brunch

통계학의 치트키, 중심 극한정리

by 여행하는 기획자


만약에 제가 대선을 중심으로 국민 여론을 조사한다는 가정을 해볼께요. 대한민국 국민이 수천만명이 될텐데 저는 이 모수의 여론을 조사하기 위해 일일이 인터뷰를 따고 돌아다니면서 설문지를 돌려야 하는데 과연 그게 가능할까요? 절대 불가능하죠. 어느 세월에 그렇게 하고 있나요 ㅠㅠ 무척 힘들죠...


그때 저를 도와주는 치트키가 있다면 그것은 바로 통계학에서 무척 중요한 '중심 극한 정리'라는 치트키입니다.

역시나 통계..이름이 좀 이상하죠? '중심 극한 정리...'라니...


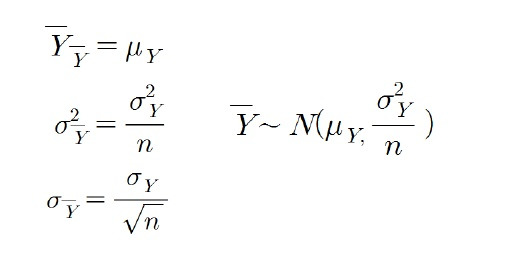
제가 큰 바구니에 10개의 공을 넣었습니다. 여기서 3개만 꼽아 볼게요 그런다음 다시 3개만 꼽아 볼께요. 또 3개만.. 또 3개만.. 이렇게 계속 공을 뽑은 다음 평균값을 구해봅니다. 참 재미있게도 그 평균값은 계속 가운데로 몰리는 경향을 보입니다. 결국 모집단의 평균과 가까워지는 것이죠. 즉 정규분포를 이루게 됩니다. 모집단이 어떻든간 충분히 표본이 많다면 정규분포를 따르는 것, 바로 이것이 중심 극한 정리의 핵심이라고 볼 수 있답니다.


4.jpg


제가 통계에 대해 아무것도 모를때 (실은 지금도 잘 모르지만) 오해를 했던 부분이 어차피 모든게 가정이 아닌까? 추측만으로 신빙성이 있을까?라는 사실이었습니다. 그러니까 전 국민의 소득 수준, 교육 수준 이런 것은 일일이 그 사람들을 인터뷰 하지 않는이상 어떻게 통계치를 추출하여 이야기 할 수 있을까? 그게 불가능하다면 거짓된 논리가 아닐까? 라는 생각을 참 많이 하였어요. 이제와서 전 국민을 인터뷰하지 않아 모든 사람들을 대변한 통계는 여전히 100% 확신을 하지 못하지만 그래도 신빙성이 있다고 믿게 된 것은 바로 이 '중심 극한의 정리 때문'이 아닐까 생각해봅니다.


모처럼 날씨가 참 좋은 어린이날이네요.

어린이날에 이렇게 통계 공부도 하고 참 예전에 비해 제 자신이 많이 발전했다는 생각도 들고

이렇게 통계를 좋아하게 될 줄 몰랐는데 공부를 하면 할수록 뭔가 신기한 이론들도 알게 되니 놀랍기도 하고요.


혹시, 중심 극한의 정리에 대해 궁금하신 부분이 있으시다면 언제든지 연락주세요.

물론, 저도 공부를 해 나가는 과정이긴 하지만요 !






* 흩어지는 순간을 기억하고자 기록합니다.

* @traveler_jo_

* book_jo@naver.com







keyword
작가의 이전글당신이 연구하고 싶은게 뭐야?