호작용에 관한 수학적 보편성이고, 그것이 정말 보편적이라면 그 어떤 대상에 대해서도 적용할 수 있어야 합니다. 하지만 ‘어떤 특정 조건’에서만 성립하므로 그 특정 조건이 만족되는지를 잘 살펴야 합니다. 덧붙여 애초에 입자 사이의 상호작용은 입자 없이 존재할 수 없으므로 입자의 종류에 따라 그 입자의 상호작용의 종류나 범위가 제약을 받는다는 것도 기억해야 합니다.


흔히 복잡계라고 하면 수많은 요소가 단순하지 않은 방식으로 얽혀 있는 시스템을 뜻합니다. 어떤 요소가 중요하고 다른 요소가 중요하지 않은지도 관점에 따라 보는 측면에 따라 달라집니다. 우리는 여기서 보편성에 초점을 맞추어 보편성의 원인이 되는 요소를 ‘중요한 요소’로 그렇지 않은 요소를 ‘중요하지 않은 요소’로 부르겠습니다. 그래서 상호작용은 중요한 요소이고 분자 자체의 성질은 중요하지 않은 요소가 됩니다. 종종 후자를 세부사항으로 부르기도 하는데, 그래서 보편성은 “세부사항은 중요하지 않다”는 어찌 보면 동어반복인 문장으로 표현되기도 합니다.


그렇다면 통계물리학으로 사회현상을 이해하고자 할 때 부분과 상호작용은 각각 무엇이고, 과연 사회현상에서도 보편성이 나타나는지, 그렇다면 그 조건은 어떠한지 궁금해집니다. 그리고 그 결과에 따라 통계물리학이 사회현상을 이해하는데 적합한지 아니면 그저 순진한 발상에 불과한지도 판가름 날 수 있습니다. 사회현상을 통계물리학의 대상으로 보려 한다면, 가장 먼저 입자에 해당하는 대상을 정해야 합니다. 개인일 수도 있고 작은 모임일 수도 있고, 기업이나 정부, 국가일 수도 있습니다. 인격을 갖지 않지만 인간의 활동에 밀접한 정보나 지식, 기술, 혁신 등이 그 대상이 될 수도 있습니다.


앞에서 잠깐 말했듯이 사람을 입자로 봅시다. 그런데 사람은 입자만큼 단순하지 않습니다. 사람은 엄청나게 많은 입자로 이루어져 있고 매우 잘 조직화되어 있으며 각 기관 사이의 상호작용, 외부 환경과의 상호작용, 정보의 인식, 처리 등에 관한 복잡하고 정교한 기능을 지니고 있습니다. 또한 사람 사이의 상호작용은 입자 사이의 충돌보다도 훨씬 복잡하고 다양한 규모에서 역시 매우 복잡하게 이루어집니다. 실은 물리학을 배우면서도 비슷한 당황스러움을 겪습니다. 질점이라는 개념이 그것인데요, 이를테면 천체의 운동을 이해하고자 할 때 엄청나게 거대하고 복잡한 구조를 지닌 행성을 크기가 없는 하나의 점에 그 질량이 모두 담겨 있다고 가정하면 문제를 풀기가 쉬워질 뿐 아니라 전체적인 상황을 이해하는데 큰 도움이 됩니다.


사실 사람에 대해서도 마찬가지입니다. 교통 흐름에 대한 연구로 유명한 디르크 헬빙은 거리나 공원에서 사람들의 이동 패턴을 단지 몇 가지 가정만을 이용하여 설명할 수 있다는 것을 보여줍니다. 이를테면 긴 통로에 사람들이 양쪽에서 와서 지나갈 때 누가 지시하지 않았음에도 일정한 열을 지어 다니는 현상이 나타납니다. 컴퓨터 시늉내기를 통해 통로의 왼쪽 끝에서 들어온 사람은 오른쪽으로 움직이게 하고, 오른쪽 끝에서 들어온 사람은 왼쪽을 향해 움직이게 하되, 각 사람은 다른 사람과 너무 가까워지지 않으려 한다는 조건만으로 열을 지어 다니는 현상이 나타납니다. 이렇게 보행자가 열을 지어 다니는 현상을 이해하기 위해 보행자의 정치적 입장이나 아침에 어떤 음식을 먹었는지를 조사할 필요는 없을 것입니다. (물론 아무런 상관이 없음이 증명되지 않는 이상 단정할 수는 없습니다.)


사람과 사회를 규정하는 수없이 많은 요소들이 있고 뭐가 더 중요한 요소인지 쉽게 말하지 못하는 경우도 있습니다. 하지만 우리가 어떤 특정한 현상에만 관심을 기울인다면 그 현상에만 중요한 요소들을 추려낼 수 있고, 그렇게 더욱 단순화된 모형을 통해 현상의 전체적인 상황을 이해하는데 도움을 얻을 수 있습니다. 단순화된 모형들 중에는 통계물리학에서 오랫동안 발전해온 상전이와 보편성에 관한 개념과 방법론으로 이해할 수 있는 현상들도 있습니다. 물리현상과 사회현상 사이의 순진한 은유나 비유를 넘어서 인간과 사회에 대한 구체적인 정량화를 통해 더 직접적으로 물리학의 방법론이 이용될 가능성이 있고, 이미 조금씩 실현되고 있습니다.


당연한 얘기지만 물리학이 모든 것을 설명할 수는 없습니다. 이미 인문사회과학자들이 연구해온 전통이 있습니다. 다만 물리학에서 성공적으로 발달해온 방법론을 사회현상에 적용해봄으로써, 또는 보편성과 같은 개념이 사회현상에 어떤 의미를 가질 수 있는지를 탐구함으로써 이제 막 긴 여행을 시작하는 단계라고 봅니다. 그래서 결국 우리가 소설 <파운데이션> 속의 심리역사학처럼 우리의 미래를 내다볼 수 있게 될지 어떨지 약간은 떨리는 마음으로, 하지만 그것이 가져올지 모르는 위험성을 염두에 두면서 지켜보고자 합니다.

keyword
작가의 이전글친구관계 역설 이야기