brunch

수도꼭지에서 나오는 물줄기는 왜, 얼마나 가늘어질까?

연속 방정식과 미립화

by 엔너드 EngNerd

by 엥너드 EngNerd

#수도꼭지 #물줄기 #층류 #미립화


보통 화장실 또는 싱크대에서 수도꼭지를 틀면 물이 시원하게 콸콸 나온다. 그런데 기온이 영하로 떨어지는 한겨울에 동파방지를 위해 수도꼭지를 미세하게 조절해서 물을 한 방울씩 똑똑 떨어뜨리도록 해본 경험이 있을 것이다. 이때 물이 수도꼭지에서 나오면서 밑으로 갈수록 점점 가늘어진다. 물줄기는 왜 밑으로 갈수록 점점 가늘어질까? 그리고 얼마나 가늘어질 수 있을까?

수도꼭지_대지 1.png 점점 가늘어지는 물줄기.




층류 유동 vs 난류 유동


수도관을 흐르던 물은 수압에 의해 수도꼭지 밖으로 방출되며 물줄기를 형성한다. 수도꼭지를 최대로 개방했을 때 보이는 물줄기는 울퉁불퉁하다. 이처럼 요동치는 유동을 난류 유동(turbulent flow)이라고 하며 수도꼭지에서 거의 일자로 떨어지는 것처럼 보인다. 이 상태에서 수도꼭지를 점점 닫으면 흐트러짐 없이 유리처럼 매끈하게 흐르는 상태가 된다. 이렇게 차분하게 흐르는 유동을 층류 유동(laminar flow)라고 부른다. 이때 물줄기는 수도꼭지에서 나올 때부터 급격하게 줄어들어 가느다랗게 떨어진다.

Untitled.png (a) 층류 유동과 (b) 난류 유동.
Untitled (1).png
Untitled (2).png
Untitled (3).png
1) 층류 유동 예시. 2-3) 난류 유동 예시.




중력을 받는 물줄기


한편, 수도꼭지에서 세면대를 향해 나온 물은 수압뿐만 아니라 중력의 영향도 받기 시작한다. 물은 중력에 의해 내려갈수록 점점 더 빨라진다. 앞뒤로 걷던 두 사람 중 앞서 가던 사람이 뛰기 시작하면 둘 사이는 점점 멀어지듯이 물줄기도 비슷한 현상을 겪는다. 그러나 물은 분자들이 서로 붙어 있으려고 한다. 그러다 보니 빨라지는 물을 따라 물줄기가 중심 쪽으로 모이게 되고 결국 물줄기는 가늘어진다.

1.png 유량이 일정한(Q1 = Q2 = Q3) 물줄기의 모습.

물줄기가 가늘어지는 현상은 질량보존법칙 또는 연속 방정식(continuity equation)으로도 해석할 수 있다. 만일 같은 시간 Δt 동안 흐른 물의 양 ρΔV 이 일정하다면(유량 Q = ρΔV/Δt 이 일정) 다음의 식들을 만족한다.

그림7.png

위 식에서 ρ는 물의 밀도, ΔV는 Δt 동안의 부피 변화, A는 단면적, v는 유속을 뜻한다.

실제로 유속은 단면적 내 위치에 따라 변화하는 값이다. 그러나 본문에서는 편의상 유량을 단면적으로 나눈 선속도(superficial velocity)를 유속으로 나타내었다.

중력에 의해 물줄기의 유속이 빨라지면(v1 < v2 < v3) 단면적과 유속의 곱은 일정하므로 단면적은 속도와 반대로 좁아진다(A1 > A2 > A3). 물줄기가 가늘어진다는 의미다.


수도꼭지에 말랑말랑한 호스를 연결해서 물을 뿌리는 상황에서 호스의 끝을 누르면 유속이 더 빨라지는 것도 이 때문이다. 호스의 단면적이 좁아지기 때문에(A 감소) 물의 유속이 빨라진 것이다(v 증가).




물줄기에서 물방울로


그렇다면 물줄기는 계속 가늘어질까? 이미 알고 있듯이 물줄기는 어느 순간 앞서 가는 물을 더 이상 붙잡지 못하고 끊어지면서 물방울이 된다. 이를 미립화(atomization)라고 한다. 분무기로 물을 분사할 때 미세한 물방울이 만들어지는 현상 또한 미립화 현상의 예시이다. 물줄기가 물방울로 되는 미립화 현상은 학계에서 1833년 Savart를 시작으로 활발하게 연구되어 왔다.

그림6.png 원형 실린더 제트의 평균속도(U_L)에 따른 분열길이(L_BU) 그래프 및 각 영역별 사진. [Dumouchel (2008)]

위 그래프는 유속(U_L)에 따라 분열길이(breakup length; L_BU), 즉 물줄기가 물방울로 분열되기까지의 거리를 나타낸 것이다. 우리가 수도꼭지를 통해 보는 현상은 위 그래프의 영역 B에 해당한다. 이 구간의 물줄기는 낙하하다가 모세관 불안정성(capillary instability)에 의해 출렁이기 시작하고, 출렁이는 표면 파동의 진폭이 물줄기의 반지름과 같아질 때 물방울로 떨어진다. Rayleigh (1878)와 Weber (1931) 등이 위와 관련된 선형 안정성 이론(linear stability theory)에 대해 연구하였고, 분열길이를 이론적으로 계산하였다.




일상 속 미립화 현상


미립화 현상은 공학적으로 매우 중요하다. 대표적으로 항공 추진 시스템, 자동차 엔진, 음식 공정, 잉크젯 프린터 등에 적용된다. 엔진의 경우 연료를 액적(droplet) 형태로 분사하는 것이 부피 대비 넓은 면적으로 연료를 연소시켜 엔진 효율을 높여준다. 잉크젯 프린터는 한 방울씩 잉크를 떨어뜨려야 하기 때문에 미립화 과정을 정확히 컨트롤할 수 있어야 한다. 이렇게 일상 속에서 쉽게 접하는 현상도 다양한 분야에서 면밀히 분석하고 응용하고 있다는 게 참 흥미롭다. - EngNerd

가솔린 직접분사(gasoline direct injection; GDI) 엔진. 연료를 미세한 액적 형태로 분사해야 연소가 잘 일어난다.
잉크젯 프린터에서 나오는 위성 액적(satellite droplet).

그림: drop-on-demand(DOD) 프린터를 이용하였으며 그림 B는 1/Oh=3.57일 때, 그림 C는 1/Oh=17.32일 때 형성된 액적을 보여준다. Oh는 Ohnesorge 수를 뜻한다. [Li et al. (2015)]




더 알아보기


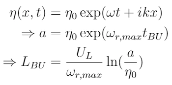
분열길이의 이론적 계산

물줄기 표면의 파동방정식:

t_BU : 분열 시간(breakup time)

ω_r,max: 최대 성장률(maximum growth rate)


Grant & Middleman (1966)은 실험을 통해 낮은 유속의 Newtonian 제트의 분열길이를 측정하고 실험식을 구하였다.

캡처.PNG

We : Weber 수

Re: Reynolds 수

이 실험식을 이용하면 물의 흐름 정보(We, Re)와 노즐의 내경을 정보로부터 분열길이를 구할 수 있다.




참고자료

Dumouchel, C. (2008). On the experimental investigation on primary atomization of liquid streams. Experiments in fluids, 45(3), 371-422.

Li, J., Rossignol, F., & Macdonald, J. (2015). Inkjet printing for biosensor fabrication: combining chemistry and technology for advanced manufacturing. Lab on a Chip, 15(12), 2538-2558.

https://haplesspigeon.com/adventures-in-your-kitchen-sink-stream-thinning/

https://physics.stackexchange.com/questions/525904/why-does-water-falling-slowly-from-a-tap-bend-inwards

https://www.greencarcongress.com/2006/02/mercedesbenz_pr.html


keyword