불만족의 중요성

변화하는 것에 대하여

by TimeSpace

영감을 바닷물에 비유하자면, 즘 나는 간조 상태이다. 바닷물은 채워졌다 비우기를 반복한다. 영감이 채워질 때, 나는 삶이 풍부해진다고 느낀다.

하루를 기분 좋게 시작하고, 모든 내적, 외적 환경에 긍정적인 의미를 부여하고, 세상을 아름답게 보는 렌즈를 끼고, 물리 문제를 풀 때 단순히 펜만 끄적이는 것이 아니라, 문자로 자연현상을 간접 경험하고, 글의 내용이 좋든 나쁘든 일단 글이 써지고 책도 잘 읽힌다. 반대로 영감이 빠져나가면 공허해지고, 그저 움직이는 생명, 단지 그런 것이 될 뿐이다. 요즘 나는 그저 먹고 숨쉬기 때문에 살고 있다.

이러한 경험을 바탕으로, 나는 언제부터인가 세상은 진동한다는 가정을 설정했다. 화가 세상을 작동한다는 생각의 싹이 튼다. 그서 전지, 전능, 전선의 '진리'를 좇던 과거에 대한 회의이 든다.


요즘 읽고 있는 힐쉬베르거의 《서양철학사》에서는 변화에 대한 철학자들의 논의가 소개된다. 이미 고대 그리스에서는 이 문제를 한 번 이상 거쳤다. 헤라클레이토스는 변화를 긍정했던 반면 엘레아학파의 철학자들은 그 반대 입장을 취다.


물리학에서는 del operator(∇)의 성질과 응용에 대해 공부하고 있는데, 그것은 무언가 변하는 것(물질 혹은 현상)에 관한 연산이다. 굳이 이런 어려운 개념에 눈을 돌리지 않아도, 누구나 배웠을 '속력 = 거리 / 시간'이라는 등식은 물체의 운동 상태를 나타내는 것이며, 이것을 조금만 들여다보면 물체 혹은 현상이 공간과 시간에 대한 변화를 전제로 의미를 갖는다는 사실을 알 수 있다.


내가 아는 한, 모든 물리는 사실 v = Δx/Δt 혹은 v = dx/dt로부터 출발한다. 여기서 Δ 와 d는 differential(차이)의 'd '이며 x와 t는 각각 리(혹은 위치)시간을 상징하는 기호이다. 즉 속력(v)은 시간의 변화에 대한 공간의 변화로써, 운동의 상태가 결정된다.

또 하나 중요한 것은 운동의 주체인 존재를 설정하는 작업으로, 물리학에서는 이를 질량(m) 또는 전하량(q)이라고 한다. 그러면 비로소 '운동량(p) = 질량(m) × 속력(v)'과 같은 개념이 생기고, 그 유명한 'F = ma'가 가능한 것이다.


p = mv, v = dx/dt. 따라서 F = dp/dt = d(mv)/dt = m×d((dx/dt))/dt = ma(가속도의 정의는 시간에 대한 속도의 변화량이다).

이러한 운동관은 아리스토텔레스 때부터 전해져 온 것이며 존재(질량 등)와 v = dx/dt를 의심할 수 없을 때, 개념을 확장하여 현대의 양자역학이나 상대성이론 등 어려운 개념에 도달할 수 있었.


다른 나라의 경우는 잘 모르겠는데, 내가 물리를 처음 배울 때 어느 교과서에든 가장 첫 번째에 등장하는 것은 시간과 공간에 대한 정의다. 이는 시간과 공간에 대한 철학의 존재론적 물음을 논하는 것이 아니라, 다만 측정의 목적으로, 시간과 공간의 양'quantity'을(혹은 단위를) 정하는 단계이다. 그 값은 상대 운동에 의한 결과물인데, 가령 시간의 양(단위, 1초)은 태양이 뜨고 지는 것을 기준으로, 혹은 특정 원자가 특정 횟수로 '진동하는' 것을 기준으로 결정되어 왔다. 공간의 양(가령 1m) 또한 마찬가지이다. 곧 물리학은 이러한 양들을 dimension이라는 틀에 가두어 물체의 운동 혹은 현상을 설명한다. 리고 바로 다음에 속력에 대한 정의가 따른다.


나는 v = dx/dt를 하찮은 것으로 여기는 않지만, 개별적인 방정식에 더 큰 의미를 부여하며 '모든 것을 설명하는 이론'을 찾겠다는 역설에 빠져 있다. 다시 강조하지만, v = dx/dt는 모든 물리현상을 포괄하는 개념이다. 이를 기본으로 아래에 있는 멋진 방정식도 나올 수가 있었다.

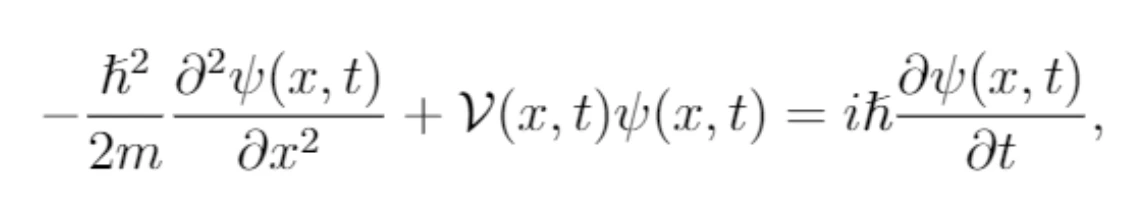
슈뢰딩거 방정식

이것은 파동이라는 현상을 설명하는 특별한 식이다. 즉, '공간과 시간에 대한 존재의 변화'의 일반이 아니다. 공간과 시간, 그리고 존재를 연구하기 위해 물리학은 특수한 식을 내놓지만, 특수한 식은 말 그대로 시공간, 존재에 관한 특수한 응용일 뿐, 시공간과 존재 자체의 특성 대한 설명 아니므로 만족할 수 없다. 그 불만족이 나를 보편과 개별의 양 극단으로 움직이며 머리를 굴리게 한다.


물리학에서, 모든 자연현상은 존재(m) 그리고 d, x, t로 설명이 가능할 것이라 본다.

여기서 주의해야 할 점은, m으로 표현되는 질량은 앞서 말한 시간과 공간의 양quantity과 마찬가지로, 존재 자체가 아니라 그 존재의 관성의 정도임을, 즉 존재의 성질을 나타내는 양적 표현 중 하나일 뿐이라는 점이다. 또한 심지어 세상에는 질량을 가지지 않는 존재도 있다.

그러면 이제 중요해지는 것은 시간과 공간 그리고 존재 자체에 대한 설명이다. 세상이 변한다고 생각하는 지금이나, 절대적 진리를 찾으려 애쓰던 과거나, 궁금증은 결국 시간과 공간에 대한 질문으로 귀결된다. 그러므로 나의 내면과 외부 환경 즉 삶을 이해하고, 나를 둘러싼 세상(자연)을 이해하는 방법은 다름 아닌 Timespace에 관한 연구이. 물리와 철학을 오가며 끊임없이 공부하도록 하는 불만족이 그것을 해소하려는 욕망과 의지를 낳고, 이 욕망과 의지는 내 삶의 원동력이 된다. 바닷물은 다시 차오를 것이다.

keyword