brunch

상처연고 너희들 정체가 뭐니?

마데카솔, 후시딘, 박트로반 제대로 활용하기

by 신정민

"길을 가다 넘어지고, 일을 하다 종이에 손을 베이고, 요리를 하다가 칼에 손가락을 베이고.."

아 정말 생각만 해도 아프고 쓰라리네요.

상처가 나면 하는 처치는 누구나 비슷하지 않을까 해요.

1. 과산화수소수나 포비돈 액을 이용해 소독을 한다.

2. 상처 연고를 바른다.

3. 밴드에이드나 메디폼을 감아준다.


여러분들 집, 약박스 안에는 어떤 상처 연고가 있나요?

우리가 가장 많이 활용하고 있는 상처 연고는 후시딘, 마데카솔 그리고 박트로반 (베아로반)입니다.


상처 치료제의 시장점유율을 조사한 자료를 보니 후시딘이 59.4%로 1위, 마데카솔이 28.5%로 2위, 박트로반이 3위더라구요.

이름만 들어도 알법한 상처 연고를 어떻게 활용하고 있으신지요?


우선 어떤 기전으로 상처가 회복시킬 수 있는지 알아야 각각의 상처 연고를 이해할 수 있을 듯해요.


상처는 어떤 과정을 거치며 회복되는 걸까?


상처치유기전 (wound healing response)

어느 부위이든 상처가 나면 우리 몸은 상처 치유 반응을 발동시켜 손상된 조직을 복구시키려고 합니다.

상처 치유 반응은 보건복지부에서 정리해둔 위의 도표를 보시면 되세요.

상처 치유 반응은 염증기, 증식기, 성숙기(재형성기) 이 3단계를 거칩니다.


상처 치유 반응의 초기 단계는 염증기입니다.

염증기는 보통 4~6일간 지속됩니다.

이때 우리 몸에서 일어나는 반응은 붓고 열감도 들고 진물도 나고 또 통증도 심합니다.

국소혈관이 확장되면서 혈액량이 증가하고 혈장과 단백질이 누출됩니다.

백혈구와 대식 세포도 이동을 하게 되지요.

또한 혈소판에서는 혈액 응고 인자를 내보내 혈액 응고를 일으키고

여러 세포를 자극해 육아조직이 형성될 수 있는 환경을 만들어갑니다.


결국 염증기는 출혈은 멈추고 상처난 부위의 이물질이나 괴사조직 등을 제거해

상처 부위를 깨끗하게 청소하는 과정인 것이지요.

폐허가 된 도시를 재건하는 과정, 상처치유 과정과 유사

쉽게 생각해볼까요?

파괴된 도시를 복구시키는 과정의 첫단계는 건물 잔해물을 치우고 이동을 시키고 파괴된 건물을 다시 부수고 해야 그 다음 도시 재건을 생각할 수 있습니다.

염증기는 바로 그 과정과 흡사합니다.


상처 치유 반응의 두번째 과정인 증식기입니다.

파괴된 건물을 복구할 때 우선 잔해를 치운뒤 도시를 재건하기 위해

우선 도로를 정비하는 과정을 거치게 되지요. 또한 가건물을 세우고 전기 시설도 새로 이어서 기반을 만들어갑니다.

상처 치유 반응의 증식기에도 이와 비슷한 일이 일어납니다.

상처 주위의 손상 부위로 신생 혈관들이 생성되고

섬유아세포가 콜라겐 합성을 유도하면서 점차 손상된 조직을 메워가기 시작합니다.

상처의 가장자리로부터 상피세포의 이동이 일어면서 손상된 부분을 덮어가는 상피화과정을 거치면서

표피는 두꺼워지고 상처 가장자리의 기저세포가 커지면서 상처 손상부로 이동하고

진피층에서는 콜라겐과 엘라스틴으로 만들어진 육아조직을 만들기 시작합니다.

육아조직을 설명드리면 아직 성숙되지 않은 임시방면으로 만들어진 조직이라고 생각하시면 되요.


세번째 과정은 재형성기(성숙기)입니다.

이 과정은 보통 수개월에서 수년간 지속됩니다.

리모델링을 통해 제대로된 건물들을 세우고 도시를 완전하게 복구해가는 과정과 유사합니다.

건물 내부도 꼼꼼히 채워넣고 인테리어 하는 것처럼 재형성기에는 증식기에 형성된 육아조직이 성숙해지면서 성숙된 강한 피부 조직을 만들어 가는 것이지요.


후시딘과 박트로반 같은 항생제 연고는 첫번째 상처치유 반응인 염증기에 관여한다고 보시면 됩니다.

항생물질이 상처부위에 새균이 증식하지 않도록 하고 상처부위를 습윤하게 하는 등

상처 치유 반응이 잘 진행이 되도록 환경을 만들어주는 역할을 합니다.


마데카솔은 종류에 따라 다른데요.

항생물질이 포함된 마데카솔 케어는 염증기부터 증식기까지 염두해두고 만들어진 상처연고라고 보시면 됩니다.

마데카솔의 주성분인 센텔라 아시아타카라는 콜라겐의 생성을 유도하는 재생물질이고

이는 증식기에 더 촛점을 둔 상처연고라고 생각하시면 될거 같아요.



상처연고 선두주자 후시딘

익숙한 오렌지 색 비주얼, 국민 상처연고 후시딘

후시딘은 덴마크에서 개발된 Fusidic Acid (퓨시드산)이라는 항생물질을 단일 주성분으로 하는 세균증식을 억제하는 제제인 정균제입니다.

Fusidic Acid는 좁은 범위로 사용되는 항생제(narrow spectrum antibiotic)로 경구투여시 식중독, 피부 연부조직 감염, 중이염, 폐렴, 수술후 감염, 심내막염에 다양하게 사용되는 항생 물질입니다.

이 성분은 침투력이 높은 편이고,뼈조직에도 침투력이 뛰어나 골수염이나 패혈성 관절염에도 유용하게 활용됩니다.


화학구조는 요렇게 생겼지요.

또한 후시딘 연고는 상처 연고로 가장 많이 활용되지만, 모낭염과 심지어 여드름에까지 두루 활용되고 있는 상처연고 입니다.

KakaoTalk_Photo_2018-01-25-12-59-15_71.jpeg 여드름에 사용 가능한 후시딘 연고

그러나 퓨시드산은 내성율이 아주 높은 항생물질로 알려져 있고 내성율이 최근 더 올라가고 있어서 주의를 요합니다.

또한 알레르기 반응을 잘 일으켜 약한 얼굴 피부나 아기 피부나 눈주위에는 사용하지 않는 것이 좋아요


상처 연고 2인자 마데카솔

마데카솔 3총사 구별해 쓰세요.

마데카솔은 새살이 솔솔~ 이라는 문구로 후시딘이 독식하고 있던 상처 치료 연고 시장을 파고든 연고입니다.

그런데 위 사진에서 보시면 아시겠지만 마데카솔은 3가지 종류나 있습니다.

'마데카솔 연고' '마데카솔 케어연고' '복합 마데카솔 연고'


3가지 종류가 다 유통되는 연고가 맞구요.

그러나 성분은 차이가 있으니 잘 구별해서 사용하셔야겠죠?


세 가지 마데카솔 연고의 공통 성분은 바로 센텔라 아시아타카의 추출물인 Asiaticiside라는 성분입니다.

이 성분은 피부내에서 콜라겐 합성을 유도해 피부 재생과정에서 흉터를 예방할 수 있는 효능이 있지요.

병풀, 센텔라 아시아타카

병풀이라고도 불리는 센델라 아시아타카는 위 사진처럼 생긴 식물입니다.

식물성분 100%라고 강조하는 마데카솔 연고는 이 센텔라 아시아타카의 추출물인 Asiaticiside 단일 성분의 연고입니다.

상처 재생 효과만 있고 항생제가 포함되어 있지 않으므로 염증 예방하는 기능은 없는 연고이지요.

연고 제형이 아니라 뿌리는 형태로도 나와 있답니다.

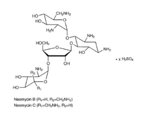
마데카솔 케어는 센텔라 아시아타카의 추출물과 니오마이신이라는 항생제가 들어있는 연고입니다.

니오마이신은 휴시드산과 같은 정균제로 감염되기 쉬운 상처에 사용할 수 있지요.

니오마이신은 1차 감염의 원인이 되는 포도상구균뿐 아니라 2차 감염의 원인이 되는 그람 음성균에도 효과적이라 감염 예방에도 효과적으로 사용되는 항생제입니다.

그런데, 니오마이신은 과다 사용시 부작용이 잘 발생하는 항생제입니다.

화학구조는 이렇구요.

니오마이신은 부작용이 꽤 심각한 항생제입니다.

특히 신장과 귀쪽으로 독성이 강하게 발현되어 신장질환이 있거나 귀쪽에 이상이 있으신 분들은

아주 유의해서 사용하는 것이 좋습니다.

마지막으로 복합 마데카솔 연고는 센텔라 아시아티카 추출물에 니오마이신

또 한가지 더 히드로코디손이라는 스테로이드제가 첨가되어 있는 제품입니다.

그래서 아토피나 알러지성 피부염, 습진과 같은 피부 질환에도 다양하게 사용될 수 있는 연고라서 복합이라는 단어가 붙는 거지요.


이제는 베아로반이라고 불러야 할 박트로반

베아로반.jpeg 박트로반은 이제 뒤안길로, 베아로반을 쓰시면 되세요.


마지막 주자 박트로반 이야기로 가볼까요?


무피로신 원료 수급 문제로 2016년 말경부터 현재까지 박트로반은 품절인 상태에 있습니다.

제조사에서는 외국에서 원료 수급 받는 걸 포기하고 대웅제약을 통해 베아로반이라는 이름으로

국내 무피로신 항생제 시장을 대체하게 됩니다.


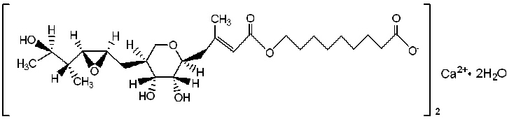
박트로반(베아로반) 연고도 무피로신이라는 성분의 항생제 연고입니다.

항생제 단일 연고인 점은 후시딘하고 비슷하지만 무피로신은 후시딘보다 더 적용범위가 넓게 효과가 있고 더 안전하다고 생각하시면 됩니다.

내성을 가진 세균에도 효과가 좋아 모낭염, 종기, 습진, 농가진 등 세균성 피부 감염에 효과가 있어요.

그래서 세균 감염 위험이 높은 상처에 2차 감염을 예방하기 위해서는 박트로반이 더 효과적인거 같아요.


또한 무피로신은 세균감염으로 상처 부위가 잘 낫지 않는 경우 항생제 경구복용과 동시에 도포할 때 효과가 아주 우수합니다.

그래서 약국에서 바로 구매가능한 일반의약품인데도 불구하고 피부과와 소아과 처방전에 경구 항생제와 함께 처방되어 나오는 경우가 많은 연고입니다.

박트로반은 메치실린 내성 균주에도 작용하고 특이하게 대장균과 인플루엔자균에도 효과가 있다고 합니다.


무피로신의 화학구조는 요렇게 길다란 모양을 갖고 있습니다.

박트로반은 무르고 약한 살이나 민감한 피부에도 많이 사용됩니다.

그래서 아가들 피부 질환에 다용되는 항생연고로 생후 2개월부터 사용이 가능합니다.


무피로신 연고 사용시 특이한 점이 있는데요.

무피로신 연고는 개봉후에는 오염될 가능성이 큰 약물이라 피부 도포후 바로 폐기하는 것을 권장합니다.

즉, 오래 묵혀둔 박트로반 연고를 꺼내 쓸 때는 오히려 2차 감염이 생길수도 있다는 점을 주의하셔야 한다는 것이지요.


무심히 써 왔던 상처 연고 3총사, 제각각 장점과 단점이 다 가지고 있네요.

제가 알려드린 내용을 잘 숙지하셨다가 각각의 용도에 맞게 잘 활용하시길 바랍니다.


피부 연고 사용시 주의해야 할 tip

잘 활용하면 약, 잘못 활용하면 독

연고는 필요한 만큼 소량만 사용


여러분들은 연고 바를 때 어느 정도 양을 사용하시나요?

연고를 필요 이상으로 두텁게 넓게 바르면 국소 부위에만 작용하지 않고 전신 독성을 유발할 수 있습니다.

게다가 항생제 내성균도 과도하게 증식할 수 있습니다.

꼭 소량만 얇게 펴바르시는 거 잊지 마세요~


원인균에 따라 연고도 달라야


무좀에는 세균(bacteria)에 반응하는 항생제 연고를 사용하시거나 스테로이드가 함유된 일반 피부연고 쓰시면 증상이 더 악화될 수 있답니다. 무좀은 곰팡이균인 진균이 원인이라 항진균제 연고를 쓰셔야합니다.

카네스텐이 대표적인 항진균제 연고입니다.

keyword