스컬트라(Sculptra)는 어떤 시술인가

나이 들어 보이는 얼굴을 채워주는 피부과 시술, 스컬트라 이야기

by Dr장웅철

스컬트라(Sculptra)는 요즘 피부과 시술을 좋아하는 사람이라면 한 번쯤은 들어봤거나 주변에 받은 사람이 있을 것이다. 스컬트라(Sculptra)는 과연 어떤 시술일까? 필러일까, 레이저 같은 것일까?

스컬트라(Sculptra)


결론부터 말하면, 스컬트라는 피부과 등에서 주사시술을 통해 나이 들어 꺼진 얼굴의 부분을 채워주는 시술이다. 보톡스, 필러 시술과 유사한 방법으로 진행되어 의사의 진료 후에 특별한 금기 사항이 없으면 본인이 나이 들어 꺼진 곳 중 채우고 싶은 곳- 팔자주름, 볼살, 눈밑 꺼짐, 이마 등-에 간단한 마취 및 주사시술로 이루어진다. 스컬트라 경험이 많은 의사라면 10~15분 정도면 끝낼 수 있는 시술이다.

스컬트라 시술에 대한 설명 - 출처: 갈더마


내가 스컬트라 시술을 처음 시작한 것은 국내에 처음 스컬트라가 시작된 2010년 경이다. 당시에는 스컬트라 시술을 하는 병원도 많지 않았고, 스컬트라 시술을 가르쳐주는 사람도 없어서 처음에는 필러와 비슷하게 캐뉼라 혹은 바늘을 이용하여 시술을 시작했다. 그러다가 점점 필러와 유사한 점 (볼륨을 채운다)과 차이나는 점 (액체에 더 가까운 형태이고 볼록한 모양보다는 완만한 볼륨감을 지향한다)이 있어 그 특성에 맞게 스컬트라, 필러 또는 병행시술을 해왔다.

그때나 지금이나 스컬트라 시술은 국내의 정서상 필러(사실 정확히는 하이알루론산 필러)를 싫어하는 고객들이 '콜라겐 재생주사'라는 개념으로 스컬트라를 많이 찾았다. 엄밀히 말하면 스컬트라든 쥬베룩이든 필러의 일종이다. 주사로 볼륨감을 채워주는 시술은 필러로 통칭할 수 있지만, 스컬트라는 PLLA라는 성분으로 HA필러처럼 스스로 볼륨감을 유지하기보다는 흡수된 후 그곳에 콜라겐 재생을 목표로 하기 때문에 필러의 느낌을 싫어하는 한국에서 특히 더 인기다.


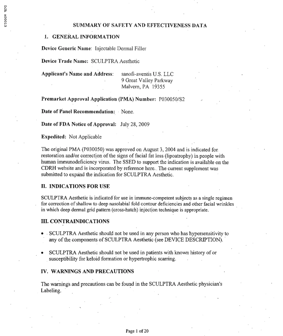
스컬트라 FDA 승인문서

스트라는 본래 '사노피 아벤티스(Sanofi Aventis)'라는 세계적인 제약회사에서 개발되었는데, 현재는 '레스틸렌'필러나 피부과 약품 등으로 유명한 제약회사 '갈더마(Galderma)'가 인수해서 판매하고 있다. 쥬베룩, 에스테필 등 국산 PLLA나 유사 제품도 많이 나오지만, 스컬트라는 아직까지는 가장 임상 경험이나 연구논문이 많으며 FDA에서 승인을 받은 글로벌한 얼굴 피부 볼륨 보충 시술이다.


위 스컬트라 FDA 승인 문서를 보면 팔자주름 등 피부의 주름의 꺼진 곳을 그리드 패턴으로 시술하여 개선하는 목적이라고 적혀있다. 스컬트라를 받지 못하는 사람은 해당 제품에 과민성이 있거나 켈로이드 등 경향이 있는 사람으로 특수한 경우를 제외하고는 스컬트라를 받을 수 있다.


그렇다면 스컬트라를 해야 되는 이유와 받으면 좋은 사람은 어떤 사람인가 알아보자.


나이가 들수록 콜라겐이 감소하고, 자외선 흡연 등에 의해 이는 가속화된다

많은 사람들이 알고 있지만 슬프게도(?) 나이가 들수록 피부의 콜라겐 양은 줄어든다. 유전적인 요소와 자외선, 흡연 등에 의해 이는 가속화될 수 있다. 피부의 콜라겐이 줄어들고 지방 또한 위축되면 20대의 탱탱했던 얼굴을 꺼짐이 생기며 굴곡이 생긴다.


흔히 나이가 들며 광대뼈가 나와 보인다고 표현하는데, 실은 볼가운데 파임, 눈밑 꺼짐 등으로 인하여 광대가 상대적으로 도드라져 보이는 것이다.

스컬트라 시술 전후 사진과 스컬트라 시술 가능한 곳

그래서 나이가 들어 볼살, 팔자주름, 눈밑 꺼짐 등이 생긴 사람들은 스컬트라가 좋다. 위 그림에는 안 나와있지만 이마도 스컬트라가 시술 가능한 부위로 추가되었다. 나도 개인적으로 스컬트라 이마 시술을 많이 하며 필러보다도 더 부드러운 모양이 나와 추천하는 편이다.


스컬트라 시술과정


스컬트라는 꺼진 부위에 간단한 마취 주사 후 보통 캐뉼라를 이용하여 부채꼴 모양 테크닉으로 채워 넣는다. 당연히 얼굴의 혈관이 지나가는 길과 깊이는 주의할 필요가 있다. 다만 필러, 스컬트라 시술을 오래 해 온 의사는 혈관이 가는 위치와 깊이를 잘 알고 주입 전에 음압으로 확인해 보는 기술 등을 이용하여 안전하게 시술할 수 있다. 나는 흔히 스컬트라, 필러 시술이 자동차 운전과 비슷하다고 생각한다. 위험할 수 있지만, 우리가 잘 알고 안전만 지키면 평생 사고 없이 할 수 있는 것이 자동차 운전과 스컬트라다.


스컬트라 시술 후 콜라겐이 차올라 어린 피부가 되는 원리

스컬트라가 주입된 곳에는 대식세포(Macophage)가 와서 불필요한 부분을 먹어치우고, 그곳에 섬유모세포(Fibroblast)가 와서 새 콜라겐을 만든다. 그래서 스컬트라 시술 약 6주 후에는 새로 만들어진 콜라겐이 차올라 꺼진 팔자주름, 볼살 눈밑 같은 곳이 차오르고 개선되는 것이다.

스컬트라 시술 초기에는 한 바이알 당 4~6cc 정도의 희석법이 포장에 쓰여 있었는데, 최근에는 8~10cc의 희석법으로 바뀌었다. 이런 희석법을 사용한 이후로는 결절의 발생을 거의 볼 수 없다. 스컬트라의 시술방법은 6주 간격 3회 정도를 권장한다. 한 번에 1~2 바이알을 사용하는데, 꺼진 곳이 1~2군데라면 1 바이알씩 3번, 볼 파임 등 넓은 부분이 있다면 2 바이알씩 3번을 추천한다.


스컬트라의 유지기간은 2~3년 정도로 보기 때문에 스컬트라를 받은 사람들은 보통 볼륨 보충뿐만 아니라 콜라겐 재생으로 피부결도 나아지는 걸 느껴 2~3년에 한 번씩 재시술을 받으러 방문한다.

스컬트라 25주년 기념행사에 참여했던 사진

스컬트라는 필러보다 나은 시술일까? 나이 들어 꺼지는 얼굴에 지방이식이나 필러보다 나은 종착지가 될 수 있을까? 나는 2008년부터 필러 시술을 스컬트라는 15년 이상 해왔는데 스컬트라 시술은 분명히 많은 장점을 가지고 있지만 필러나 다른 시술과 시술 부위에 따라, 받는 고객의 성향에 따라 적절히 선택하는 것이 가장 만족도가 높고 부작용이 적은 시술이 될 거라고 생각한다.


세상에 완벽한 피부과 시술은 없지만, 노력하고 경험을 쌓으면 어제보다 더 나은 오늘의 시술은 가능하다.



글 장웅철 원장 (W클리닉 삼성점 대표원장/ 브랜드 총괄)


keyword
작가의 이전글소프웨이브(Sofwave), 울쎄라를 위협하는 리프팅