brunch
매거진 논문 리뷰

국가별로 환경적 편익에 부여되는 다양한 가치 설명

Murakami et al., 2022 Nature

by CalmBeforeStorm

Explaining the diverse values assigned to environmental benefits across countries

국가별로 환경적 편익에 부여되는 다양한 가치 설명


https://www.nature.com/articles/s41893-022-00914-8



Abstract


One of the key obstacles to building public consensus regarding environmental problems is the fact that environmental benefits are valued differently by different individuals and across different regions.

환경 문제에 대한 공공 합의를 형성하는 데 있어 핵심적인 장애물 중 하나는 환경적 편익이 개인별·지역별로 다르게 평가된다는 사실이다.


Lack of public consensus has fractured international and domestic agreements, preventing effective system implementation.

공공 합의의 부족은 국제적·국내적 합의를 분열시켜 효과적인 제도 시행을 가로막아 왔다.


However, where does the disparity come from?

그러나 이러한 격차는 어디에서 기인하는 것일까?


Here, we provide evidence that can help to understand such diversity by analysing large-scale survey data collected across G20 countries.

본 연구에서는 G20 국가에서 수집된 대규모 설문조사 데이터를 분석하여 이러한 다양성을 이해하는 데 도움이 되는 근거를 제시한다.


Combining lifecycle impact assessment and economic valuation techniques, our analysis shows that people’s perceptions of environmental benefits are in fact diverse, but are determined by a few social indicators such as life expectancy, income and gender equality, as well as individual conditions such as relative income and subjective well-being.

수명주기 영향평가와 경제적 가치 평가 기법을 결합한 분석 결과, 사람들의 환경적 편익에 대한 인식은 실제로 다양하지만, 기대수명, 소득, 성평등과 같은 몇 가지 사회적 지표와 개인의 상대적 소득, 주관적 행복감과 같은 조건에 의해 결정됨을 보여준다.


As these social- and individual-level conditions improve, people shift priorities and place more emphasis on less tangible environmental benefits (biodiversity conservation) rather than relatively tangible (health-related) ones.

이러한 사회적·개인적 조건이 개선됨에 따라, 사람들은 상대적으로 구체적인 편익(건강 관련)보다 덜 가시적인 환경적 편익(생물다양성 보존)에 더 큰 비중을 두게 된다.


Focusing on such determinants and addressing the problems of inequality and well-being are critical to building public consensus and tackling global environmental issues practically.

이러한 결정 요인에 주목하고 불평등 및 행복 관련 문제를 해결하는 것이 공공 합의를 구축하고 글로벌 환경 문제를 실질적으로 해결하는 데 핵심적이다.


Our findings can illuminate a feasible step to global consensus and a sustainable society.

본 연구 결과는 글로벌 합의와 지속가능한 사회로 나아가는 실현 가능한 단계를 밝혀낼 수 있다.



Introduction


Valuing environmental benefits is crucial for facilitating well-informed decision making for sustainable development.

환경적 편익의 가치를 평가하는 것은 지속가능한 발전을 위한 충분히 정보에 입각한 의사결정을 촉진하는 데 필수적이다.


While the costs of environmental protection are relatively easy to quantify, the benefits are often less obvious and much more difficult to take into account.
환경 보호의 비용은 상대적으로 산정하기 쉽지만, 그 편익은 종종 덜 명확하고 훨씬 더 고려하기 어렵다.


Measuring the values of environmental benefits therefore offers an important counterweight to the costs that would otherwise dominate any decision-making process.

따라서 환경적 편익의 가치를 측정하는 것은 그렇지 않으면 의사결정 과정을 지배할 비용에 대한 중요한 균형추 역할을 한다.


To better inform individuals and policymakers on how much they should protect the environment, considerable effort has been made over the past several decades to properly value the environment.

개인과 정책결정자에게 환경을 어느 정도 보호해야 하는지 더 잘 알리기 위해, 지난 수십 년 동안 환경의 가치를 적절히 평가하려는 상당한 노력이 이루어져 왔다.


Although there is extensive research—spanning decades—documenting how much value people place on a wide range of environmental benefits, little is known about the underlying determinants that influence people’s valuation.

수십 년에 걸친 광범위한 연구가 사람들이 다양한 환경적 편익에 얼마만큼의 가치를 두는지 기록해왔지만, 이러한 평가에 영향을 미치는 근본적 결정 요인에 대해서는 거의 알려져 있지 않다.


It is widely recognized, for example, that people’s willingness to pay for non-market goods is influenced by their income level.

예를 들어, 사람들이 비시장재에 대해 지불하려는 의사는 그들의 소득 수준에 의해 영향을 받는다는 점은 널리 알려져 있다.


Nonetheless, income alone does not explain the observed differences, especially when the outcomes are compared across different countries.

그럼에도 불구하고, 소득만으로는 관찰된 차이를 설명할 수 없으며, 특히 결과가 서로 다른 국가 간에 비교될 때 그러하다.


This fact indicates that other non-trivial determinants also play an important part.

이 사실은 다른 중요 요인들 또한 중요한 역할을 한다는 것을 시사한다.


However, identifying the determinants is not an easy task.

그러나 이러한 결정 요인을 규명하는 것은 쉬운 일이 아니다.


Environmental valuation studies are normally designed independently and conducted in isolation, which makes the estimated values highly site-specific and not directly comparable.

환경 가치평가 연구는 보통 독립적으로 설계되고 개별적으로 수행되며, 그 결과 산출된 값은 현장 특수성이 강하고 직접적으로 비교하기 어렵다.


Compilations of site-specific studies, however numerous, can give us only limited understanding of what exactly is driving the results.

현장 특수 연구들을 아무리 많이 모아도, 결과를 실제로 이끄는 요인이 무엇인지에 대한 이해는 제한적일 수밖에 없다.


In this study, we have uncovered the primary determinants of environmental valuation by conducting a large-scale survey across G20 (Group of Twenty) countries.

본 연구에서는 G20 국가들을 대상으로 한 대규모 설문조사를 통해 환경 가치평가의 주요 결정 요인을 규명하였다.


Uniformly designed questionnaires allowed us to directly compare the same set of environmental benefits and people’s willingness to pay for these benefits based on their social and economic conditions.

일관되게 설계된 설문지는 동일한 환경적 편익과 이에 대한 지불 의사를 사회·경제적 조건에 따라 직접 비교할 수 있게 해주었다.


To provide realistic and consistent scenarios of environmental benefits, we used LIME (Life cycle Impact assessment Method based on Endpoint modeling), a framework developed for lifecycle impact assessment (LCIA).

환경적 편익에 대한 현실적이고 일관된 시나리오를 제공하기 위해, 우리는 수명주기영향평가(LCIA)를 위해 개발된LIME(종단점 기반 수명주기 영향평가 기법)을 활용하였다.


This framework succinctly summarizes the current environmental impacts of human activities into four representative categories, each of which is used to describe alternative scenarios in a choice experiment format.

이 프레임워크는 인간 활동의 현재 환경 영향을 네 가지 대표 범주로 간결하게 요약하며, 각각은 선택실험 형식에서 대안적 시나리오를 설명하는 데 사용된다.


The survey data could then be analysed to identify how people’s valuation of environmental benefits is influenced by the underlying conditions.

이후 설문 데이터를 분석함으로써 사람들의 환경적 편익 평가가 기저 조건에 의해 어떻게 영향을 받는지를 확인할 수 있었다.


This study provides a number of illuminating insights.

본 연구는 여러 가지 시사점 있는 통찰을 제공한다.


In particular, we show here that even with adjustments being made for income differences, people’s perceptions of environmental benefits are quite diverse, a tendency most notable in less developed countries.

특히, 소득 차이에 대한 조정이 이루어졌음에도 불구하고, 사람들의 환경적 편익에 대한 인식은 상당히 다양하며, 이러한 경향은 저개발 국가에서 가장 두드러진다는 것을 보여준다.


Moreover, people’s valuations appear highly correlated with a few social indicators such as life expectancy, income and gender equality, as well as individual conditions such as relative income and subjective well-being.

또한, 사람들의 가치 평가는 기대수명, 소득, 성평등과 같은 몇 가지 사회적 지표뿐만 아니라 상대적 소득, 주관적 행복감과 같은 개인적 조건과도 높은 상관관계를 보인다.


We also show, perhaps more importantly, that people do not only value the environment in varying magnitudes, but also assign distinct priorities to different types of environmental benefits.

더 중요한 것은, 사람들이 단순히 환경에 대해 서로 다른 정도의 가치를 부여하는 것에 그치지 않고, 환경적 편익의 유형별로 뚜렷한 우선순위를 매긴다는 점을 보여준 것이다.


As social- and individual-level conditions improve, people tend to shift focus from relatively tangible benefits (that is, health-related benefits) to less tangible ones (that is, biodiversity protection), which creates another dimension of disparity between developed and less developed countries.

사회적·개인적 조건이 개선됨에 따라 사람들은 상대적으로 가시적인 편익(즉, 건강 관련 편익)에서 덜 가시적인 편익(즉, 생물다양성 보호)으로 관심을 전환하는 경향을 보이며, 이는 선진국과 저개발국 간에 또 다른 차원을 형성한다.


Our findings that social indicators such as income and gender equality also affect the valuation of environmental benefits suggest that measures to solve such social problems are closely related to how we tackle global environmental issues.

소득과 성평등과 같은 사회적 지표가 환경적 편익 평가에도 영향을 미친다는 본 연구의 발견은, 이러한 사회 문제를 해결하기 위한 조치가 글로벌 환경 문제 해결 방식과 밀접하게 연관되어 있음을 시사한다.




The framework 연구 프레임워크


Using the LCIA method, we physically assessed four representative types of environmental damage (that is, endpoints)—damage to human health (as disability-adjusted life year, or DALY), social assets (in US dollars, or US$), biodiversity (as the expected increase in the number of extinct species, or EINES) and primary production (as net primary production, or NPP; Fig. 1)—considering substantial impact categories such as climate change, air pollution, photochemical oxidants, water use, land use, fossil fuel use, mineral resource and forest resource use.

우리는 LCIA 방법을 사용하여 네 가지 대표적인 환경 피해 유형(즉, 엔드포인트)을 물리적으로 평가하였다. 이는 인간 건강 피해(DALY: 질병보정 수명손실), 사회적 자산(미국 달러, US$), 생물다양성(EINES: 예상 멸종종 수 증가), 1차 생산력(NPP: 순 1차 생산량; 그림 1)이며, 기후변화, 대기오염, 광화학 산화물, 수자원 사용, 토지 사용, 화석연료 사용, 광물 자원 및 산림 자원 사용과 같은 주요 영향 범주를 고려하였다.


These four endpoints are considered as contributing to social welfare through different aspects involving trade-offs.

이 네 가지 엔드포인트는 서로 다른 차원에서 상충관계를 수반하면서 사회적 복지에 기여하는 것으로 간주된다.


For example, funding wildlife conservation might contribute to social welfare through improved recreational and educational opportunities, but doing so also means that the limited budgets and/or efforts cannot contribute to social security and the health care system, thereby reducing social welfare from other aspects.

예를 들어, 야생동물 보전에 자금을 지원하면 향상된 여가 및 교육 기회를 통해 사회적 복지에 기여할 수 있지만, 이는 제한된 예산과 노력으로 인해 사회보장이나 의료체계에는 기여하지 못해 다른 측면에서 사회적 복지를 감소시킬 수 있다.


We assessed human health and social assets as the qualitative and quantitative impacts on society, while biodiversity and primary production were assessed as the qualitative and quantitative impacts on the ecosystem, respectively.

우리는 인간 건강과 사회적 자산을 사회에 대한 질적·양적 영향으로 평가하였고, 생물다양성과 1차 생산력은 각각 생태계에 대한 질적·양적 영향으로 평가하였다.


Damage to human health is assessed as the loss in life expectancy due to diseases like diarrhoea, malnutrition and malaria caused by each impact category.

인간 건강 피해는 설사, 영양실조, 말라리아와 같은 질병으로 인한 기대수명 손실로 평가된다.


Similarly, damage to social assets, biodiversity and primary production is assessed as a loss of economic production, species and plant growth, respectively.

마찬가지로 사회적 자산, 생물다양성, 1차 생산력 피해는 각각 경제 생산, 종(種), 식물 성장의 손실로 평가된다.


We obtained 79 million DALYs (human health), US$450 billion of valuable resources (social assets), 100 EINES (biodiversity) and 18 billion tonnes of NPP (primary production) as the current annual damage to the environment on a global scale.

우리는 현재 전 세계적 차원에서의 연간 환경 피해를 인간 건강 7,900만 DALY, 사회적 자산 4,500억 달러, 생물다양성 100 EINES, 1차 생산력 180억 톤 NPP로 산출하였다.


Using these values, we estimated the marginal utility of mitigating each damage using a choice experiment in a cross-sectional social survey of G20 countries.

이 값들을 활용하여, 우리는 G20 국가의 횡단면 사회조사에서 선택실험을 통해 각 피해를 완화하는 한계효용을 추정하였다.


The estimates represent what these people are willing to invest to reduce their global-average marginal damages.

이 추정치는 사람들이 전 세계 평균 한계 피해를 줄이기 위해 기꺼이 투자하려는 금액을 나타낸다.


tempImageHbBtuG.heic Fig. 1 | The framework of this study


Fig. 1 | The framework of this study. The framework accords with the ISO14044 standard, wherein the LCIA procedure is specified.

그림 1 | 본 연구의 프레임워크. 이 프레임워크는 LCIA 절차가 규정된 ISO14044 표준을 따른다.


The inventory list and path are illustrative. For damage assessment, we covered eight impact categories, namely climate change, air pollution, photochemical oxidants, water use, land use, fossil fuel use, mineral resource and forest resource use.

재고 목록과 경로는 설명 목적이다. 피해 평가는 기후변화, 대기오염, 광화학 산화물, 수자원 사용, 토지 사용, 화석연료 사용, 광물 자원 사용, 산림 자원 사용의 8개 영향 범주를 포함한다.


For each category, we quantitatively characterized the pathway from inventory emission to the four damage endpoints based on the latest knowledge in environmental science.

각 범주에 대해 우리는 환경과학의 최신 지식을 바탕으로 재고 배출에서 네 가지 피해 엔드포인트까지의 경로를 정량적으로 특성화하였다.


We used the current damage levels to provide realistic and consistent scenarios of environmental benefits in the questionnaire, and we estimated the marginal utility of mitigating each damage by using a choice experiment in the cross-sectional social survey of 19 G20 countries.

우리는 현재 피해 수준을 활용하여 설문조사에서 환경적 편익의 현실적이고 일관된 시나리오를 제시하고, 19개 G20 국가의 횡단면 사회조사에서 선택실험을 통해 각 피해 완화의 한계효용을 추정하였다.


In this study, we compared regional average benefits calculated from marginal utilities estimated using the random parameter logit model by country and tentatively classified all respondents from the 19 countries into four distinctive preference groups using the latent class logit model.

본 연구에서는 국가별 랜덤 매개변수 로짓 모형을 활용하여 추정한 한계효용으로부터 산출된 지역 평균 편익을 비교하고, 잠재 클래스 로짓 모형을 활용하여 19개국 응답자 전체를 네 가지 뚜렷한 선호 집단으로 잠정 분류하였다.


See the Methods section for detailed definitions of the four endpoints. A complete overview of the LIME model is provided in Inaba and Itsubo.

네 가지 엔드포인트의 상세 정의는 방법론 섹션을 참고하라. LIME 모델의 전체 개요는 Inaba와 Itsubo에 제시되어 있다.




Data and choice experiment

데이터와 선택 실험


Our survey covered 19 G20 countries with a variety of conditions (Supplementary Table 1).

우리의 설문조사는 다양한 조건을 가진 19개 G20 국가를 대상으로 수행되었다(보충표 1 참조).


For example, G20 members include high- and middle-income countries (according to the World Bank’s categorization), with different levels of life expectancy, Gini index and land use.

예를 들어, G20 회원국은 세계은행 분류에 따른 고소득 및 중소득 국가를 포함하며, 기대수명, 지니계수, 토지 이용 수준이 서로 다르다.


To ensure sampling efficiency, we selected urban areas with the largest economic scale and a high population density in each country and implemented random sampling with equal numbers of males and females.

표본 추출의 효율성을 확보하기 위해, 각국에서 경제 규모가 가장 크고 인구 밀도가 높은 도시 지역을 선정하고, 남녀를 동등한 수로 무작위 추출하였다.


Eventually, we randomly obtained response data from 200–250 and 500–600 households from emerging and developed countries, respectively, with 6,183 valid micro responses.

최종적으로 신흥국에서는 200-250가구, 선진국에서는 500-600가구로부터 무작위로 응답 데이터를 수집했으며, 총 6,183건의 유효 미시 응답을 확보하였다.


We conducted a large-scale simultaneous survey at these sites between August 2013 and March 2014 using a uniform questionnaire.

우리는 2013년 8월부터 2014년 3월 사이에 이러한 지역에서 동일한 설문지를 사용하여 대규모 동시 설문조사를 실시하였다.


The questionnaire included explanations of the four types of environmental damage, to ensure respondents understood the current level of damage for each endpoint, to help them assess the level of marginal recovery.

설문지는 응답자들이 각 엔드포인트의 현재 피해 수준을 이해하고 한계적 회복 수준을 평가할 수 있도록 네 가지 환경 피해 유형에 대한 설명을 포함하였다.


It also included questions about the perceptions of these subjects and a choice experiment (posing eight hypothetical choice situations, as described below) to estimate their marginal utilities for mitigating these damages, and questions about their individual status, such as subjective well-being (SWB; life satisfaction and happiness), self-rated health (SRH) condition, income level, household size and age.

또한, 환경 피해에 대한 인식, 이를 완화하기 위한 한계 효용을 추정하기 위한 선택 실험(아래에 설명된 바와 같이 8개의 가상 선택 상황 제시), 그리고 주관적 행복(SWB: 삶의 만족도와 행복), 자기평가 건강(SRH) 상태, 소득 수준, 가구 규모, 연령 등 개인적 상태에 관한 질문도 포함하였다.


The choice experiment comprised 16 alternatives (as environmental conservation policies) in various combinations of the attribute levels for the four endpoints: (1) loss of human health (DALY), (2) loss of biodiversity (EINES), (3) loss of valuable resources (US$) and (4) loss of plant growth (NPP), with environmental tax (that is, income decrease) as a numeraire.

선택 실험은 네 가지 엔드포인트 속성 수준의 다양한 조합을 반영한 16개의 대안(환경 보전 정책)으로 구성되었으며, 이는 (1) 인간 건강 손실(DALY), (2) 생물다양성 손실(EINES), (3) 가치 있는 자원 손실(미국 달러), (4) 식물 성장 손실(NPP)로 정의되며, 환산 단위로 환경세(즉, 소득 감소)를 포함하였다.


Respondents were asked to choose the most desirable of three policy options: Policies 1 and 2 were adjusted for hypothetical situations such as environmental improvements and additional tax payment, and Policy 3 represented the current situation with no additional tax as the status quo option.

응답자들은 세 가지 정책 옵션 중 가장 바람직한 것을 선택하도록 요청받았다. 정책 1과 2는 환경 개선 및 추가 세금 납부와 같은 가상의 상황을 반영하도록 조정되었고, 정책 3은 추가 세금이 없는 현상 유지 옵션을 나타냈다.


An example of a choice experiment is shown in Supplementary Fig. 2.

선택 실험의 예시는 보충 그림 2에 제시되어 있다.


We analysed the choice experiment data by country using a random parameter logit model, and obtained the regional-average marginal utility of the damage and income decreases across the four endpoints.

우리는 국가별로 랜덤 매개변수 로짓 모형을 사용하여 선택 실험 데이터를 분석하였으며, 네 가지 엔드포인트에서 피해 및 소득 감소에 대한 지역 평균 한계 효용을 도출하였다.


Furthermore, applying the latent class logit model to the response data across the world, we estimated the conditional utility functions for different classes, while assuming that the respondents included several distinct preference groups with different marginal utilities.

더 나아가, 전 세계 응답 데이터를 대상으로 잠재 클래스 로짓 모형을 적용하여 응답자들이 서로 다른 한계 효용을 가진 몇 개의 뚜렷한 선호 집단에 속한다는 가정 하에, 각 집단에 대한 조건부 효용 함수를 추정하였다.


With our data, four distinct classes were obtained, yielding four types of marginal utility bundles.

우리의 데이터 분석 결과 네 가지 뚜렷한 집단이 도출되었으며, 이는 네 가지 유형의 한계 효용 묶음을 형성하였다.


We also estimated which type of people tend to belong to each group.

또한, 어떤 유형의 사람들이 각 집단에 속하는 경향이 있는지도 추정하였다.


(see the Methods section for details of the random parameter logit model and latent class logit model).

(랜덤 매개변수 로짓 모형과 잠재 클래스 로짓 모형의 세부 사항은 방법론 섹션을 참조).





Social weightings 사회적 가중치


To interpret the estimated marginal utilities, we define social weightings as indicative of which endpoints are important to people.

추정된 한계 효용을 해석하기 위해, 우리는 사회적 가중치를 사람들이 어떤 엔드포인트를 중요하게 여기는지를 나타내는 지표로 정의한다.


We adopted two measures of social weighting: the dimensionless weighting factor (WF1) and monetary weighting factor (WF2; see the Methods section for the underlying equations of weighting factors).

우리는 사회적 가중치의 두 가지 척도를 채택하였다: 무차원 가중치 계수(WF1)와 화폐 단위 가중치 계수(WF2; 가중치 계수의 기본 방정식은 방법론 섹션 참조).


WF1 is based on the general method of the LCIA, and it is normalized to ensure that the sum of the WF1s of the four endpoints is one.

WF1은 일반적인 LCIA 방법에 기반하며, 네 개 엔드포인트의 WF1 합이 1이 되도록 정규화된다.


We define WF1 as the proportion of the total marginal utilities of all endpoints that is accounted for by the marginal utility of each endpoint.

WF1은 각 엔드포인트의 한계 효용이 전체 엔드포인트 한계 효용에서 차지하는 비율로 정의된다.


By definition, a WF1 of more (less) than 0.25 indicates a larger (smaller) perceived importance in society.

정의상, WF1이 0.25보다 크면 사회적으로 더 큰 중요성을, 0.25보다 작으면 더 작은 중요성을 의미한다.


WF2 is the marginal willingness to pay, representing marginal benefits (that is, external costs) relative to conservation costs in a cost–benefit analysis.

WF2는 한계 지불 의사액으로, 비용–편익 분석에서 보전 비용에 대한 한계 편익(즉, 외부비용)을 나타낸다.


We define WF2 as the marginal rate of substitution between each endpoint and income, or the income that people are willing to forgo to mitigate each damage.

WF2는 각 엔드포인트와 소득 간의 한계 대체율, 즉 각 피해를 완화하기 위해 사람들이 기꺼이 포기하려는 소득으로 정의된다.


As the unit of income is purchasing power parity (PPP) in US$, WF2s indicate the extent to which people can give up their living standards to mitigate the marginal global damage to each endpoint (that is, environmental good), regardless of their national income level.

소득 단위가 미국 달러 기준 구매력 평가(PPP)이므로, WF2는 국가 소득 수준과 무관하게 사람들이 각 엔드포인트(즉, 환경재)의 전 세계적 한계 피해를 완화하기 위해 어느 정도 생활수준을 포기할 수 있는지를 나타낸다.


These two social weighting measures are complementary.

이 두 가지 사회적 가중치 척도는 상호 보완적이다.


WF1 is defined as the ratio of marginal utility among the four endpoints.

WF1은 네 가지 엔드포인트 간의 한계 효용 비율로 정의된다.


It is used as an indicator to compare relative importance even when the marginal utility of money is unsuitable in a less-monetized economy.

WF1은 화폐의 한계 효용이 덜 화폐화된 경제에서 적합하지 않을 때도 상대적 중요성을 비교하는 지표로 사용된다.


WF2 is defined as the willingness to pay and it has an advantage in cost–benefit analysis.

WF2는 지불 의사액으로 정의되며, 비용–편익 분석에서 강점을 가진다.


WF1 is sufficient for a debate about which policy should be preferred, while WF2 is useful when a comparison with costs is needed.

WF1은 어느 정책을 선호해야 하는지에 대한 논의에 충분하며, WF2는 비용과 비교가 필요할 때 유용하다.


WF1s and WF2s can be compared with values from the LCIA literature and from previous studies of economic evaluation, respectively.

WF1과 WF2는 각각 LCIA 문헌과 기존의 경제적 평가 연구 값과 비교될 수 있다.


Full lists of the estimated regional-specific weighting factors are reported in Itsubo et al., Murakami et al. and in Supplementary Table 4.

추정된 지역별 가중치 계수의 전체 목록은 Itsubo 외 연구, Murakami 외 연구 및 보충표 4에 보고되어 있다.



tempImageakseT5.heic Fig. 2 | Comparison of regional averages of social weightings for 19 countries.


Fig. 2 | Comparison of regional averages of social weightings for 19 countries. The data show that the social priority depends on the country.

그림 2 | 19개국의 사회적 가중치 지역 평균 비교. 데이터는 사회적 우선순위가 국가에 따라 달라짐을 보여준다.


a, Scatter diagram with each country’s average WF1 (normalized social weighting) and GNI per capita, with regression lines summarizing the relationship (adjusted R² values and coefficients reported).

a, 각국의 평균 WF1(정규화된 사회적 가중치)과 1인당 국민총소득(GNI)을 나타낸 산점도이며, 회귀선은 관계를 요약한다(조정된 R² 값 및 계수 보고).


The red solid and dotted lines demonstrate the WF1 trends of human society, and the blue solid and dotted lines demonstrate the WF1 trends of the ecosystem.

빨간 실선과 점선은 인간 사회의 WF1 추세를, 파란 실선과 점선은 생태계의 WF1 추세를 나타낸다.


b, The relative importance of the WF1s of qualitative subjects, that is, human health and biodiversity. The marker size represents the GNI per capita.

b, 질적 항목인 인간 건강과 생물다양성의 WF1 상대 중요성. 마커 크기는 1인당 GNI를 나타낸다.


The upper left (lower right) area indicates greater weight on biodiversity (human health). The area around the 45° line indicates equal weight on both.

좌상단 영역은 생물다양성에 더 큰 비중을, 우하단 영역은 인간 건강에 더 큰 비중을 나타내며, 45° 선 주변은 양쪽에 동일한 비중을 둔 경우를 나타낸다.


c,d, Scatter diagrams of the relationships between GNI and WF2 (monetary social weighting in PPP) of each country for human health and social assets (c), and biodiversity and primary production (d).

c,d, 각국의 GNI와 WF2(PPP 기준 화폐 단위 사회적 가중치) 간의 관계를 보여주는 산점도로, (c)는 인간 건강과 사회적 자산, (d)는 생물다양성과 1차 생산력을 나타낸다.


Error bars report confidence interval at the 95% level.

오차 막대는 95% 신뢰구간을 나타낸다.


Country codes: AUS, Australia; USA, United States; CAN, Canada; JPN, Japan; DEU, Germany; FRA, France; GBR, United Kingdom; ITA, Italy; KOR, Korea, Rep.; SAU, Saudi Arabia; RUS, Russian Federation; ARG, Argentina; BRA, Brazil; TUR, Turkey; MEX, Mexico; ZAF, South Africa; CHN, China; IDN, Indonesia; IND, India.

국가 코드: AUS, 호주; USA, 미국; CAN, 캐나다; JPN, 일본; DEU, 독일; FRA, 프랑스; GBR, 영국; ITA, 이탈리아; KOR, 대한민국; SAU, 사우디아라비아; RUS, 러시아; ARG, 아르헨티나; BRA, 브라질; TUR, 터키; MEX, 멕시코; ZAF, 남아프리카공화국; CHN, 중국; IDN, 인도네시아; IND, 인도.




Gap in national income category

국가 소득 계층 간 격차


Figure 2 presents a summary of national average WF1 and WF2, showing a notable diversity in social weightings between countries, even if they evaluated the same amount of global environmental damage.

그림 2는 국가별 평균 WF1과 WF2를 요약하여 제시하며, 동일한 규모의 전 세계 환경 피해를 평가했음에도 불구하고 국가 간 사회적 가중치에서 뚜렷한 다양성이 존재함을 보여준다.


Figure 2a shows a scatter diagram with each country’s average WF1 and gross national income (GNI) per capita, with regression lines summarizing the relationship.

그림 2a는 각국의 평균 WF1과 1인당 국민총소득(GNI)을 나타낸 산점도로, 관계를 요약한 회귀선을 포함하고 있다.


The red solid and dotted lines demonstrate that the WF1s of human society (human health and social assets, respectively) are trending downward.

빨간 실선과 점선은 인간 사회(각각 인간 건강과 사회적 자산)의 WF1이 하락 추세에 있음을 보여준다.


The blue solid and dotted lines demonstrate that the WF1s of the ecosystem (biodiversity and primary production, respectively) are trending upward.

파란 실선과 점선은 생태계(각각 생물다양성과 1차 생산력)의 WF1이 상승 추세에 있음을 보여준다.


This indicates that the social weighting of the ecosystem (human society) is positively (negatively) related to the national income level on average.

이는 평균적으로 생태계의 사회적 가중치는 국가 소득 수준과 양(+)의 관계를, 인간 사회의 가중치는 음(–)의 관계를 가진다는 것을 나타낸다.


Figure 2b focuses on the WF1s of qualitative endpoints (that is, human society and the ecosystem), revealing particularly large differences in each category.

그림 2b는 질적 엔드포인트(즉, 인간 사회와 생태계)의 WF1에 초점을 맞추며, 각 범주에서 특히 큰 차이를 드러낸다.


The upper left of Fig. 2b shows countries that place a larger weight on biodiversity (for example, Germany, Japan and Australia).

그림 2b의 좌상단은 독일, 일본, 호주 등과 같이 생물다양성에 더 큰 비중을 두는 국가들을 보여준다.


By contrast, the lower right of Fig. 2b shows countries that emphasize human health (for example, Saudi Arabia, South Africa, Brazil, Indonesia, Argentina and India).

반대로, 그림 2b의 우하단은 사우디아라비아, 남아프리카공화국, 브라질, 인도네시아, 아르헨티나, 인도와 같이 인간 건강을 강조하는 국가들을 나타낸다.


The line at 45° shows countries placing equal weight on both, on average.

45° 선은 두 가지에 평균적으로 동일한 비중을 두는 국가들을 나타낸다.


The results demonstrate that many high-income countries place emphasis on biodiversity, while many middle-income countries focus on human health.

결과는 많은 고소득 국가들이 생물다양성을 중시하는 반면, 많은 중소득 국가들은 인간 건강에 집중함을 보여준다.


Figure 2c,d shows the relationships between the GNI and WF2 of each country for human society (human health and social assets) and the ecosystem (biodiversity and primary production), respectively.

그림 2c,d는 각각 인간 사회(인간 건강, 사회적 자산)와 생태계(생물다양성, 1차 생산력)에 대해 국가별 GNI와 WF2 간의 관계를 보여준다.


WF2s show greater heterogeneity among countries with middle-income levels of GNI per capita, and this trend decreases and converges after approximately US$16,000 (PPP), which echoes the empirical boundary of the ‘middle-income trap’ introduced by the World Bank.

WF2는 1인당 GNI가 중소득 수준인 국가들에서 더 큰 이질성을 보이며, 약 미화 16,000달러(PPP) 이후에는 이러한 경향이 감소하고 수렴하는데, 이는 세계은행이 제시한 ‘중진국 함정’의 경험적 경계와 일치한다.


Much of the evidence suggests that a jump in sustainable growth to a high-income country status (that is, beyond the boundary) cannot be achieved without structural transformation, such as enhancing infrastructure and human capital investment and instituting sufficient governance for resource distribution.

많은 증거는 인프라 확충, 인적 자본 투자 강화, 자원 분배를 위한 충분한 거버넌스 제도화와 같은 구조적 변혁 없이는 고소득 국가 수준(즉, 경계선을 넘어선 지속가능한 성장)으로의 도약이 불가능하다는 것을 시사한다.


Our findings suggest that non-income factors such as living conditions, resources and their distribution, and cultural values play an important part in determining the environmental benefits, especially among less-developed countries.

우리의 연구 결과는 특히 저개발 국가들에서 생활 여건, 자원 및 그 분배, 문화적 가치와 같은 비소득 요인들이 환경적 편익을 결정하는 데 중요한 역할을 한다는 것을 시사한다.



tempImageYmfvTT.heic Fig. 3 | Four distinct preference groups focusing on human health and biodiversity.


Fig. 3 | Four distinct preference groups focusing on human health and biodiversity.

그림 3 | 인간 건강과 생물다양성에 초점을 둔 네 가지 뚜렷한 선호 집단.


a–c, Several distinct preferences have been estimated using a latent class logit model for residents in 19 countries, nine of which have middle-income levels with the remaining ten having high-income levels.

a–c, 19개국 거주자를 대상으로 잠재 클래스 로짓 모형을 사용해 여러 뚜렷한 선호가 추정되었으며, 이 중 9개국은 중소득, 나머지 10개국은 고소득 국가이다.


The marker size reflects their individual share within the sample.

마커 크기는 표본 내 개별 비중을 반영한다.


The relative importance of human health and biodiversity is shown for all countries (a), middle-income countries (b) and high-income countries (c).

인간 건강과 생물다양성의 상대적 중요성은 전체 국가(a), 중소득 국가(b), 고소득 국가(c)에 대해 각각 제시된다.


Four distinctive classes, A1–A4 and M1–M4, are observed in a and b, and three distinctive classes, H1–H3, in c.

a와 b에서는 A1–A4 및 M1–M4의 네 가지 뚜렷한 집단이 관찰되었고, c에서는 H1–H3의 세 가지 집단이 관찰되었다.




Four preference groups

네 가지 선호 집단


To explore the determinants of this heterogeneity, we analysed the same response data simultaneously by applying the latent class approach.

이러한 이질성의 결정 요인을 탐구하기 위해, 우리는 잠재 클래스 접근법을 적용하여 동일한 응답 데이터를 동시에 분석하였다.


This method captures variations in preferences by modelling individual utility functions as a mixture of several distinct preference groups.

이 방법은 개인의 효용 함수를 여러 뚜렷한 선호 집단의 혼합으로 모델링하여 선호의 변화를 포착한다.


By estimating the several different conditional utility functions on individual characteristics, we can explore how many segments are reasonably needed to classify the preference patterns of all respondents.

개인 특성에 따른 여러 조건부 효용 함수를 추정함으로써, 모든 응답자의 선호 패턴을 분류하는 데 합리적으로 필요한 세분화 수를 탐색할 수 있다.


In addition, the probability that a respondent with a particular attribute is likely to belong to each segment can be estimated at the same time.

또한 특정 속성을 가진 응답자가 각 세분화에 속할 가능성도 동시에 추정할 수 있다.


The full estimation results of coefficients, standard errors and statistical significance are provided in Supplementary Tables 5–7.

계수, 표준오차, 통계적 유의성의 전체 추정 결과는 보충표 5–7에 제시되어 있다.


Figure 3a demonstrates the four distinct preferences estimated using a latent class logit model with sufficient validity in terms of significant coefficients and Akaike’s information criterion.

그림 3a는 계수의 통계적 유의성과 아카이케 정보 기준(AIC) 측면에서 충분한 타당성을 가진 잠재 클래스 로짓 모형을 사용해 추정된 네 가지 뚜렷한 선호를 보여준다.


As with Fig. 2b, Fig. 3a shows the relative importance between human health and biodiversity.

그림 2b와 마찬가지로, 그림 3a는 인간 건강과 생물다양성 간의 상대적 중요성을 보여준다.


Class A1 (A2) located in the upper left (lower right) area implies the placement of more (less) weight on biodiversity compared with human health.

좌상단(우하단)에 위치한 A1(A2) 집단은 인간 건강에 비해 생물다양성에 더 많은(적은) 비중을 두는 것을 의미한다.


Classes A3 and A4, located around the 45° line, indicate equal weight on both, with equal importance on all environmental goods for Class A3 and a larger weight on qualitative subjects (DALY and EINES) than on quantitative subjects (SA and NPP) for Class A4.

45° 선 주변에 위치한 A3와 A4 집단은 두 가지에 동일한 비중을 두는 것을 나타내며, A3는 모든 환경재에 동일한 중요성을 부여하고, A4는 정량적 항목(SA, NPP)보다 정성적 항목(DALY, EINES)에 더 큰 비중을 둔다.


Based on the above preference types and share of the samples, each class is conceptually labelled ‘biodiversity-oriented’ (A1), ‘human-health-oriented’ (A2), ‘balance-oriented’ (A3) and ‘else’ (A4).

이러한 선호 유형과 표본 내 비중을 바탕으로, 각 집단은 개념적으로 ‘생물다양성 지향’(A1), ‘인간 건강 지향’(A2), ‘균형 지향’(A3), ‘기타’(A4)로 명명되었다.


Figure 3b,c shows the results for countries with middle and high incomes, respectively.

그림 3b와 3c는 각각 중소득 국가와 고소득 국가의 결과를 보여준다.


For middle-income countries, four distinctive classes, M1–M4, are observed, with M4 (although a small share of the sample) providing remarkably high weighting to qualitative endpoints.

중소득 국가에서는 M1–M4의 네 가지 뚜렷한 집단이 관찰되었으며, M4 집단은 표본 비중은 작지만 정성적 엔드포인트에 매우 높은 비중을 두었다.


For high-income countries, there are three distinctive classes, H1–H3, with H3 placing higher importance on biodiversity, accounting for 60% of the sample.

고소득 국가에서는 H1–H3의 세 가지 뚜렷한 집단이 존재하며, H3 집단은 생물다양성에 더 큰 중요성을 두며 표본의 60%를 차지하였다.


Based on the same rationale, each class is labelled ‘balance-oriented’ (M1), ‘biodiversity-oriented’ (M2 and H3), ‘human-health-oriented’ (M3 and H2) and ‘else’ (M4 and H1).

같은 논리에 따라, 각 집단은 ‘균형 지향’(M1), ‘생물다양성 지향’(M2와 H3), ‘인간 건강 지향’(M3와 H2), ‘기타’(M4와 H1)로 명명되었다.




National social indicators

국가별 사회 지표


An important feature of the latent class approach is that the membership parameters show which type of people tend to belong to each group, with such distinct preferences as shown in Table 1.

잠재 클래스 접근법의 중요한 특징은, 표 1에 나타난 것처럼 집단 구성 매개변수가 사람들이 어떤 유형의 선호 집단에 속하는 경향이 있는지를 보여준다는 점이다.


People living in countries with longer (shorter) life expectancy, smaller (larger) income inequality, and lower (higher) urban population density tend to belong to Class A1 ‘biodiversity-oriented’ (Class A2, human-health-oriented).

기대수명이 길고(짧고), 소득 불평등이 작고(크고), 도시 인구 밀도가 낮은(높은) 국가에 사는 사람들은 A1 집단(생물다양성 지향)에(혹은 A2 집단, 인간 건강 지향에) 속할 가능성이 크다.


Although Class A4 (else) has similar characteristics to Class A2 (human-health-oriented), a large gross domestic product (GDP) per capita and a large proportion of forest area correlate with the tendency of belonging to this class.

A4 집단(기타)은 A2 집단(인간 건강 지향)과 유사한 특성을 보이지만, 높은 1인당 GDP와 넓은 산림 면적 비율은 이 집단에 속할 가능성과 상관관계를 가진다.


People living in countries with lower (although higher than A2 and A4) life expectancy, smaller income inequality, lower urban population density and smaller proportion of forest areas tend to belong to Class A3 (equal weight).

A3 집단(균형 지향)은 A2와 A4보다는 높지만 상대적으로 낮은 기대수명, 작은 소득 불평등, 낮은 도시 인구 밀도, 작은 산림 면적 비율을 가진 국가에 사는 사람들이 속하는 경향을 보인다.


Regarding Fig. 3b, for the nine middle-income countries, the share of the sample is similar for Class M2 (biodiversity-oriented) and Class M3 (human-health-oriented).

그림 3b와 관련해, 9개의 중소득 국가에서는 M2 집단(생물다양성 지향)과 M3 집단(인간 건강 지향)의 표본 비중이 비슷하다.


People living in countries with a lower (higher) urban population density and longer (shorter) life expectancy tend to belong to M2 (M3).

도시 인구 밀도가 낮고 기대수명이 긴 국가에 사는 사람들은 M2에, 도시 인구 밀도가 높고 기대수명이 짧은 국가에 사는 사람들은 M3에 속하는 경향이 있다.


People living in countries with a significantly higher Gini index (larger income inequality), such as Brazil and South Africa, tend to belong to Class M4 (else).

브라질, 남아프리카공화국과 같이 지니계수가 매우 높아 소득 불평등이 큰 국가에 사는 사람들은 M4 집단(기타)에 속하는 경향이 있다.


Class M1 (biodiversity-oriented) is quite different from M4 (else), as it does not focus on qualitative endpoints alone.

M1 집단(생물다양성 지향)은 정성적 엔드포인트만 강조하는 것이 아니므로, M4 집단(기타)와는 상당히 다르다.


Figure 3c shows 60% of the respondents belonging to Class H3 (biodiversity-oriented), for the ten high-income countries.

그림 3c는 10개의 고소득 국가에서 응답자의 60%가 H3 집단(생물다양성 지향)에 속함을 보여준다.


Longer life expectancy and lower urban population density are positively correlated with the probability of belonging to this class.

기대수명이 길고 도시 인구 밀도가 낮을수록 이 집단에 속할 확률은 높아진다.


However, people living in countries with larger income inequalities, such as the United States and Saudi Arabia, tend to belong to Class H2 (human-health-oriented), even though they are high-income countries.

그러나 미국과 사우디아라비아처럼 소득 불평등이 큰 고소득 국가에서는 H2 집단(인간 건강 지향)에 속하는 경향이 있다.


In addition, higher urban population density is positively correlated with the probability of belonging to Class H1 (else).

또한 도시 인구 밀도가 높을수록 H1 집단(기타)에 속할 확률과 양의 상관관계를 가진다.


These results show that people living in countries with a higher per capita income, better health/environmental conditions or less income inequality tend to place more importance on intangible benefits.

이러한 결과는 1인당 소득이 높고, 건강·환경 조건이 더 좋으며, 소득 불평등이 적은 국가에 사는 사람들이 무형적 편익을 더 중시하는 경향을 보임을 보여준다.


This indicates that in countries where health measures have advanced and are widely available to the general public, the marginal benefit of health measures declines and that of biodiversity conservation, which lags behind, increases in contrast.

이는 보건 조치가 발전하여 일반 대중에게 널리 보급된 국가에서는 보건 조치의 한계 편익이 감소하고, 상대적으로 뒤처진 생물다양성 보존의 한계 편익이 반대로 증가한다는 것을 의미한다.



tempImagewEcJmP.heic Table 1 | Characteristics of each preference group

Table 1 | Characteristics of each preference group

표 1 | 각 선호 집단의 특성


This table illustrates the group conceptual label, the share of the sample, lists of WF1 and the type of people that tend to belong to each group.

이 표는 집단의 개념적 명칭, 표본 내 비중, WF1 목록 및 각 집단에 속하는 경향이 있는 사람들의 유형을 보여준다.


Plus and minus symbols indicate significantly positive and negative correlations, while ++ and –– indicate stronger correlations.

플러스(+)와 마이너스(–) 기호는 각각 유의한 양의 상관과 음의 상관을, ++와 ––는 더 강한 상관을 나타낸다.


NS, no significant correlations are observed between the classifications and the respondents’ attributes.

NS는 분류와 응답자의 속성 간에 유의한 상관이 관찰되지 않았음을 의미한다.


Overall, longer life expectancy is correlated with the probability of belonging to the class that has a higher weight on biodiversity (A1, M1, M2, M4 and H3), and shorter life expectancy and larger domestic income inequality (Gini index) are correlated with the probability of belonging to the class with a higher weight on human health (A2, A4, M3, M4 and H2).
전반적으로, 기대수명이 길수록 생물다양성에 더 높은 비중을 두는 집단(A1, M1, M2, M4, H3)에 속할 가능성이 높고, 기대수명이 짧고 국내 소득 불평등(지니계수)이 클수록 인간 건강에 더 높은 비중을 두는 집단(A2, A4, M3, M4, H2)에 속할 가능성이 높다.


The household income class (relative income level within the region) is significantly correlated with a higher social weighting on biodiversity (M2) among the middle-income countries, despite having no significant impact on segmentation for the high-income countries.

중소득 국가의 경우, 가구 소득 계층(지역 내 상대 소득 수준)은 생물다양성에 더 높은 사회적 가중치를 두는 M2 집단과 유의하게 상관되어 있지만, 고소득 국가에서는 세분화에 유의한 영향을 미치지 않는다.


Gender inequality and SWB also have significant impacts on segmentation.

성 불평등과 주관적 행복(SWB) 역시 집단 분류에 유의한 영향을 미친다.


BDO, biodiversity-oriented; HHO, human-health-oriented; Bal, balance-oriented.

BDO: 생물다양성 지향, HHO: 인간 건강 지향, Bal: 균형 지향.




Individual social indicators

개인 사회 지표


Considering individual attributes, the higher household income class within a region is significantly related to the higher importance of biodiversity (M2) among the middle-income countries, despite having no significant impact on segmentation for the high-income countries.

개인 속성을 고려할 때, 중소득 국가에서는 지역 내 가구 소득 계층이 높을수록 생물다양성(M2)에 더 큰 중요성을 두는 것과 유의한 관련이 있으나, 고소득 국가에서는 집단 세분화에 유의한 영향을 미치지 않는다.


Interpreting this result in conjunction with the fact that the regional averages of the nine middle-income countries are located in the lower right (human-health-oriented) of Fig. 2b, we found that some respondents with a higher relative income within each survey site are more likely to belong to the biodiversity-oriented class, in contrast to the regional average.

이 결과를 그림 2b에서 9개 중소득 국가의 지역 평균이 우하단(인간 건강 지향)에 위치한다는 사실과 결합해 해석하면, 각 조사 지역에서 상대적 소득이 높은 일부 응답자들은 지역 평균과 달리 생물다양성 지향 집단에 속할 가능성이 높다는 것을 알 수 있다.


In addition, female respondents tend to belong to the human-health-oriented class (A2), and its correlation increases with higher levels of gender inequality within a region.

또한 여성 응답자들은 인간 건강 지향 집단(A2)에 속하는 경향이 있으며, 그 상관관계는 지역 내 성 불평등 수준이 높을수록 더 강해진다.


Therefore, based upon different dimensions from national indicators, relative poverty or gender inequality within a region are linked to insufficient health measures for some vulnerable people, and lead to their greater preferences for tangible benefits.

따라서 국가 지표와는 다른 차원에서, 지역 내 상대적 빈곤이나 성 불평등은 일부 취약 계층에게 불충분한 보건 조치와 연결되며, 이로 인해 그들은 더 구체적이고 유형적인 편익을 선호하게 된다.


An additional interesting finding associated with individual attributes is that the marginal utility of income change is remarkably large for the ‘else’ classes (A4, M4 and H1) of people with lower SWB (measured by ‘life satisfaction’ as an individual perceived quality of life, described in the Methods section), as shown in Supplementary Tables 5–7.

개인 속성과 관련된 추가적인 흥미로운 발견은, 보충표 5–7에 제시된 바와 같이 주관적 행복감(SWB: 방법론 섹션에서 설명된‘삶의 만족도’로 측정됨)이 낮은 사람들의 ‘기타’ 집단(A4, M4, H1)에서 소득 변화의 한계 효용이 현저히 크다는 것이다.


This large marginal utility of income change leads to lower external costs (that is, monetary social weighting described by willingness to pay) for the class, which is consistent with previous literature.

이러한 큰 소득 변화의 한계 효용은 해당 집단에서 더 낮은 외부 비용(즉, 지불 의사로 표현되는 화폐 단위 사회적 가중치)을 초래하며, 이는 기존 문헌과 일치한다.


Thus, people with lower SWB have larger marginal utility of income decreases, which means a greater aversion to monetary loss, leading to smaller external costs defined as the marginal rate of substitution between environmental goods and money.

따라서 SWB가 낮은 사람들은 소득 감소에 대해 더 큰 한계 효용을 가지며, 이는 금전적 손실에 대한 더 강한 회피를 의미하고, 결과적으로 환경재와 돈 사이의 한계 대체율로 정의되는 외부 비용이 더 작아진다.


This trend is more pronounced for middle-income countries, wherein the magnitude of their WTP may be strongly linked to the individual subjective living conditions.

이러한 경향은 중소득 국가에서 더 두드러지며, 이 경우 지불 의사의 규모는 개인의 주관적 생활 여건과 강하게 연관될 수 있다.


Despite potential biases from the ‘subjective’ index measured by the self-report rating scales and endogeneity concerns, SWB possesses useful information related to quality of life at an individual level, in contrast to GDP as a national index.

자기 보고식 척도로 측정된 ‘주관적’ 지표에서 비롯된 잠재적 편향이나 내생성 문제에도 불구하고, SWB는 국가 지표로서의GDP와 달리 개인 수준에서 삶의 질과 관련된 유용한 정보를 제공한다.


While the existence of universal relationships between SWB and sociodemographic characteristics is uncertain, recent empirical studies have shown a similar general structure globally across different levels of economic development and cultural values, at least for several important factors, including income, employment, physical health, family status and age.

SWB와 사회인구학적 특성 간의 보편적 관계 존재 여부는 불확실하지만, 최근의 실증 연구들은 소득, 고용, 신체 건강, 가족 상태, 연령 등 몇 가지 중요한 요인에 대해서는 경제 발전 수준과 문화적 가치가 다른 국가들에서도 유사한 일반 구조를 보여주었다.


The correlation between such characteristics and SWB within our sample is generally consistent with previous evidence after controlling for the country dummy considering the national baseline (reflecting cultural values), as shown in Supplementary Table 8.

보충표 8에 제시된 바와 같이, 국가별 기준치(문화적 가치를 반영)를 고려한 국가 더미 변수를 통제한 후에도 이러한 특성과SWB 간의 상관관계는 전반적으로 기존 증거와 일치한다.


These facts indicate that perceived quality of life can be an essential clue to predicting heterogeneity in WTP (that is, external costs).

이러한 사실은 지각된 삶의 질이 지불 의사의 이질성(즉, 외부 비용)을 예측하는 데 핵심 단서가 될 수 있음을 보여준다.


Thus, future research on the relationship between SWB and respondents’ socioeconomic attributes related to public policies can be useful to predict heterogeneous WTP for various national income levels and cultures.

따라서 SWB와 공공 정책과 관련된 응답자의 사회경제적 속성 간의 관계에 대한 향후 연구는 다양한 국가 소득 수준과 문화에서 이질적인 지불 의사를 예측하는 데 유용할 수 있다.




Discussion

논의


Uniformly designed questionnaires using realistic and consistent scenarios developed through LCIA have enabled us to directly compare the same set of environmental benefits among people living in different social and economic conditions.

LCIA를 통해 개발된 현실적이고 일관된 시나리오를 사용한 통일된 설문지는 서로 다른 사회·경제적 조건에서 살아가는 사람들 간에 동일한 환경적 편익 집합을 직접 비교할 수 있게 해주었다.


A few social indicators such as life expectancy, income and gender equality, as well as individual conditions such as relative income and subjective well-being, determine people’s perception of environmental benefits.

기대수명, 소득, 성평등과 같은 몇 가지 사회 지표와, 상대적 소득, 주관적 행복감과 같은 개인적 조건이 사람들의 환경적 편익에 대한 인식을 결정한다.


We found that people’s perceptions of intangible environmental benefits (biodiversity conservation) are closely related to their tangible resource endowments (health).

우리는 사람들이 무형적 환경 편익(생물다양성 보존)에 대한 인식이 유형적 자원(건강)과 밀접하게 연관되어 있음을 발견하였다.


This indicates that addressing health conditions leads to larger perceived benefits from intangible environmental goods and enhances public consensus on global environmental issues.

이는 건강 문제를 해결하는 것이 무형적 환경재에서 더 큰 편익 인식으로 이어지고, 글로벌 환경 문제에 대한 공공 합의를 증진시킨다는 것을 의미한다.


Furthermore, addressing inequality and well-being will encourage public support domestically as well as internationally.

더 나아가 불평등과 웰빙 문제를 해결하는 것은 국내뿐만 아니라 국제적으로도 공공 지지를 이끌어낼 것이다.


Future research investigating whether such global consensus-building can be promoted through health policy would be of further interest to policymakers.

향후 이러한 글로벌 합의 형성이 보건 정책을 통해 촉진될 수 있는지를 조사하는 연구는 정책결정자들에게 더욱 큰 관심사가 될 것이다.


Considering the possibility that people who are dependent on environmental goods, or have strong cultural, social and economic ties to the environment, typically live in rural areas, the gap between urban and rural areas should be further investigated.

환경재에 의존하거나 환경과 강한 문화적·사회적·경제적 연계를 가진 사람들이 주로 농촌 지역에 거주한다는 가능성을 고려할 때, 도시와 농촌 간의 격차는 추가적으로 조사될 필요가 있다.


Such gaps in marginal interest according to income, gender and/or cultural differences should be taken into account for sustainable public policymaking.

소득, 성별 및/또는 문화적 차이에 따른 한계적 관심의 격차는 지속가능한 공공 정책 수립 시 반드시 고려되어야 한다.


Moreover, correlation between the evaluated benefits and SWB may provide a clue to uncovering further determinants.

또한 평가된 편익과 주관적 행복감(SWB) 간의 상관관계는 추가적인 결정 요인을 밝혀내는 단서가 될 수 있다.


In the choice experiment method applied, the assumption of the independence of endpoints (that is, human health, economic assets, biodiversity and primary production) allowed for the evaluation of the marginal benefit of each endpoint separately.

적용된 선택 실험 방법에서는 엔드포인트(인간 건강, 경제적 자산, 생물다양성, 1차 생산력)의 독립성을 전제로 하여 각 엔드포인트의 한계적 편익을 개별적으로 평가할 수 있었다.


To avoid cognitive overload, the order of the attributes was held constant (in both the explanation and choice experiment) for all respondents.

인지적 과부하를 방지하기 위해, 모든 응답자에게 설명과 선택 실험 모두에서 속성의 순서는 동일하게 유지되었다.


Such stated preference methods possibly give rise to hypothetical biases and ordering effects, despite providing realistic scenarios based on LCIA in the questionnaire.

이러한 진술형 선호 방법은 설문지에서 LCIA 기반의 현실적인 시나리오를 제공했음에도 불구하고, 가상적 편향(hypothetical bias)과 순서 효과(ordering effect)를 야기할 가능성이 있다.


Therefore, future work exploring differences using different evaluation approaches could add credibility to our findings.

따라서 다른 평가 접근법을 사용하여 차이를 탐구하는 향후 연구는 우리의 연구 결과에 신뢰성을 더할 수 있을 것이다.




Methods

방법론


Ethics statement. All study participants provided informed consent, and the survey protocol was approved by the Ethics Committee for Economic Experiments at Kyoto University (permission number: B1-202202).

윤리 성명. 모든 연구 참여자들은 사전에 자발적 동의를 제공하였으며, 설문 절차는 교토대학교 경제실험 윤리위원회의 승인을 받았다(승인 번호: B1-202202).





Damage to human health.

인간 건강 피해.


The concept of DALY was developed by the World Bank and World Health Organization (WHO) to quantify the global health loss due to deaths and illnesses.

인간 건강 피해. DALY(Disability-Adjusted Life Year, 장애보정 생존연수)의 개념은 사망과 질병으로 인한 전 세계적인 건강 손실을 정량화하기 위해 세계은행과 세계보건기구(WHO)에 의해 개발되었다.


It is widely used as a summary measure of the global burden of disease in the WHO’s annual reports.

이는 WHO의 연례 보고서에서 전 세계 질병 부담을 요약하는 척도로 널리 사용되고 있다.



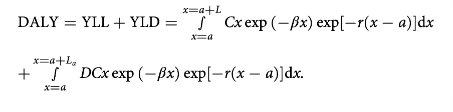
DALY is thus defined as the global loss of life expectancy, as follows:

따라서 DALY는 다음과 같이 전 세계 기대수명 손실로 정의된다:


tempImagejozKSz.heic


DALY has two components: years of life lost (YLL), which measures the burden of premature death, and years lived with a disability (YLD), which measures the burden of living with a disease or disability in years.

DALY는 두 가지 요소로 구성된다. 조기 사망 부담을 측정하는 손실수명연수(YLL), 그리고 질병이나 장애로 살아가는 부담을 측정하는 장애가중생존연수(YLD)이다.


a is the onset age of disability or age of death, L is the difference between expected life in years and age of death, La is the duration of a disease or disability and C and β are constant values of 0.1658 and 0.04, respectively.

여기서 a는 장애 발생 연령 또는 사망 연령, L은 기대수명과 사망 연령 간의 차이, La는 질병 또는 장애의 지속 기간이며, C와 β는 각각 0.1658과 0.04로 설정된 상수이다.


By definition, YLL and YLD both comprise time-integrated values for three types of weighting: (1) D represents weight of disability, (2) Cx exp(–βx) is weight of age and (3) exp[–r(x–a)] expresses time discount rate.

정의상 YLL과 YLD는 모두 세 가지 가중치의 시간적 적분값으로 구성된다: (1) D는 장애 가중치, (2) *Cx exp(–βx)*는 연령 가중치, (3) *exp[–r(x–a)]*는 시간 할인율을 나타낸다.


We only considered the weight of disability in our assessment of environmental damage (or loss of human health).

본 연구의 환경 피해(즉, 인간 건강 손실) 평가에서는 장애 가중치만 고려하였다.


However, in the social survey to estimate their marginal utilities, each respondent evaluated the global burden; hence, their evaluation should reflect their age and perceived time discount.

그러나 한계 효용을 추정하기 위한 사회조사에서는 각 응답자가 전 세계적 부담을 평가했으므로, 그들의 평가는 본인의 연령과 인식된 시간 할인율을 반영했을 것이다.




Damage to biodiversity.

생물다양성 피해.


As a measure of loss of biodiversity, EINES is defined as follows:

생물다양성 손실의 측정치로서, EINES는 다음과 같이 정의된다:


tempImagebuj3Uc.heic


where ΔRk denotes the change in the extinction risk of species k due to environmental burdens such as climate change and land use, and Tb,k and Ta,k are the expected time to extinction (life expectancy) of k before and after the environmental load occurs, according to the International Union for Conservation of Nature Red List.

여기서 ΔRk는 기후 변화나 토지 이용 등 환경적 부담으로 인해 종 k의 멸종 위험이 변하는 값을 나타내며, Tb,k와 Ta,k는 국제자연보전연맹(IUCN) 적색목록 기준으로 환경 부담 발생 전후의 종 k의 멸종까지의 예상 시간(수명 기대치)이다.


EINES is defined as the accumulation of expected changes in life expectancy of species k due to the environmental load.

EINES는 환경적 부담으로 인해 종 k의 기대 수명에서 예상되는 변화량의 누적으로 정의된다.


According to Lande, the factors influencing species’ life expectancy (Tb,k and Ta,k) include (1) the intrinsic rate of a natural increase (demographic stochasticity), (2) carrying capacity (environmental stochasticity) and (3) sensitivity to random catastrophes.

Lande(1993)에 따르면, 종의 기대 수명(Tb,k, Ta,k)에 영향을 미치는 요인은 (1) 자연적 증가율(인구통계학적 확률성), (2) 수용력(환경적 확률성), (3) 무작위 재해에 대한 민감성이다.


Considering the various impact categories, including climate change and physical transformation of land due to events such as resource extinction and deforestation in the LIME model, we assessed the amount of damage through land use by calculating the damage factors associated with a decrease in the plant population as carrying capacity.

LIME 모형에서 자원 고갈과 산림 파괴 등으로 인한 기후 변화 및 토지 물리적 변형을 포함한 다양한 영향 범주를 고려하여, 우리는 식물 개체군 감소를 수용력으로 보고 이에 따른 피해 계수를 산출함으로써 토지 이용에 의한 피해 규모를 평가하였다.


For damage due to climate change, we assessed the change in time to extinction caused by the change in the distribution of species k as they adapt to temperature changes as sensitivity to random catastrophes.

기후 변화로 인한 피해의 경우, 우리는 종 k가 기온 변화에 적응하면서 분포 범위가 변화할 때 발생하는 멸종 시점의 변화를 무작위 재해 민감성으로 보고 이를 평가하였다.




Damage to social assets.

사회적 자산 피해.


We assessed the damage to social assets from the consumption of fossil fuels and mineral resources as quantitative damages to society, in addition to qualitative damage (human health).

우리는 화석연료와 광물 자원의 소비로 인한 사회적 자산 피해를 인간 건강과 같은 질적 피해에 더해, 사회에 대한 정량적 피해로 평가하였다.


The user cost approach, which exhaustively evaluates non-biological resources, was adopted.

비생물학적 자원을 포괄적으로 평가하는 사용자 비용 접근법(user cost approach)을 채택하였다.


In this study, the amount of damage is expressed in US$ applying a 5% discount rate.

본 연구에서는 피해 규모를 5% 할인율을 적용하여 미 달러(US$)로 산출하였다.


User cost is broadly used as a measure of loss of income production capacity due to the depletion of natural resources (that is, in green GDP).

사용자 비용은 천연자원 고갈로 인한 소득 생산 능력 손실을 측정하는 지표로 널리 사용되며, 이는 녹색 GDP(green GDP)에서 적용된다.


It is defined as the amount of savings required to ensure that the product sales incomes from resource extraction in current and future generations are balanced, based on the idea of weak sustainability (compare with replaceable assumption).

이는 약한 지속가능성(weak sustainability, 대체 가능성 가정과 비교됨)의 개념에 따라, 현재와 미래 세대의 자원 채굴에 따른 제품 판매 수입이 균형을 이루도록 보장하기 위해 필요한 저축액으로 정의된다.


While economic loss (that is, the decrease in income from agriculture, forestry and fisheries) due to climate change can be considered in the LIME framework, these damages were excluded from the scope of this study at the time of our cross-national social survey because of insufficient environmental science knowledge.

기후 변화로 인한 경제적 손실(즉, 농림수산업 소득의 감소)은 LIME 프레임워크에서 고려될 수 있지만, 당시 환경 과학적 지식이 충분치 않아 국가 간 사회조사에서는 이러한 피해를 연구 범위에서 제외하였다.


For example, large regional differences were expected between a region with revenue gain and one with revenue loss.

예를 들어, 수익이 증가한 지역과 감소한 지역 간에는 큰 지역적 차이가 예상되었다.


Such distributions contain important information that can be used to express the conditions of these regions, but it is generally lost during the process of aggregating information on the global scale.

이러한 분포는 지역의 조건을 나타내는 데 활용될 수 있는 중요한 정보를 포함하고 있지만, 전 세계적 차원에서 정보를 집계하는 과정에서 일반적으로 손실된다.


This may lead to an underestimation of the amount of damage.

이는 피해 규모를 과소평가하게 만들 수 있다.


Damage to primary production. NPP is considered a measure of the quantitative impact on the essential foundation of energy flow in the ecosystem, in addition to the qualitative impact (that is, biodiversity).

1차 생산력 피해. NPP(순 1차 생산량)는 생태계 에너지 흐름의 근본적 토대를 정량적으로 측정하는 지표로 간주되며, 정성적 영향(즉, 생물다양성)과 함께 고려된다.


NPP is defined as the production remaining after deducting cellular respiration from the gross primary production.

NPP는 총 1차 생산량에서 세포 호흡량을 차감한 후 남는 생산량으로 정의된다.


NPP acts in part as the origin of a biosphere cycle, wherein herbivores consume plants as an energy source or autotrophs assimilate and fixate inorganic carbon and other inorganic nutrients into organic matter.

NPP는 부분적으로 생물권 순환의 기원 역할을 하며, 초식동물이 식물을 에너지원으로 소비하거나, 자가영양생물이 무기 탄소 및 기타 무기 영양분을 동화·고정하여 유기물로 전환하는 과정에 해당한다.


NPP is expressed in mass per unit area per unit time interval (that is, production rate) and typically as dry matter production per unit area per year (for example, tonnes per hectare per year).

NPP는 단위 면적·단위 시간당 질량(즉, 생산률)으로 표시되며, 일반적으로 단위 면적당 연간 건물 생산량(예: ha당 연간 톤)으로 표현된다.


Based on a simulation of the global vegetation distribution and temperature trend, we assessed the loss of plant growth per year (standardized with carbon) due to climate change or land transformation.

전 세계 식생 분포와 기온 추세에 대한 시뮬레이션을 기반으로, 우리는 기후 변화나 토지 변형으로 인해 연간 발생하는 식물 성장 손실을 탄소 기준으로 표준화하여 평가하였다.


The expected loss varied from zero for deserts or tundra to approximately 30 t ha–1 yr–1 for tropical rainforests.

예상 손실은 사막이나 툰드라에서는 0에 가까웠으며, 열대 우림에서는 약 30톤/헥타르/연 수준에 달하였다.





The current level of damage for each endpoint.

각 엔드포인트의 현재 피해 수준.


The current amount of environmental damage for each endpoint s is calculated by multiplying the annual environmental loads (AEL) by the damage factor (DF) for each country c, impact category i and substance x, as follows:

각 엔드포인트 s의 현재 환경 피해 규모는, 국가 c, 영향 범주 i, 물질 x에 대해 연간 환경 부하(AEL)에 피해 계수(DF)를 곱하여 다음과 같이 계산된다:


tempImagesjKjMH.heic


In this study, we obtained 79 million DALY (human health), US$450 billion of valuable resources (social assets), 100 EINES (biodiversity) and 18 billion tons of NPP (primary production) as the current annual damage on a global scale based on 191 countries of occurrence.

본 연구에서는 191개국 데이터를 바탕으로, 현재 전 세계적 연간 피해 규모를 인간 건강 7,900만 DALY, 사회적 자산 4,500억 달러, 생물다양성 100 EINES, 1차 생산력 180억 톤 NPP로 산출하였다.





Sample.

표본.


The 19 selected G20 countries account for more than 70% of the total global GDP and exert substantial influence on the global supply chain.

선정된 19개 G20 국가는 전 세계 GDP의 70% 이상을 차지하며, 글로벌 공급망에 상당한 영향을 미친다.

We excluded the European Union because of budget constraints and to ensure survey efficiency.

우리는 예산 제약과 조사 효율성 확보를 위해 유럽연합을 제외하였다.


We applied the most appropriate method for each survey site after consulting with a local research company.

각 조사 지역에서는 현지 조사 기관과 협의 후 가장 적절한 방식을 적용하였다.


Supplementary Table 1 shows the national statistics, including the GNI per capita, income, region category as defined by the World Bank database, life expectancy, forest area, Gini index, gender gap score, population and GDP (economic scale).

보충표 1에는 1인당 국민총소득(GNI), 소득, 세계은행 데이터베이스에서 정의한 지역 분류, 기대수명, 산림 면적, 지니계수, 성 격차 점수, 인구, GDP(경제 규모) 등 국가 통계가 제시되어 있다.


Supplementary Table 2 shows survey information and regional statistics of the survey site.

보충표 2에는 조사 정보와 조사 지역의 지역별 통계가 제시되어 있다.


We adopted face-to-face interviews for emerging countries, whereby trained interviewers visited each household and explained the questionnaire to respondents in detail to minimize survey bias.

신흥국에서는 훈련된 조사원이 각 가구를 직접 방문하여 설문지를 상세히 설명하는 대면 조사를 채택하여 조사 편향을 최소화하였다.


Internet surveys were used for developed countries with higher internet diffusion rates.

인터넷 보급률이 높은 선진국에서는 온라인 설문조사를 활용하였다.


For developed countries, we conducted pre-tests to compare the results between web and face-to-face interviews to ensure the credibility of the web survey.

선진국에서는 온라인 설문조사의 신뢰성을 확보하기 위해, 사전 테스트를 실시하여 웹 설문과 대면 조사 결과를 비교하였다.


In recent years, internet-based choice experiment surveys have become commonplace, particularly as they provide the advantage of receiving valid replies.

최근 몇 년간 인터넷 기반 선택 실험 조사는 특히 유효한 응답을 확보할 수 있다는 장점 때문에 보편화되었다.


Further details of the survey are provided in previous publications.

조사의 더 자세한 내용은 기존 연구에 제시되어 있다.


Supplementary Table 3 presents the descriptive statistics of the respondents with regard income and education.

보충표 3에는 응답자의 소득과 교육 수준에 관한 기술 통계가 제시되어 있다.


Because the survey required literacy and targeted urban populations, both income and education levels tended to be higher than the national average, especially in emerging economies.

이번 조사는 문해력이 요구되고 도시 인구를 대상으로 하였기 때문에, 응답자의 소득과 교육 수준은 특히 신흥국에서 국가 평균보다 높은 경향을 보였다.




Choice experiment.

선택 실험.


We designed a hypothetical choice situation based on the current environmental damage on a global scale towards the four endpoints to estimate the respondents’ marginal utility for these damages as described above.

우리는 앞서 설명한 대로 응답자들의 한계 효용을 추정하기 위해, 전 세계적 수준의 현재 환경 피해를 네 가지 엔드포인트에 적용한 가상의 선택 상황을 설계하였다.


The questionnaire was translated into local languages.

설문지는 현지 언어로 번역되었다.


The units of tax and social assets were converted into the local currency by using the PPP exchange rate.

세금과 사회적 자산 단위는 구매력 평가(PPP) 환율을 사용하여 현지 통화로 환산되었다.


We adopted environmental tax as the payment vehicle to avoid the ‘warm glow’ effect.

‘웜 글로우(warm glow)’ 효과를 피하기 위해 환경세를 지불 수단으로 채택하였다.


The following explanations were provided: “The collected money will be used to reduce the four losses” to reduce resistance to tax, and “Please note that you will have less income to spend on other necessities due to the additional expense” to remind of the need for substitutes and budget constraints.

다음과 같은 설명이 제공되었다: “징수된 세금은 네 가지 손실을 줄이는 데 사용됩니다”라는 문구로 세금에 대한 저항을 줄이고, “추가 지출로 인해 다른 필수품에 쓸 수 있는 소득이 줄어든다는 점을 유의하세요”라는 문구로 대체재 필요성과 예산 제약을 상기시켰다.


To ensure comprehension, five questions were included to check for respondents’ accurate understanding of the level of each endpoint and income in a choice experiment situation.

이해를 보장하기 위해, 선택 실험 상황에서 각 엔드포인트와 소득 수준에 대한 응답자의 정확한 이해도를 확인하는 다섯 가지 질문이 포함되었다.


Although the first response scores (0–5) were slightly higher in the face-to-face interviews (4.83 in face-to-face, 4.13 in web), respondents received feedback and had to answer all questions correctly before proceeding to the choice experiments.

초기 응답 점수(0–5)는 대면 조사에서 다소 높게 나타났지만(대면 4.83, 웹 4.13), 응답자들은 피드백을 받은 후 모든 질문에 정답을 해야만 선택 실험으로 진행할 수 있었다.


A detailed explanation of the questionnaire is provided by Murakami et al.

설문지에 대한 상세한 설명은 Murakami 외 연구에 제시되어 있다.





Random parameter logit model for regional average preference.

지역 평균 선호를 위한 랜덤 매개변수 로짓 모형.


The choice experiment data were analysed statistically by country using a random parameter logit model.

선택 실험 데이터는 국가별로 랜덤 매개변수 로짓 모형을 사용하여 통계적으로 분석되었다.


We estimated the marginal utilities by applying the following function:

다음 함수를 적용하여 한계 효용을 추정하였다:


tempImage0UDIMh.heic


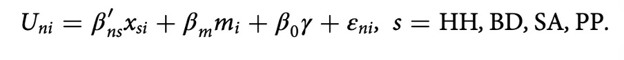
This describes the utility U of respondent n obtained from choosing alternative i.

이는 응답자 n이 대안 i를 선택했을 때 얻는 효용 U를 나타낸다.


xsi is an attribute vector for the loss of each endpoint s (HH, BD, SA and PP) with alternative i.

xsi는 대안 i에서 각 엔드포인트 s(HH: 인간 건강, BD: 생물다양성, SA: 사회적 자산, PP: 1차 생산력)의 손실을 나타내는 속성 벡터이다.


mi is a monetary attribute, indicating an income decrease due to an additional tax.

mi는 추가 세금으로 인한 소득 감소를 나타내는 화폐 속성이다.


γ = 1 if alternative i is the status quo (with Policy 3 as the current situation).

γ는 대안 i가 현상 유지(정책 3을 현재 상황으로 가정)일 경우 1로 설정된다.


εni is a random term that includes all effects due to unobservable information on alternative i and respondent n.

εni는 대안 i와 응답자 n의 관찰 불가능한 정보로 인한 모든 효과를 포함하는 확률 항(term)이다.


Using the maximum simulated likelihood method, we estimated the marginal utilities of environmental damage, income decrease and current status as β′ns, βm and β0, respectively.

최대 시뮬레이션 우도법을 사용하여 환경 피해, 소득 감소, 현상 유지의 한계 효용을 각각 β′ns, βm, β0로 추정하였다.


We interpreted the marginal rate of substitution between them as indicating their quantitative trade-off relationship as marginal utility is the degree of marginal importance of goods and services.

우리는 이들 간의 한계 대체율을 재화와 서비스의 한계적 중요도를 나타내는 한계 효용으로 해석하여, 이들의 정량적 상충(trade-off) 관계를 파악하였다.


Thus, –βs/βm is the marginal WTP for mitigating each environmental damage.

따라서 –βs/βm은 각 환경 피해를 완화하기 위한 한계 지불 의사액(WTP)을 의미한다.

For example, respondent n is willing to pay –βnHH/βm for mitigating human health (DALY).

예를 들어, 응답자 n은 인간 건강(DALY) 피해를 완화하기 위해 –βnHH/βm만큼 지불할 의사가 있다.


Similarly, βnHH/βnBD directly indicates the relative weight that respondent n perceives, so that each national average is interpreted as a national weighting factor of each endpoint, thereby indicating the social acceptance for a mitigation level.

마찬가지로, βnHH/βnBD는 응답자 n이 인식하는 상대적 비중을 직접적으로 나타내며, 각국의 평균은 엔드포인트별 국가 가중치 계수로 해석되어, 완화 수준에 대한 사회적 수용성을 의미한다.




Latent class approach for classification.

분류를 위한 잠재 클래스 접근법.


Using the latent class logit model, we estimated the conditional utility function for each class, while assuming that the respondents included several distinct preference groups with different marginal utilities.

잠재 클래스 로짓 모형(latent class logit model)을 사용하여, 응답자들이 서로 다른 한계 효용을 가진 몇 개의 뚜렷한 선호 집단에 속한다고 가정한 후, 각 집단에 대한 조건부 효용 함수를 추정하였다.


Simultaneously, we estimated the probability of respondent n belonging to Class (variable) M.

동시에 응답자 n이 집단(변수) M에 속할 확률도 추정하였다.


Thus, we used maximum likelihood procedures to estimate the coefficients for each class and then calculated the probability that an observation is located within each class, based on the observed choices of the respondents.

따라서 우리는 최대우도법을 사용하여 각 집단의 계수를 추정한 뒤, 응답자들의 관찰된 선택에 기반해 특정 관측값이 각 집단에 속할 확률을 계산하였다.


We defined the probability Pn of respondent n choosing option yn as follows:

응답자 n이 선택지 yn을 선택할 확률 Pn은 다음과 같이 정의된다:


tempImagePWs9G1.heic


where θ is the vector of the parameters, λ is the vector of membership parameters, z is the vector of the observed characteristics of respondents, Kn(yn|βM) is the conditional probability of respondent n belonging to Class M and choosing option yn, and βM is the vector of marginal utilities.

여기서 θ는 매개변수 벡터, λ는 집단 소속 매개변수 벡터, z는 응답자의 관측 특성 벡터, *Kn(yn|βM)*은 응답자 n이 집단 M에 속하면서 선택지 yn을 선택할 조건부 확률, βM은 한계 효용 벡터를 의미한다.


The latent class approach allowed us to explore the following.

잠재 클래스 접근법은 다음과 같은 탐구를 가능하게 했다.


First, distinct utility functions (as a vector of marginal utilities) were estimated for each class, so that several classes with different vectors of marginal utilities were identified.

첫째, 각 집단에 대해 뚜렷한 효용 함수(한계 효용 벡터)가 추정되었으며, 이를 통해 서로 다른 한계 효용 벡터를 가진 여러 집단이 식별되었다.


Second, membership functions consisting of individual characteristics were estimated simultaneously, so we could explore regional and individual factors influencing heterogeneity.

둘째, 개인 특성으로 구성된 소속 함수가 동시에 추정되어, 이질성에 영향을 미치는 지역적·개인적 요인을 탐구할 수 있었다.


We applied the expectation–maximization (EM) algorithm to solve the difficulty of estimation due to many parameters being estimated.

우리는 다수의 매개변수를 추정해야 하는 어려움을 해결하기 위해 기대–최대화(EM) 알고리즘을 적용하였다.


Four classes for all and middle-income regions, and three classes for high-income regions were adopted in this study.

본 연구에서는 전체 표본 및 중소득 국가에 대해 4개 집단을, 고소득 국가에 대해서는 3개 집단을 채택하였다.


This is because fewer classes lead to a larger AIC (Akaike’s Information Criterion) or BIC (Bayesian Information Criterion), while more classes cause many of the marginal utility parameters or membership parameters to become non-significant, or cause one or more specific class shares to take values close to 0%, making the results uninterpretable.

이는 집단 수가 너무 적으면 AIC(아카이케 정보 기준)나 BIC(베이지안 정보 기준)가 커지고, 집단 수가 너무 많으면 다수의 한계 효용 매개변수나 소속 매개변수가 통계적으로 유의하지 않게 되거나, 특정 집단의 비율이 0%에 가까워져 결과를 해석할 수 없게 되기 때문이다.




The equations of weighting factors.

가중치 방정식.


We adopted two measures of social weighting: WF1 and WF2.

우리는 사회적 가중치의 두 가지 척도, WF1과 WF2를 채택하였다.


We define WF1 as the ratio of marginal utility of each endpoint’s annual damage to the total (sum of) marginal utilities of all subjects.

WF1은 각 엔드포인트의 연간 피해에 대한 한계 효용을 모든 대상의 한계 효용 총합에 대한 비율로 정의된다.


The WF1 of each country c for subject s is derived from the following equation:

각 국가 c에서 대상 s에 대한 WF1은 다음 방정식으로 도출된다:


tempImage7TMFTI.heic


WF2 is defined as the marginal rate of substitution between each subject and income m, and is derived from the following equation:

WF2는 각 대상과 소득 m 간의 한계 대체율로 정의되며, 다음 방정식으로 도출된다:


tempImageMVUICW.heic


where F denotes the global number of households.

여기서 F는 전 세계 가구 수를 나타낸다.


For the microeconomic theory of willingness to pay, see Freeman et al.

지불 의사(WTP)의 미시경제학적 이론은 Freeman 외 연구를 참조하라.




Determinants.

결정 요인.


In the latent class approach, we considered GDP per capita, life expectancy and forest area as proxy variables for economic scale and endowment of health and ecosystem, respectively.

잠재 클래스 접근법에서, 우리는 1인당 GDP, 기대수명, 산림 면적을 각각 경제 규모, 건강 및 생태계 자원의 대리 변수로 고려하였다.


The population density of the largest city was included to control urban-area living conditions.

도시 생활 조건을 통제하기 위해 최대 도시의 인구 밀도를 포함하였다.


To consider the inequality of resource distribution, we added the Gini index, regional income class and gender gap influencing females’ decision making.

자원 분배의 불평등을 고려하기 위해, 우리는 지니계수, 지역 소득 계층, 여성의 의사결정에 영향을 미치는 성 격차 지수를 추가하였다.


In addition, SWB was included to capture other unobservable aspects of society’s real conditions.

또한 SWB(주관적 웰빙)를 포함하여 사회의 실제 조건에서 관찰 불가능한 다른 측면을 포착하였다.


SRH was omitted from the explanatory variables because it is strongly correlated with SWB (Supplementary Table S8).

SRH(자가평가 건강상태)는 SWB와 강한 상관관계를 가지므로 설명 변수에서 제외하였다(보충표 S8 참조).


Household size and age were control variables.

가구 규모와 연령은 통제 변수로 사용되었다.




Subjective well-being.

주관적 웰빙.


SWB is defined as the appraisal and evaluation of one’s own life reflecting cognitive judgements.

SWB는 인지적 판단을 반영한 자신의 삶에 대한 평가와 판단으로 정의된다.


Many governments and international organizations incorporate SWB into official statistics to capture aspects of society’s real conditions that are missed in the GDP and use it for policy decision-making.

많은 정부와 국제기구는 GDP에서 포착되지 않는 사회의 실제 조건을 반영하기 위해 SWB를 공식 통계에 포함시키며, 정책 의사결정에 활용하고 있다.


Many empirical studies have supported the validity and comparability of SWB because of its association with blood flow to the brain, experience with immunological and hormonal measures, mortality and short-term stability.

수많은 실증 연구는 SWB가 뇌 혈류, 면역학적·호르몬적 지표 경험, 사망률, 단기 안정성과 관련이 있기 때문에 그 타당성과 비교 가능성을 뒷받침하고 있다.


While there is a large variety of factors influencing SWB, from genetic to societal, the literature indicates that genetic factors influence 30–40% of SWB.

SWB에 영향을 미치는 요인은 유전적 요인에서 사회적 요인까지 매우 다양하지만, 기존 문헌에 따르면 유전적 요인이 SWB의30–40%를 차지한다.


This means that the remaining 60–70% can be influenced by social situations associated with policymaking.

이는 나머지 60–70%가 정책결정과 관련된 사회적 상황에 의해 영향을 받을 수 있음을 의미한다.




Life satisfaction.

삶의 만족도.


Respondents were asked to respond subjectively to the question “All things considered, how satisfied are you with your life as a whole these days?”

응답자들은 “모든 것을 고려했을 때, 현재 전반적으로 당신의 삶에 얼마나 만족하십니까?”라는 질문에 주관적으로 답하도록 요청받았다.


They answered by choosing a number from 0 to 10, with 10 being ‘very satisfied’, 5 being ‘neither satisfied nor dissatisfied’ and 0 being ‘very dissatisfied’.

응답은 0에서 10까지의 숫자 중 하나를 선택하는 방식으로, 10은 ‘매우 만족’, 5는 ‘보통(만족도/불만족도 없음)’, 0은 ‘매우 불만족’을 의미한다.


The Organisation for Economic Co-operation and Development recommends the use of life satisfaction, with the UK Health & Wellbeing Report and EU Statistics on Income and Living Conditions adopting it as a major social index.

경제협력개발기구(OECD)는 삶의 만족도를 사용할 것을 권고하며, 영국의 보건·웰빙 보고서와 EU 소득 및 생활조건 통계도 이를 주요 사회 지표로 채택하고 있다.


Happiness. Respondents were asked to respond subjectively to the question “Generally speaking, how happy are you with your life?”

행복감. 응답자들은 “전반적으로 말해서, 당신의 삶에 얼마나 행복합니까?”라는 질문에 주관적으로 답하도록 요청받았다.


They answered by choosing a number from 0 to 10, with 10 being ‘very happy’, 5 being ‘neither happy nor unhappy’ and 0 being ‘very unhappy’.

응답은 0에서 10까지의 숫자 중 하나를 선택하는 방식으로, 10은 ‘매우 행복’, 5는 ‘보통(행복/불행 아님)’, 0은 ‘매우 불행’을 의미한다.


Because happiness is a more emotional measure than life satisfaction, it was important to identify both these SWB measures.

행복감은 삶의 만족도보다 더 감정적인 측정치이므로, SWB를 측정할 때 이 두 가지를 모두 확인하는 것이 중요했다.


Specifically, ‘happiness’ may have a different definition in each country, depending on their cultural values and norms.

특히 ‘행복’은 각국의 문화적 가치와 규범에 따라 다른 정의를 가질 수 있다.




Self-rated health.

자가평가 건강(SRH).


Respondents were asked to respond subjectively to the question “How would you describe the current state of your health?”

응답자들은 “현재 귀하의 건강 상태를 어떻게 묘사하시겠습니까?”라는 질문에 주관적으로 답하도록 요청받았다.


They answered by choosing a number from 0 to 10, with 10 being ‘very healthy’, 5 being ‘neither healthy nor unhealthy’ and 0 being ‘very unhealthy’.

응답은 0~10의 숫자 중 하나를 선택하는 방식으로, 10은 ‘매우 건강하다’, 5는 ‘보통(건강하지도 불건강하지도 않음)’, 0은‘매우 불건강하다’를 의미한다.


SRH is closely related to SWB. For example, the influence of GDP per capita on SWB tends to reduce when considering additional explanatory variables, such as health condition.

SRH는 SWB와 밀접한 관련이 있다. 예를 들어, 건강 상태와 같은 추가 설명 변수를 고려할 경우 1인당 GDP가 SWB에 미치는 영향은 줄어드는 경향이 있다.


Thus, it is reasonable that an increase in wealth leads to a higher SWB, partially because of better health conditions.

따라서 부의 증가는 더 나은 건강 상태를 매개로 SWB 향상으로 이어지는 것이 타당하다.




Income class (relative income level per region).

소득 계층(지역별 상대적 소득 수준).


Respondents were asked to specify their total monthly/annual household income based on five income ranges.

응답자들은 다섯 구간으로 제시된 총 월간/연간 가구 소득을 선택하도록 요청받았다.


They answered by choosing a number from 1 to 5, with 1 being the lowest, 5 being the highest and 3 being the local average income range in the survey site.

응답은 1에서 5까지의 숫자를 선택하는 방식으로, 1은 최저, 5는 최고, 3은 조사 지역의 평균 소득 범위를 의미한다.


Respondents could decline to answer.

응답자들은 무응답을 선택할 수도 있었다.


The well-known ‘relative income hypothesis’ supports that individual SWB is associated with not only the absolute level of one’s own income, but also its relative level compared with those of others with similar socioeconomic attributes.

잘 알려진 ‘상대 소득 가설’은 개인의 SWB가 자신의 절대적 소득 수준뿐 아니라, 유사한 사회경제적 속성을 가진 다른 사람들과 비교한 상대적 소득 수준과도 관련이 있음을 뒷받침한다.



Age.

SWB often has a U-shaped relationship with age.

연령. SWB는 종종 연령과 U자형 관계를 보인다.


For example, the happiness point of middle age (40–50 years) is lower than for younger (20–30 years) and older (over 60 years) age groups.

예를 들어, 중년(40–50세)의 행복 수준은 청년층(20–30세)이나 노년층(60세 이상)보다 낮다.


This relationship possibly depends on each region’s socioeconomic systems.

이 관계는 각 지역의 사회경제적 제도에 따라 달라질 수 있다.


In this study, a U-shaped relationship was observed among higher-income countries, while there were no obvious trends among lower-income countries.

본 연구에서는 고소득 국가에서 U자형 관계가 관찰되었으나, 저소득 국가에서는 뚜렷한 경향이 나타나지 않았다.




Limitations.


For sampling efficiency, we selected an urban area with the largest economic scale and a high population density as the survey site in each country and implemented random sampling.

제한점. 표본추출 효율성을 위해 각국에서 경제 규모가 가장 크고 인구 밀도가 높은 도시 지역을 조사 대상으로 선정하고, 무작위 표본추출을 실시하였다.


This may result in higher monetary social weightings (WTP) and higher SWB than the national average, reflecting less wealth scarcity because of the higher income level of respondents.

이는 응답자의 소득 수준이 높기 때문에 국가 평균보다 높은 화폐 단위 사회적 가중치(WTP)와 SWB를 초래할 수 있다.


The income gap between urban and other areas tends to be larger for middle-income countries, as shown in Supplementary Fig. 3.

보충 그림 3에서 보듯, 중소득 국가에서는 도시와 비도시 지역 간 소득 격차가 더 큰 경향을 보인다.


As our estimates are only representative of cities (survey sites), further investigation is needed to clarify whether our findings can be extrapolated to the national level.

우리의 추정치는 도시(조사 지역)에 한정되므로, 이를 국가 전체 수준으로 확장할 수 있는지 규명하기 위해서는 추가 연구가 필요하다.


The LIME model used in this study provides a framework that incorporates multiple impacts into social decision-making using an interdisciplinary LCIA approach.

본 연구에서 사용된 LIME 모형은 학제적 LCIA 접근법을 활용하여 다중 영향을 사회적 의사결정에 반영하는 틀을 제공한다.


The marginal importance of mitigating multiple environmental damages was evaluated using the current physically assessed damages as a reference.

여러 환경 피해를 완화하는 한계적 중요성은 현재 물리적으로 평가된 피해를 기준으로 평가되었다.


Because potential damages could not be fully captured in the assessment because of insufficient knowledge of environmental science, the estimated physical damages of the four endpoints, posed to the respondents as the current damage levels, may be underestimated.

환경 과학 지식의 부족으로 잠재적 피해가 평가에 완전히 반영되지 못했기 때문에, 응답자에게 제시된 4개 엔드포인트의 물리적 피해 추정치는 과소평가되었을 가능성이 있다.


This could result in smaller estimated marginal utilities of environmental goods.

이는 환경재의 추정 한계 효용을 더 작게 만드는 결과를 초래할 수 있다.


We can expand the same framework with up-to-date knowledge.

동일한 틀은 최신 지식을 활용해 확장할 수 있다.


Despite the complications and difficulties of incorporating biodiversity mainly due to its multifunctional features, its appraisal needs to incorporate socioeconomical urgency and/or importance regarding its damages.

생물다양성은 다기능적 특성으로 인해 통합에 어려움이 있지만, 그 평가에는 피해의 사회경제적 긴급성 및/또는 중요성이 반드시 반영되어야 한다.


Bateman and Mace suggest a comprehensive framework of ecosystem service assessment.

Bateman과 Mace는 생태계 서비스 평가를 위한 포괄적 틀을 제안한다.


This study’s social weighting of the ecosystem is one example, wherein the weighting factor of biodiversity is defined as the marginal WTP (or the relative size of marginal utilities) to avoid the extinction of one species.

본 연구의 생태계 사회적 가중치는 그 한 사례로, 생물다양성의 가중치 계수는 단일 종 멸종을 회피하기 위한 한계 지불 의사(WTP) 또는 한계 효용의 상대적 크기로 정의된다.


This does not consider differences that are associated with the organism involved.

이는 관련 생물종에 따른 차이를 고려하지 않는다.


Increased spending is prevalent to avoid the extinction of animals, suggesting that it may be desirable to estimate the social weighting per species for each organism.

동물 멸종을 막기 위한 지출 증대가 일반적이므로, 종별 사회적 가중치를 개별 생물종 단위로 추정하는 것이 바람직할 수 있다.


In this study, another social weighting of the ecosystem (that is, primary production) is defined as a factor to capture the importance of the essential foundation of energy flow in the ecosystem.

본 연구에서는 또 다른 생태계 사회적 가중치(즉, 1차 생산력)를 생태계 에너지 흐름의 근본적 토대의 중요성을 포착하기 위한 요소로 정의하였다.


Further improvement and expansion of ecosystem service assessment is needed, which could promote interdisciplinary collaboration and help achieve progress in sustainable development.

생태계 서비스 평가의 추가 개선과 확장이 필요하며, 이는 학제적 협력을 촉진하고 지속가능발전에 기여할 수 있다.


Reporting summary. Further information on research design is available in the Nature Research Reporting Summary linked to this article.

연구 보고 요약. 연구 설계에 관한 더 자세한 정보는 본 논문에 연결된 Nature Research Reporting Summary에서 확인할 수 있다.


Data availability. Data are available from the corresponding author on request.

데이터 가용성. 데이터는 교신저자에게 요청 시 제공받을 수 있다.


Code availability. All data analysis has been performed using the Stata commands. No original code was used.

코드 가용성. 모든 데이터 분석은 Stata 명령어를 사용해 수행되었으며, 독창적인 코드는 사용되지 않았다.


Received: 22 August 2021; Accepted: 11 May 2022; Published online: 27 June 2022

접수일: 2021년 8월 22일; 채택일: 2022년 5월 11일; 온라인 게시일: 2022년 6월 27일


keyword
매거진의 이전글[논문 리뷰] 귀납적 연구에서 질적 엄밀성을 추구하며