생활 속에 작용하는 힘(2)

전자기력

by 부대끼는 삶

사과는 지구 중력을 받아 땅에 떨어진다. 지구 중력은 지구 중심에 자리 잡고 있는 질량중심점이 사과에 작용하는 당기는 힘(인력)이다. 그러므로 떨어지는 사과는 지구 중심까지 끌려가야 하는데, 그러지 못하고 지표면에서 멈춘다. 거대한 지구가 당기고 있는데도, 더 이상 끌려가지 못하고 한 자리에 머문다. 사람도 마찬가지이고, 높디높게 솟아 있는 마천루 빌딩도 마찬가지이다. 이들은 왜 땅속으로 빨려 들어가지 못하는가? 중력은 절대로 없어지지 않으므로 중력이 제 역할을 하지 못하도록 하는 무언가가 있다는 것을 추론할 수 있다. 중력의 상호 작용은 서로 당기는 인력이므로, 인력을 무력화하는 힘은 밀어내는 척력이어야 한다. 이처럼 마천루 빌딩을 곧게 세우는 척력을 인간이 발견하고 전자기력(electromagnetic force)이라고 하였다. 생활 속에서 중력이 아닌 다른 힘은 모두 전자기력에 근거를 두고 있다.


전자기력은 전기력과 자기력을 합친 이름이다. 중력의 근원이 질량이듯이, 전기력의 근원은 전하이다. 질량도 실체를 확인하지 못한 것처럼 전하도 그 실체를 확인하지 못하지만, 전하는 질량과 다른 아주 특별한 몇 가지 성질이 있다. 질량은 한 가지 종류만 있지만, (1) 전하에는 두 가지 종류가 있다. 질량은 어디에 있는지 알지 못하지만, (2) 전하는 있는 곳이 알려져 있다. 한 종류는 원자를 구성하는 입자인 양성자에 들어 있고, 다른 한 종류는 역시 원자를 구성하는 입자인 전자에 들어 있다. 특히 (3) 양성자와 전자에 들어 있는 전하는 종류는 달라도, 그 양이 일정한 크기(1.6 x 10^-19)로 똑같다는 것도 발견한다. 그러므로 전하량은 언제나 기본 전하량의 배수가 되어야 한다. 전하는 연속물리량이 아니고 이산물리량인 것이다. 또 양성자와 전자에 들어 있는 전하는 새로 생기지도 않고 없어지지도 않으며 (4) 항상 그 양이 보존된다. 또 (5) 다른 종류끼리는 서로 당기는 힘(인력)을 작용하고, 같은 종류끼리는 서로 미는 힘(척력)을 작용하는 성질이 있다. 전기력에 척력이 있어서, 만물이 2차원 형태를 유지할 수 있도록 한다. 전기력도 중력처럼 서로 당기는 인력만 있다면, 인력만 작용하는 세상은 모두 하나로 뭉쳐졌을 것이다. 특히 (6) 서로 다른 종류의 전하가 한곳에 모이면, 서로 상쇄하여 전하의 기능을 하지 못하도록 하는 성질도 있다. 그래서 양성자와 전자의 개수가 같은 원자는 전기를 띠지 않는다. 편의상 양성자에 있는 전하는 ‘양전하’라고 하고 부호는 (+) 기호를 사용하기로 한다. 또 전자에 들어 있는 전하는 ‘음전하’라고 하고 부호는 (-) 기호를 사용하기로 한다.


양성자와 전자도 질량을 가지고 있으므로, 양성자 하나와 전자 하나로 이루어진 수소 원자에서는 양성자와 전자 사이에 중력과 전기력이 함께 작용한다. 그런데 중력과 전기력의 크기를 계산해 보면, 전기력이 중력보다 10의 40 제곱(10^40) 배만큼 크다는 것을 알 수 있다. 그러므로 전기력에 중력을 더하는 것은 의미 있는 값을 만들지 못하므로, 전기력을 다룰 때는 처음부터 중력은 없는 것으로 취급해도 괜찮다는 것을 알 수 있다.

자석 사이에 작용하는 자기력은 전기력과는 또 다른 성질이 있다. 자석은 자연 상태에서 철광석 종류인 자철석으로 구할 수 있다. 두 자석의 끝은 서로 당기기도 하고 서로 밀기도 하는 성질이 있는 것을 발견한다. 자석의 끝을 극이라고 하여 구분한다. 그런데 아주 작은 자석을 물 위에 놓으면 항상 북쪽과 남쪽을 가리키는 것을 발견하고, 북쪽을 가리키는 극을 북극(N극)이라고 하고, 반대편 극을 남극(S극)으로 구분한다. 자석이 남북 방향을 가리키는 것은 지구가 자석 성질을 가져서, 개별 자석과 상호작용을 하기 때문이다. 그러므로 나침반의 북극이 가리키는 북쪽은 지구 자석의 남극이 된다. 자석의 극을 색으로 구분할 때는 나침반처럼 북극은 붉은색으로 칠하고 남극은 파란색으로 칠하는 것을 관례로 한다.


자석이 가지는 아주 특이한 성질은, 긴 막대자석을 두 조각으로 자르면 자석의 끝에 있는 두 극이 분리되지 않고, 잘린 부분이 각각 자석이 된다는 것이다. 자석 하나로 두 개의 자석을 만든 것이다. 이처럼 자석을 계속해서 잘라도 두 극은 분리되지 않고 새로운 자석으로 나뉘는 것을 확인할 수 있다. 나누는 작업을 끝까지 진행하면 마지막에는 하나의 원자를 얻을 수 있는데, 이 원자가 두 극을 가진 자석이 된다는 것으로 추론할 수 있다(원자자석). 하지만 자기력의 근원인 자하에 대해서는 아무런 것도 알지 못하고, 단지 자기에는 전하처럼 분리되는 극이 존재하지 않고, 두 극은 항상 같이 간다는 것만 확인할 수 있다(자석에는 홀극이 없음).


그런데 덴마크 과학자 외르스테드는 19세기 초에 전류가 흐를 때 주위에 놓인 나침반이 움직이는 것을 발견한다. 나침반이 움직인 것은 자기력을 받은 것이므로, 전류가 자석의 기능을 하였다는 것을 알 수 있다. 전류는 전하가 움직이는 것이므로, 전하가 움직일 때 자기가 생긴다는 획기적인 사실을 발견한 것이다. 이렇게 생긴 자기는 자석처럼 두 극을 만들고, 자석과 상호 작용을 하였다. 자기는 전기와 다른 것이 아니었다. 자기현상은 움직이는 전하가 만든 전기현상이므로, 전기와 자기가 합쳐져서 전자기가 될 수 있었다. 그러므로 자석을 계속 잘라서 만든 원자자석은 원자 내부에 있는 전하가 어떤 형태(궤도운동이나 스핀운동)로든 움직여서 만든 전기현상인 것을 알 수 있다. 원자자석을 질서 있게 가지런하게 쌓으면 자석이 되는 것이다. 그러므로 자하는 질량이나 전하처럼 별도로 존재하는 것이 아니고, 움직이는 전하라는 것을 알 수 있다.


자하를 수로 표현하면 전하 q가 속도 v로 움직이는 qv가 된다. 속도가 벡터물리량이므로 자하도 벡터물리량이 된다. 자하가 벡터물리량이어서, 자하 사이에 작용하는 힘은 중력과 달리 전하가 움직이는 방향에 수직인 힘을 작용한다. 중력과 전기력의 작용방향은 힘의 근원을 직접 연결하는 방향인 중심력이지만, 자기력은 대상에 대해 수직방향으로 힘을 작용하는 수직힘이다. 전기력에 척력이 있어서, 만물은 이차원 형태를 유지할 수 있었고, 자기력이 수직 방향 힘이어서 3차원 형태를 가진 다양한 만물이 형성될 수 있었다.


전류가 자석의 작용을 하는 것을 알게 된 창의력이 있는 공학자가, 전류가 흐르는 도선이 주위의 자석으로부터 힘을 받아 회전하는 장치를 만들 수 있었다. 오늘날 많은 곳에서 사용되고 있는 모터(motor)를 발명한 것이다.


외르스테드의 발견이 있은 후, 영국의 과학자 패러데이는 외르스테드의 실험을 거꾸로 하여, 가속으로 움직이는 자하가 전하의 흐름을 만든다는 것을 발견한다(전자기유도). 전하의 흐름은 전류이므로, 인간이 전기를 만들 수 있는 원리를 발견한 것이다. 이 발견 이후, 창의성 있는 공학자가 발전기를 만들었고, 오늘날의 찬란한 전기 문명을 이루었다.


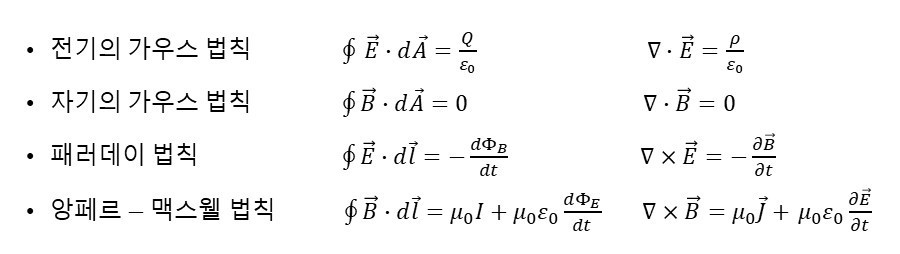
전기와 자기가 서로 얽힌 상태로 영향을 주고받으면서 나타나는 전자기 현상을 수식으로 정리한 사람은 케임브리지 대학의 캐번디시연구소 초대 소장을 맡았던 제임스 맥스웰이다. 맥스웰은 기존에 알려진 연구 성과를 묶어서 4개의 방정식으로 표현하였는데, 방정식을 정리하는 과정에서 한 방정식이 가진 모순을 해결하기도 하였다. 맥스웰의 방정식으로 알려진 4개의 방정식은 적분형태와 미분형태가 있다. 이 4개의 방정식은 전자기학 전부를 표현하는 식이므로, 수식의 내용을 몰라도 그림으로 감상해 두는 것도 좋다.

맥스웰방정식3.jpg 맥스웰 방정식


맥스웰은 전기장과 자기장으로 구성된 4가지 방정식을, 빈 공간을 조건으로 전기장과 자기장에 대해 연립방정식을 풀어 본다. 맥스웰은 전기장과 자기장으로 분리한 식에서 아주 놀라운 의미를 발견한다. 전기장과 자기장을 이루는 식이 광속과 같은 속도로 퍼져나가는 파동방정식을 이루고 있었다. 맥스웰은 전기장과 자기장이 서로 영향을 주고받으며 파동을 이룬다는 것에서 전자기파의 존재를 예측한다. 또 전자기파의 속도가 빛의 속도와 같다는 것에서, 빛이 전자기파일 수 있다는 것도 확인한다. 맥스웰 방정식에 따르면, 가속으로 변하는 자기장(자하)이 가속으로 변하는 전기장을 만든다. 또 움직이는 전하는 자기장을 만들므로, 가속하는 전하는 가속하는 자기장을 만든다. 그러므로 가속하는 전하(전기장)는 가속하는 자기장을 만들고, 이렇게 가속하는 자기장이 다시 전기장을 만드는 과정이 순환하게 된다. 이런 과정을 통해 전자기파가 만들어지므로, 가속하는 전하가 전자기파를 만드는 근원이 된다는 것을 보여준다.


맥스웰의 전자기파 예측을 실제로 실험을 통해 검증한 사람은 독일의 과학자 헤르츠였다. 헤르츠는 가속하는 전하를 만들어서 전자기파를 만들고, 그것을 수신하는 실험을 통해 전자기파의 존재와 생성을 확인하였다. 헤르츠의 실험에서 출발하여, 오늘날 정보통신문명의 시대가 활짝 열렸다. 헤르츠의 이런 공적을 기려서 주파수의 단위를 헤르츠로 정하였다.


생활 속에서 작용하는 자연의 힘 중에서 지구 중력이 아닌 모든 힘은 전자기력에서 나온다. 대표적으로 원자의 형태를 이루는 힘은 전자기력이고, 원자가 모여서 이루는 다양한 물체의 결합과 형태도 전자기력의 평형에 의해 성립한다. 빅뱅 이후에 전자기력이 없이 중력만 작용하였다면, 우주는 지금도 질량이 한 점으로 모이는 거대 블랙홀을 만드는 삭막한 과정에 있을 것이다. 전자기력이야말로 생명체의 탄생과 인류문명을 가능하게 한 근원적인 힘이다.


++ 참고 동영상 ++

** 질량중심점 https://youtu.be/y4ZUPQrGjlY

** 자연의 4가지 힘(1) https://youtu.be/sBj5YyPW0JI

** 파동의 기초 https://youtu.be/pLFvMU-IsrQ

** 진동 완벽 이해 https://youtu.be/sVz_e6yG-EE

금요일 연재
이전 08화생활 속에 작용하는 힘(1)