생활 속에 작용하는 힘(3)

파생힘

by 부대끼는 삶

138억 년 전에 일어난 빅뱅에서, 맨 처음에 우주를 가득 채운 것은 에너지뿐이었습니다. 우주가 팽창하는 과정에서 에너지 밀도는 점점 낮아졌습니다. 우주는 환경의 변화에 맞춰서 4가지 자연의 힘과 기본 입자를 만드는 등 여러 가지 변화 과정을 거칩니다. 38만 년이 되었을 때, 우주를 채우고 있던 전자와 양성자의 운동에너지가 작아져서 서로 결합하여 수소 원자를 이루고 헬륨 원자를 구성합니다. 원자의 구성이 이루어지자, 비로소 전자기파도 우주 공간을 자유롭게 운동하게 되어서, 138억 년이 지난 오늘날에도 우주배경복사가 되어 지구에 도착하고 있습니다.

우주는 생성 이후에 한순간도 쉬지 않고 계속 변화(운동)하고 있는데, 원자가 구성된 이후에 원자 밖의 우주에 작용하는 힘은 중력과 전자기력뿐입니다. 중력과 전자기력이 만드는 변화 방향은 매우 단순합니다. 질량을 가진 천체는 질량 사이의 위치에너지(퍼텐셜에너지)를 줄이는 방향으로 움직입니다. 줄어든 위치에너지만큼 증가한 운동에너지와 열에너지는 공간을 균질하게 만들 수 있도록 가능한 한 널리 퍼져나가는 방향으로 움직입니다. 이러한 변화 방향을 과학에서는 열역학 제2법칙, 또는 엔트로피 증가 법칙이라고 합니다. 에너지 수준이 낮은 상태와 균질한 상태를 유지하는 방향으로 변화하는 것입니다.

중심력인 중력이나 전기력의 인력은 전자기력의 척력이나 수직힘을 만나면 힘의 평형을 이룰 수 있습니다. 질량체가 만나서 힘의 평형이 한 번 이루어지면, 가능한 한 이 평형 상태는 계속 유지하게 됩니다. 물질이 결합하는 것도 이런 작용의 결과이고, 두 가지 이상의 물질이 경계를 이루면서 접촉하는 상태도 평형상태를 이루고 유지하는 것입니다. 왜냐하면 이 평형 상태는 에너지 수준이 가장 낮은, 가장 안정된 상태이기 때문입니다. 지구 표면 위의 모든 물체는 지구와 힘의 평형 상태(정적 진동 평형상태)를 이루는 것이고, 고무풍선 안의 기체와 고무풍선의 표면도 평형 상태(동적 평형 상태)를 이루고 있습니다.

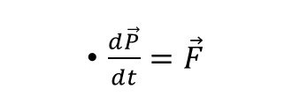
우주를 구성하는 질량체가 운동하는 과정에서 다른 물체에 의해 운동을 방해받으면, 방해받은 정도에 따라 힘을 작용하고 또 그만큼 반작용받습니다. 이렇게 운동을 방해받아서 작용하는 힘을 파생힘이라고 하여 자연의 힘과 구분합니다. 파생힘이 생기면, 그다음 과정은 역학 법칙에 따라 진행하게 됩니다. 힘은 벡터물리량이므로 작용하는 방향이 있는데, 파생힘이 작용하는 방향은 자신의 상태(운동이나 평형상태)를 계속 유지하려는 방향입니다. 변화에 저항하는 방향입니다. 운동은 상대적이므로 힘을 작용하는 주체와 객체에 따라서 힘의 방향을 정하게 됩니다. 파생힘이 작용하는 현상을 수식으로 표현하면 다음과 같은 식이 됩니다. P는 운동량의 문자수이고 F는 힘의 문자수입니다.

파생힘발생원리2.jpg

말로 하면, 운동을 방해받아서 일어나는 운동량의 변화량(dP)만큼 힘을 작용하는 것입니다. 이것이 파생힘이 만들어지는 원리입니다.

예를 들어서 고무풍선을 불어서 팽창시키는 경우를 생각해 보겠습니다. 운동은 상대적이므로 먼저 풍선 안으로 들어가는 공기덩어리의 입장에서 살펴보겠습니다. 공기덩어리는 평화롭게 운동하고 있는데 갑자기 고무풍선이 나타나서 자신의 운동을 방해하므로, 운동 상태를 계속 유지하기 위해 운동 방향으로 누르는 힘을 작용합니다. 이 누르는 힘이 파생힘입니다. 이 힘이 풍선을 부풀게 합니다. 반면에 고무풍선의 입장에서는 원자의 결합으로 형태를 유지하면서 안정된 상태로 잘 있는데, 갑자기 공기덩어리가 들어와서 자신의 안정된 평형을 깨뜨리려고 하므로, 평형을 계속 유지하기 위해 공기덩어리의 운동을 방해하는 방향으로 힘을 작용합니다. 이 반작용하는 힘이 탄성력으로 풍선의 팽창을 억제하는 파생힘이 됩니다. 공기덩어리가 누르는 힘이 고무풍선이 저항하는 탄성력(결합력)을 넘지 않으면 두 힘은 새로운 평형을 이루고 부푼 풍선을 만들게 됩니다. 물론 누르는 힘이 탄성력을 초과하면 풍선이 터지게 되겠습니다.

탄성력은 뉴턴과 동시대에 살면서 뉴턴과 심하게 갈등한 훅(Robert Hook)의 법칙에 따르게 됩니다.

훅의법칙2.jpg

또 다른 생활 속의 파생힘으로 줄의 장력(tension)을 들 수 있습니다. 줄은, 줄을 구성하는 원자들이 결합하여서 평형상태를 이루고 있습니다. 장력이 작용하는 현상으로, 줄을 천정의 못에 묶고 무거운 물체를 달아서 늘어뜨리는 경우를 살펴보겠습니다. 줄의 입장에서는 원자가 결합하여 안정된 평형상태를 유지하면서 잘 있는데, 갑자기 물체가 외력을 작용하여 줄을 팽팽하게 만든 다음에 안정된 원자의 결합을 깨뜨리려고 하므로, 줄은 외력에 저항하는 방향으로 파생힘(장력)을 작용합니다. 장력의 작용 주체는 줄이고 객체는 줄에 긴장을 일으키는 힘의 작용체로 매달린 물체입니다. 장력의 작용 방향은 당기는 힘을 억제하여야 하므로 당기는 힘의 반대 방향이 되고, 늘어뜨린 물건을 위로 들어 올리는 방향이 되겠습니다.

늘어뜨린 물건의 입장에서 보면, 중력을 받아 밑으로 운동하려고 하는데, 줄이 운동을 방해하므로 계속 운동하는 방향으로 힘을 작용합니다. 물론 이 힘의 크기는 물건이 팽팽한 줄에 묶여 있는 동안에는 줄의 장력과 같습니다.

반대쪽 끝에서도 줄과 못 사이에 파생힘이 발생합니다. 못의 입장에서 보면, 못과 줄이 연결되어 안정된 상태로 있는데, 갑자기 줄이 팽팽하게 되어서 못을 아래로 당기므로, 이에 저항하기 위해 줄을 위로 당기는 힘을 작용합니다. 줄의 입장에서 보면, 물체의 도움을 받아 밑으로 운동하려고 하는데, 못이 운동을 방해하므로 못에 아래 방향(줄의 운동 방향)으로 힘을 작용합니다. 이 힘이 못에 작용하는 힘으로 줄이 당기는 장력이 됩니다. 물론 이 힘의 크기는 못이 줄을 위로 당기는 힘의 크기와 같습니다.

그런데 줄은 원자들의 결합으로 평형 상태를 이루고 있습니다. 줄의 중간 점에서 일어나는 힘의 작용을 살펴보면, 아래에 있는 원자는 위에 있는 원자를 아래 방향으로 당기고, 위에 있는 원자는 아래 원자를 위 방향으로 당기는데, 각각의 원자 입장에서는 상대 원자가 평형을 깨려고 하므로 반대 방향으로 파생힘을 작용합니다. 이 파생힘의 크기는 아랫단이나 윗단에서 작용하는 파생힘(장력)의 크기와 같습니다. 줄이 끊어지지 않으면 줄을 구성하는 모든 곳에서 이런 장력의 작용이 일어납니다. 그러므로 줄의 모든 부분에서 같은 크기의 장력이 작용합니다. 물론 줄 안에서 작용하는 장력은 상쇄되므로 양 끝에서 줄 쪽으로 작용하는 장력만 반영하면 되겠습니다.


생활 속에서 아주 친숙한 파생힘으로 마찰력이 있습니다. 마찰력이 생기는 원인에 대해서는 여러 가지 설명이 있지만, 제대로 된 설명은 마주하기 어려운데, 여기서 명확하게 설명하겠습니다. 표면마찰력은 서로 접촉한 상태에서 안정된 평형을 이루고 있는 두 물체 사이에서 일어납니다. 어떤 원인에 의하든 한쪽 물체가 힘을 받아 운동을 하게 되면, 평형이 깨어지므로 다른 쪽 물체가 움직이는 물체에 대해서 움직임을 방해하는 방향으로 힘을 작용합니다. 이 힘이 표면마찰력입니다. 물체가 오른쪽으로 움직이면, 접촉해 있는 상대 물체는 움직이는 물체의 운동을 방해하여야 하므로, 움직이는 방향과 반대 방향으로 움직이는 물체에 마찰력을 작용합니다. 그러므로 마찰력의 방향은 접촉면이나 접촉점에 대해서 접하는 방향이 되겠습니다. 이 마찰력의 크기는 접촉을 이루는 힘인 누르는 힘(수직항력)의 크기에 비례합니다. 아주 센 힘으로 누르고 있는 두 물체는 어지간한 힘으로는 움직이기 어렵습니다. 하지만 일단 한번 움직이기 시작하면 좀 더 적은 힘으로도 움직일 수 있는 것을 생활 속에서 경험합니다. 정지한 상태에서 처음 움직일 때의 마찰력이 움직이고 있을 때의 마찰력보다 크다는 것을 알 수 있습니다. 이런 현상을 전문용어로 표현하면, 정지마찰력이 운동마찰력보다 크다고 합니다.


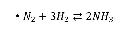
파생힘이 작용하는 원리는 평형을 유지하고 있는 화학반응에서도 확인할 수 있습니다. 다음과 같은 암모니아 합성반응을 살펴보겠습니다.

암모니아합성반응식2.jpg

질소 1분자와 수소 3분자가 결합하여 암모니아 2분자를 만드는 화학반응식입니다.

이 반응식은 가역반응으로 정반응과 역반응이 같은 크기로 일어나 동적평형상태를 유지하고 있습니다. 어떤 이유에서든 이 평형 상태를 깨뜨리는 작용이 일어나면, 계는 평형상태를 계속 유지하려는 방향으로 대응합니다. 예를 들어 반응물인 수소를 조금 더 투입하면, 수소의 양을 줄이는 것이 원래의 평형에 가까워지므로 정반응이 일어나 암모니아의 생성물이 증가한 상태에서 새로운 평형상태를 유지합니다.

실제 합성 과정에선, 계의 온도를 일정하게 유지하면서 압력을 높이면 계의 압력을 감소시키는 것이 변화에 저항하는 것이므로, 계의 압력을 줄이는(4분자를 2분자로 만드는) 정반응이 자연스럽게 일어난다. 자연이 평형을 유지하려고 한다는 성질을 이용하면, 암모니아 합성은 고압에서 진행하는 것이 더 나은 수율을 얻을 수 있다는 것을 알 수 있습니다. 화학반응에서 평형이 깨어지면, 평형에 저항하는 반응이 '저절로' 일어난다는 것을 프랑스 화학자인 르 샤틀리에가 발견하여, 그의 이름을 따서 ‘르 샤틀리에의 법칙’이라고 합니다.

또 패러데이가 발견한 전자기유도 현상에서도 변화에 저항하는 방향으로 대응하는 현상이 일어납니다. 전자기유도 현상에 의하면 변하는 자기장이 도선에 전류를 흐르게 합니다. 회로에 전류가 흐르는 방향은 양쪽으로 두 가지 경우가 있을 수 있는데, 전자기유도의 원인이 되는 자기장의 변화를 억제하는 방향으로 전류를 흐르게 하여 변화에 저항한다는 것입니다. 이런 현상은 독일의 물리학자 렌츠가 발견하여, ‘렌츠의 법칙’이라고 합니다.


끊임없이 변화하는 자연이 안정된 평형을 지향하는 성질은 사회현상에도 적용할 수가 있습니다. 사회는 구성원 각자가 하나의 계를 형성하는 복잡계로, 모든 곳에서 많은 변화가 일어나고 있지만 평형을 유지하면서 나름대로 안정된 사회를 이루고 있습니다. 이런 사회의 안정을 계속 유지하려고 하는 부류가 보수적인 가치를 지닌 사람이라고 하겠습니다. 반면에 사회의 안정 뒤에는 부조리와 모순이 있다는 것을 발견하고, 새로운 가치에 기반하여 새로운 평형을 만들려고 하는 부류는 진보적인 가치를 가진 사람이라고 하겠습니다. 보수와 진보 사이에 합의된 가치가 없는 경우에는 사회 변화는 역동적으로 일어나고, 자칫 잘못되면 혼란이 생길 수도 있습니다. 또 변화를 만드는 방향이 역사의 발전과 시대의 흐름에 역행하는 경우는 화학반응계 자체를 깨뜨리는 것과 같으므로, 이런 세력이 사회의 주류가 되는 일이 생기지 않도록 감시하는 것도 안정된 사회를 유지하는 필요조건이 된다고 하겠습니다.

++ 참고 동영상 ++

** 파생힘(5) https://youtu.be/QAs-EFcSjXM



금요일 연재
이전 09화생활 속에 작용하는 힘(2)