brunch

돈을 많이 벌면 더 행복해질까?

건강한 멘탈을 위한 돈과 행복의 상관관계

by 심리학자 이선경
DALL·E 2023-04-18 22.03.37 - money and happyness.png
돈이 많은 사람은 참 행복하겠다!
나도 연봉 1억이 될 수 있을까?
경제적 자유를 달성해야만 한다



돈과 행복 중 더 중요한 것을 모르는 사람은 없습니다. 그렇지만 우리는 돈을 많이 벌고 싶어합니다. 경제적 자유는 2023년 MZ세대를 넘어 10대에서 60대까지 정말 많은 분들이 하나같이 중요하게 생각하는 단어이자 목표지향점입니다. 돈을 많이 벌면 행복을 더 많이 느낄 거라는 생각 때문입니다. 이 생각은 어디까지 맞고 어디까지 틀릴까요?



돈을 많이 벌면 행복할까?


image.png?type=w1600


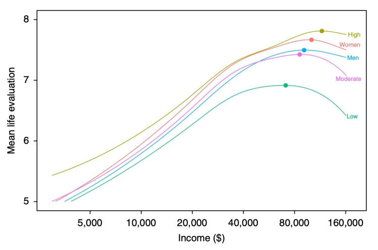
2018년 주목받는 한 논문이 등장합니다. 소득과 행복이 관련 있다는 것은 누구나 알고 있지만 정확히 얼마나 본질적으로 연결되어 있는지에 대한 빅데이터 연구를 진행했기 때문입니다.


미국 퍼듀대학교의 젭 박사팀은 전 세계 170만 명 이상의 대표 표본을 대상으로 한 갤럽 세계 여론조사의 데이터를 사용하여 이 질문에 대해 살펴봅니다.


'소득 만족'의 지점을 통계적으로 파악하였는데 그 금액이 다음과 같았습니다.


전 세계적으로 삶의 만족도는 9만5천 달러, 정서적 웰빙은 6만~7만5천 달러에서 만족감을 느끼는 것으로 나타났습니다.


우리나라 돈으로 환산하면 전 세계적인 삶의 만족도는 1억 2500만원, 정서적 웰빙의 만족은 8000만원에서 1억 사이였습니다.


20230418_214915.jpg


즉 우리가 알고 있는 것처럼 억대연봉인 사람은 정서적으로나 삶에 만족감이 높은 것으로 밝혀졌습니다. 그렇다면 우리나라에 억대연봉인 사람은 몇%일까요?



20230418_215936.jpg


국세통계포털 정보에 따르면 서울 강남에 사는 40대 남성이 연봉1억을 벌 경우 전국에서 5~6%에 해당하는 것으로 나타났습니다. 생각한 내용과 비슷한가요? 아니면 완전히 다른가요?



왜 연봉 1억을 넘으면
돈과 행복의 비례 관계가 사라질까?



그 이유는 연봉이 오르면 소유욕(물욕)이 증가하기 때문입니다. 연봉 2400만원 A씨는 평소 돈을 아끼고 아껴서 100만원 짜리 명품지갑을 삽니다! 그리고 아껴쓰며 행복해하죠. 반면 연봉 20억인 B씨는 백화점을 지나가다가 가벼운 마음으로 200만원짜리 귀걸이를 삽니다. 그리고 그날은 잠깐 기분전환이 되지만 다음날까지는 딱히 행복이 이어지지 않습니다.


소득이 높아지면 갖고 싶은 물건의 가격도 높아집니다. 그리고 점차 부동산이나 고급 자동차, 귀금속 등으로 욕구를 채우게 되고 점차 기준점이 높아지면서 욕구불만이 생기게 되는 것입니다.


이 연구 외에도 비슷한 연구는 많은데, 결국 소득이 일정수준을 넘으면 행복감이 더 이상 증가하지 않는 다는 곡선형 그래프는 동일하게 나왔습니다.








연봉 1억이 상위 5%면
우리나라에서 충분히 행복한 사람은
5%밖에 안될까?



아마 이 대답에는 누구라도 아니요! 라는 대답을 할 수 있을 것입니다. 우리의 행복은 돈과 어느정도는 비례하지만 돈으로만 설명되지 않기 때문입니다.


한국보건사회연구원의 '한국인의 행복과 삶의 질에 관한 종합연구'에서 국민 5000명을 대상으로 2019년 조사한 결과를 보면 행복에 필요한 것을 알 수 있습니다.


20230418_215240.jpg


누가 뭐라고 해도 좋은 배우자와 행복한 가정을 이루는 것이 중요합니다. 전체 31%를 차지했습니다. 이어서 건강하게 사는 것이 26%를 차지했습니다.


즉, 좋은 가정에서 건강하게 산다면 그것이 행복이라는 것이죠. 우리는 왜 경제적 자유를 달성하려고 하면서 좋은 가정과 건강하게 사는 것에는 감사하지 못하는 것일까요? 돈과 명성을 얻는것은 전체 12%밖에 되지 않으면서 말입니다.


몇가지 명언들을 기억하면서 우리의 행복을 생각해봐야겠습니다.





행복은 무엇보다 건강 속에 있다
G. W. 커티스

행복하게 산다는 것은 마음의 평온함을 뜻한다
시세로

돈으로 살 수 있는 행복이라 불리는 상품은 없다
헨리 벤 다이크

마음이 어진 사람은 조그마한 집에 살아도 행복하다
홍자성


행복의 원칙 세 가지
어떤 일을 할 것
어떤 사람을 사랑할 것
어떤 일에 희망을 가질 것
칸트



keyword
매거진의 이전글멘탈, 어디서부터 다시 시작해야 할까?