brunch

생활 속에 작용하는 힘(4)

인간이 만든 외부 힘

by 부대끼는 삶

인간이 오늘날 향유하고 있는 문명의 이기(利器)는 삶의 양식을 바꾸었고, 편안한 활동을 가능하게 하였습니다. 또 인간이 살아가기 위해 사용해야 했던 노동의 양을 줄여주었고, 인간이 남는 시간을 여가 활동에 사용하고 더 나은 삶을 살 수 있도록 이끌었습니다.


지능과 지식


문명의 이기는 자연이 무상으로 제공한 것이 아니고, 모두 인간이 외부에 힘을 작용하여 만든 인공물입니다. 인간이 외부에 힘을 작용하기 위해서는, 힘을 작용하는 방법을 알아내는 것이 필요하였습니다. 이런 능력은 지적 활동으로 지능이 있어야 가능하였습니다.

원시 인류(오스트랄로피테쿠스)가 지구에 나타난 시기를 약 4백만 년 전으로 잡으면, 이들은 생명체로서 생명 유지를 위해 수렵채집활동을 하였습니다. 수렵채집활동은 생명체 내부에너지를 사용하는 육체활동이었습니다. 소비자로서 몸을 써 자연이 생산해 둔 것을 거두기만 하였고, 자신들이 직접 생산에 참여하지는 않았습니다. 하지만 경험과 학습이 이어지면서 도구를 만드는 지능이 생기고, 돌을 깨뜨려서 필요한 도구를 만들 수 있었습니다. 그리고 무려 3백만 년 정도가 흐른 후, 인간의 지능은 깬 돌(뗀석기)을 용도에 맞게 2차로 가공을 하여 간석기로 만들어 사용할 수 있는 정도로 발달하였습니다. 오늘날 지능의 발달 속도에 견주어 볼 때 뗀석기를 간석기로 만드는 데 3백만 년이 걸린 것은 너무나도 느리고, 긴 시간이라고 하겠습니다. 돌을 가는 작업도 육체의 힘을 사용한 것으로 외부 힘을 사용한 것은 아니었습니다.

돌을 갈아서 도구로 만들 정도의 지능을 얻은 인간은 농경과 목축을 할 수 있는 지식을 얻었고, 동물의 힘을 빌려서 농사를 지을 수 있게 되었습니다. 동물의 힘을 생산 활동에 사용한 것은 인간의 노동 강도를 줄이면서도 생산성을 크게 높일 수 있었습니다.

동물의 힘은 외부에 있는 힘으로, 생산 활동에 외부에 있는 힘을 사용한 것은 인류 문명사에서 획기적인 전환이었습니다. 지능이 크게 발달한 인간은 지구 곳곳에 문명을 건설하고, 잉여 생산물의 약탈과 노예 노동력을 확보하기 위해 전쟁을 이어가는 야만의 시대를 열었습니다.


힘의 작용 원리


인간이 외부 힘을 생산에 사용하기 위해서는 힘이 작용하는 원리를 잘 알고 있어야 합니다. 힘의 근원은 에너지와 운동입니다. 힘의 작용에는 힘을 작용하는 주체와 힘을 받는 객체가 있습니다. 주체와 객체는 상대적인 관계로 서로 상호 작용을 하고, 상호 작용하는 힘의 크기는 같습니다(작용 반작용 법칙). 자연은 힘의 주체로서 생활공간에 있는 만물을 객체로 삼아 중력과 전자기력을 작용하고 있습니다.


힘의 주체와 객체 사이에 힘이 작용하는 현상에서 두 가지 면을 살펴볼 수 있습니다. 먼저 살펴볼 면은 힘과 변위의 관계입니다. 힘이 작용하면 뉴턴의 가속도법칙에 따라 객체의 운동상태가 변합니다. 운동상태의 변화는 속도의 변화로 나타나고(F=ma), 공간에서는 운동을 통한 객체의 위치가 바뀌는 것으로 나타납니다(변위). 그런데 운동상태의 변화는 힘이 작용하는 동안에만 일어나고, 힘의 작용이 멈추면, 더 이상 운동상태가 변하지 않고, 달리 말하면 속도의 변화가 생기지 않고 등속 운동을 하게 됩니다. 그러므로 힘의 작용에 따르는 변위도 힘이 작용하는 동안에 객체가 움직인 가속도 구간에만 해당합니다. 등속운동 하는 동안의 위치 변화는 힘의 작용에 따르는 변위가 아닙니다. 그러므로 ‘변위하는 동안’에 객체에 작용한 힘의 총량은 힘을 변위 구간에 대해 모두 더한 값이 됩니다. 객체에 F(N)의 힘이 S(m) 만큼 운동하는 동안 작용하였다면, 변위하는 동안에 객체에 작용한 힘의 총량은 힘 F와 변위 S를 곱하면 얻을 수 있습니다. 과학에서는 이 양을 일(work)이라고 하는데, 생활에서 물건을 옮기고 일을 했다고 말하는 것과 일치하는 개념이 되겠습니다.


주체가 객체에 일을 하면 객체는 속도가 변해 있습니다. 그런데 주체가 한 일의 양과 객체의 속도 변화에 따르는 운동에너지의 변화량이 똑같다는 것을 과학이 밝혔습니다. 객체가 일을 받으면 그만큼 운동에너지가 변한다는 것입니다. 이 관계를 수식으로 나타내면 다음과 같습니다. F는 힘, S는 변위, E(k)는 운동에너지를 나타내는 문자수입니다.

일운동에너지2.jpg

힘과 변위는 모두 벡터물리량으로, 같은 방향의 성분만 곱하는 벡터의 내적을 하였는데, 만약 작용하는 힘의 방향과 운동 방향이 반대 방향이면 계산 결과 값은 음의 수가 나옵니다. 이런 경우는 음의 일을 받았다고 하고, 객체의 운동에너지가 그만큼 줄어든 것입니다. 마찰력이 굴러오는 돌에 마주 보는 방향으로 힘을 작용하여, 음의 일을 하면 멈추어 세울 수가 있습니다. 힘의 작용으로 객체에 음의 일을 하여 돌이 가진 운동에너지를 모두 상쇄시키고 멈추게 한 것입니다. 이 현상에서 음의 일이 일어나는 현상을 잘 알 수 있습니다. 물론 객체가 움직이는 방향과 힘의 작용 방향이 같으면, 양의 일을 하여 객체의 속도는 증가하고 운동에너지도 그만큼 늘어나겠습니다. 힘의 작용이 주체가 가진 운동에너지를 양이나 음으로 객체에 전달한 것입니다. 물론 전체 에너지는 보존됩니다.


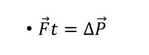
다른 한 면은 힘과 시간의 관계입니다. 시간은 변화의 크기를 나타내는 물리량입니다. 어떤 대상에 변화가 없으면 그 대상에 적용되는 시간은 0입니다. 시곗바늘이 움직일 때 시간이 가는 것이고, 시곗바늘이 멈춰 있으면 시간이 흐르지 않는 것입니다. 시간에 대한 논의는 매우 복잡하므로 다른 글에서 살펴볼 예정이므로, 여기선 물질의 양을 나타내는 것이 질량이고, 차고 더운 정도를 나타내는 것이 온도이듯이, '변화의 크기'를 나타내는 물리량이 시간이라는 것만 이해하도록 하겠습니다. 그러므로 힘과 시간의 관계는 힘의 작용이 만든 변화 그 자체에 주목하는 것입니다. 힘과 변위의 관계에서 살펴본 것처럼, 힘의 작용이 만드는 변화는 변위입니다. 그러므로 힘의 작용에 따르는 시간은 변위라는 변화가 일어나는 동안에 한정되겠습니다. 일의 크기를 구한 것과 같은 방법으로, ‘시간이 흐르는 동안’에 객체에 작용한 힘의 총량은 힘에 시간을 곱하면 얻을 수 있습니다. 이 양을 충격량이라고 구분합니다. 그런데 주체가 시간에 대해 객체에 작용한 충격량과, 객체의 속도 변화에 따르는 운동량의 변화량이 똑같다는 것을 과학이 밝혔습니다. 객체가 힘을 받으면 그만큼 운동량이 변한다는 것입니다. 이 관계를 수식으로 나타내면 다음과 같습니다. P는 운동량을 나타내는 문자수입니다.

충격량운동량2.jpg

힘의 작용이 주체의 운동량을 객체에 전달한 것입니다. 일과 마찬가지로 충격량도 음의 방향으로 작용할 수 있습니다. 물론 전체 운동량은 보존됩니다.


두 가지 면에서 살펴본 내용을 요약하면, 주체가 객체에 힘을 작용하면, 주체가 가진 운동에너지와 운동량을 객체에 전달한다는 것입니다. 충돌계수가 1인 두 당구공의 하나를 세워두고 다른 공을 속도 v로 움직여 정면으로 충돌시키면, 운동한 공은 그 자리에 멈추고 정지한 공은 속도가 v가 되어서 움직입니다. 운동한 공이 가지고 있던 운동량과 운동에너지를 모두 정지한 공에 전달하고 운동한 공은 그 자리에 정지합니다. 두 공은 운동량과 운동에너지를 서로 교환한 것입니다.


외부 힘의 작용


실제에 있어서 힘의 객체는 형태를 유지하고 있으므로 외부 힘이 객체에 작용하면 먼저 훅의 법칙에 따라 탄성력을 작용하고 변형을 합니다. 작용하는 힘이 객체의 변형을 이기고도 남으면, 남는 힘을 계속 작용하여 객체를 운동하게 합니다(뉴턴의 운동법칙). 타자가 친 야구공은 타자가 배트를 통해 작용한 힘을 받아, 먼저 탄성력으로 저항하는 과정에서 일부 힘을 상쇄하여 변형되고 남는 힘을 받아 운동하게 됩니다(그림 참조). 타자는 날아오는 공의 운동량과 운동에너지를 모두 상쇄시키고, 남는 힘으로 공을 멀리 보내는 것입니다. 남은 힘의 에너지와 운동량이 충분하면 홈런이 됩니다.

야구공변형_14942_10082_3014.jpg


운동 방해와 파생힘의 작용


인간이 외부 힘을 생산 활동에 사용하기 위해서는 힘을 만들어야 합니다. 그런 다음에 목적에 맞게 객체를 만들어서 작용시켜야 합니다. 동물의 힘을 사용할 때는 동물이 스스로 힘을 만들므로 인간이 따로 힘을 만들지 않아도 되고, 쟁기 같은 힘을 작용하는 도구만 만들면 되었습니다. 하지만 다른 외부 힘은 인간이 직접 만들어야 하고, 그에 맞는 도구도 따로 만들어야 합니다.


인간이 외부 힘을 작용하기 위해서는 먼저 외부 힘을 만드는 원리를 알아야 합니다. 인간은 운동하는 물체가 운동을 방해받으면 힘을 작용한다는 것을 알았습니다. 이 원리는 경험을 통해 귀납적으로 확인한 원리입니다. 이 원리는 그 당시엔 첨단 과학이었다고 하겠습니다. 그러므로 인간이 이런 외부 힘을 생산에 이용하기 위해서는 먼저 움직이는 힘의 주체를 찾거나 만들어야 합니다. 지능과 창의성이 발달한 인간은 떨어지는 물이나 움직이는 공기 덩어리(바람)의 운동을 힘의 작용에 사용할 수 있다는 것에 주목하고, 이 운동을 방해하여 힘을 작용할 도구로 물레방아(수차)와 풍차를 발명합니다. 그 당시엔 첨단 과학기술이었습니다. 그리고 손재주가 있는 장인이 작업장에서 물레방아와 풍차를 만들어 냅니다. 그 당시엔 첨단 산업기술이었습니다. 이렇게 만들어진 물레방아나 풍차의 힘(동력)은 제분기에 사용하였고, 생산력은 많이 증가하였습니다.


뉴턴이 1687년 프린키피아(자연철학의 수학적 원리)를 출판하여 과학의 출발을 알린 후, 18세기 들어와 과학이 크게 발달하는데, 기체의 압력과 부피, 온도 사이의 관계가 보일-샤를의 법칙으로 밝혀집니다. 오늘날은 아보가드로의 법칙까지 더하여 이상기체의 상태방정식 PV=nRT로 나타냅니다. P는 기체의 압력, V는 부피, n은 기체의 개수(몰수), R은 기체상수, T는 절대온도를 나타내는 문자수입니다. 기체 중에서 온도 변화를 만들기 쉬운 수증기를 실린더 형식의 용기에 가두면(n 일정) 용기의 압력과 대기압이 평형을 이룬 상태를 만들 수 있습니다. 이때 실린더 안의 온도를 높이거나 낮추면 실린더 안의 압력이 올라가거나 낮아져서(수증기의 운동을 방해하는 정도가 바뀌어), 실린더 헤드를 올라가게 하거나 내려가게 할 수 있습니다. 이 힘을 동력으로 이용하면 아래에 있는 것을 위로 올릴 수 있으므로, 광산의 물을 퍼낼 수 있습니다. 이 점에 착안한 창의성 있는 공학자는 석탄을 연소하여 수증기를 데우고, 물을 뿌려서 수증기를 식히는 과정을 반복하는 기계를 만들어, 광산에서 나오는 낮은 곳의 물을 퍼내는 작업을 합니다. 이 기계를, 수증기를 이용하였다고 하여 증기기관이라고 합니다. 모두 그 당시의 첨단 과학기술, 산업기술의 결과물입니다.


이 기계의 단점은 수증기를 식히면 실린더의 온도도 따라서 내려가므로, 다시 온도를 올리는데 많은 석탄이 필요하다는 것입니다. 경제성이 떨어지는 것입니다. 그런데 영국의 공학자 제임스 와트(James Watt: 1736~1819)는 냉각과정을 실린더에서 분리하여 외부에서 식히는 구조변경을 하여 열의 손실을 줄입니다(응축기). 또 상하 운동만 가능하였던 기계에 구동축을 연결하여 회전운동이 가능하게 만들었습니다. 그 결과 와트의 증기기관은 다양한 용도로 사용할 수 있게 되었고, 모든 영역에서 급격한 생산력의 확대를 가져오게 됩니다. 와트의 증기기관은 명실상부하게 외부 힘을 생산에 본격적으로 사용한 출발선이었습니다. 그래서 와트의 증기기관을 1차 산업혁명을 가져온 발명품으로 받아들입니다.


19세기 중반에 영국의 물리학자 마이클 패러데이(Michael Faraday: 1791~1867)는 전자기유도 현상을 발견하여 전류를 만들 수 있는 원리를 밝혀냅니다. 전자기 유도 현상의 핵심은 전류가 흐를 코일과 자석 사이에서 자기장의 변화를 만드는 것입니다. 운동은 상대적이므로 자석 사이에서 코일을 회전시키거나, 코일 사이에서 자석을 회전시키면 변하는 자기장을 만들 수 있고, 코일에 전류를 흐르게 할 수 있습니다. 회전 과정을 반복해서 코일에 전류를 유도한 것입니다. 그러므로 자석이든 코일이든 회전시키는 것이 필요하고, 이 회전에 사용하는 힘이 인간이 동원하는 외부 힘이 됩니다. 그리고 이 힘을 만드는 원천에 따라 수력발전, 화력발전(수증기 이용), 원자력발전(수증기 이용), 풍력발전, 조력발전 등으로 구분합니다. 전자기유도 현상은 그 당시에 첨단 과학이었습니다. 이 원리에 착안한 창의성 있는 공학자는 발전기를 만들었고, 산업화한 생산과정을 거쳐 온 세상을 전기로 가득 채우게 됩니다.


전류의 3가지 작용


전류는 전자(electron)가 전선 사이의 전압에 근거한 전기력을 받아 전선을 따라 움직이는 것으로, 전자는 운동량과 운동에너지를 가집니다. 이렇게 흐르는 전류는 크게 세 가지 방향으로 사용됩니다.


하나는 전류의 열작용으로 전기가 가진 에너지를 전류를 이용하여 저항이 있는 부하에서 열로 바꾸는 것입니다. 예를 들어 온수코일로 물을 데우거나, 백열등을 밝히거나 전기밥솥으로 밥을 하는 것입니다. 전자는 운동 중에 온수코일을 만나면, 코일을 구성하는 원자의 양전하를 가진 원자핵에 충돌하게 되고, 힘을 작용하여 가지고 있는 에너지를 열에너지로 발산합니다. 충돌한 전자는 여전히 전압의 영향을 받으므로 계속 운동하고 충돌하고 열을 발생하는 과정을 거치면서 전압이 부여하는 모든 운동량과 운동에너지를 소모합니다. 열작용에는 충돌만 하면 되므로 전류는 방향이 바뀌는 교류여도 상관이 없습니다.


또 다른 작용은 전류의 전자기 작용입니다. 전류는 움직이는 전하이므로 자기의 성질을 가집니다. 그러므로 전류는 자석에 의해 힘을 받습니다. 이 원리를 이용하여 창의성 있는 공학자는 전동기(motor)를 만들었습니다. 전동기의 성능과 효율은 전류의 세기에 비례하므로, 회로에서 열작용으로 인한 에너지 손실이 생기지 않도록 전기 저항을 줄이는 것이 중요합니다. 전류의 열작용은 전기 저항이 있어야 하는데, 전자기 작용은 저항이 없는 것이 더 좋습니다. 그러므로 초전도체를 흐르는 전류가 전자기 작용에 가장 이상적입니다. 전동기는 한 방향으로 흐르는 전류가 필요하므로 직류를 사용하여야 하는데, 교류를 사용하면 전류의 방향이 바뀔 때마다 전동기의 회전 방향이 바뀌므로 목적한 회전 동력을 얻을 수 없습니다. 그런데 발전기에서 생산되는 전류는 교류이므로 교류를 사용하면서도 회전 방향이 일정하게 하는 것이 필요합니다. 이런 기능을 할 수 있도록 교류를 사용하는 전동기에는 정류자를 붙입니다. 전류의 전자기 작용에 의한 동력은, 전기의 생산과 송전의 부담이 있지만, 외부 힘이 필요한 모든 곳에 사용할 수 있습니다. 오늘날 공장에서 생산 기계를 가동하는 데 사용하는 동력은 모두 전기에서 나온다고 해도 틀리지 않습니다.


전류의 세 번째 작용은 정보의 전달 수단으로 통신에 사용하는 것입니다. 송신자는 전류에 정보를 실어서 수신자에게 보낼 수 있습니다. 수신자는 전류에 실려 있는 정보를 거꾸로 재생하여 그 내용을 확인할 수 있습니다. 전류에 실린 정보를 전자기파에 옮겨 실어서 수신자에게 전달하면 무선 통신이 이루어집니다.

이런 전류의 작용은 정보통신기술을 포함하여 오늘날 인간이 누리는 전기 문명을 만들었으므로, 전기의 상용화를 2차 산업혁명을 가져온 발명품으로 받아들입니다.


다소 글이 길어졌지만, 인간이 오늘날의 문명을 이루기 위해 꼭 필요하였던 외부 힘이 무엇이었으며, 어떻게 조달하였는지 대강이나마 알 수 있었습니다. 수증기가 가진 운동량과 운동에너지를 이용하는 것이 하나의 큰 줄기였습니다(1차 산업혁명). 그리고 유도 전류를 만들 수 있게 된 다음에는 수증기의 힘도 화력발전과 원자력 발전에서 유도전류를 만드는 데 사용하여, 남는 것은 전기에 의한 힘 하나뿐입니다(2차 산업혁명). 앞으로 새로운 종류의 외부 힘이 나올 수 있을지 알 수 없지만, 어떤 종류의 힘이든 새로운 힘의 근원은 평형을 깨거나 운동을 방해하는 과정에서 얻을 수 있다는 파생힘의 생성 원리는 변하지 않을 것으로 생각합니다.


++ 참고 동영상 ++

* 기체반응의 법칙(보일-샤를의 법칙) https://youtu.be/JsanQEz5olc

* 아보가드로의 법칙 https://youtu.be/pJoUC3BE4YE

* 벡터의 내적 연산 https://youtu.be/Ar9KLZVEpkk

* 일 운동에너지 정리 https://youtu.be/P54C51u0mhM

* 충격량 운동량 정리 https://youtu.be/W00_7Do0gME

keyword
금요일 연재
이전 10화생활 속에 작용하는 힘(3)