brunch

고객 생애 가치 (CLV) 란 무엇일까?

by 손용호

더 많은 디지털 마케팅 관련 정보는 https://goo.gl/444YHE 이곳으로 오세요^^


오늘은 고객 생애 가치(Customer Lifetime Value, CLV)라는 개념에 대해 알아보겠습니다. CLV는 ‘고객이 우리 서비스를 이용하는 총 기간 내에 얼마큼의 이익을 주었는가?’를 돈으로 계산한 것입니다. CLV는 일상생활에서도 많이 볼 수 있습니다. 실제 저의 사례를 들어보겠습니다. 예전에 어떤 피자집에 갔습니다. 그 피자집을 처음 방문하게 된 계기는 신촌 근처 괜찮은 피자집을 한동안 찾는 중 어떤 맛집 어플을 통해 알게 되었고, 그 후 피자를 먹으려고 검색을 했는데 그 피자집이 나와 가게되었습니다.


나:”여기 포테이토 피자 하나 주세요”

직원:”피자 나왔습니다. 맛있게 드세요~”

나:”?… 이건 페퍼로니 아닌가요? 포테이토 시켰는데, 어쩔 수 없죠 그냥 먹을게요…”

계산하러 갔을 때 직원은 “오늘 드신 피자값은 받지 않겠습니다 . 다음에 또 와주세요^^”


라고 하며 1만원 할인 쿠폰을 주었습니다. 피자가격은 5만원에 할인 쿠폰 1만원 이들에게 손해는 6만원입니다. 정확하게는 고객 획득 비용, 맛집 어플과 검색 엔진을 통한 광고비 1만원을 포함해서 총 7만원 손해입니다. 왜 이렇게 했을까요? 이것이 바로 CLV를 높이기 위해서입니다. 제가 만약 기분이 상한 채 피자를 먹고 5만원을 냈고, 그 후 더이상 그 피자집을 가지 않았다면 이익은 (마진율이 30%라는 가정 하에) 5천원(5만원 x 30% – 1만원) 입니다.


그러나 이러한 고객 응대에 감동받아 1년동안 피자집을 애용하여 총 50만원을 사용했습니다. 그렇다면 이익은 15만원(50만원 x 30%)에서 – (첫방문 피자무료 제공 5만원, + 할인 쿠폰 1만원, + 획득비용 1만원)은 8만원 입니다.


다음 해에는 자주 이용하다보니 맛도 괜찮아서 계속 가게 되어 이번엔 친구들도 데려가 총 1년 동안 60만원을 사용했습니다. 자주 이용하니 가게 사장님도 사이드 메뉴 무료 이용권을 주었습니다. 이익은 18만원(60만원 x 30%)에서 – (사이드 메뉴 무료 이용권 2만원)은 16만원 입니다. 다음다음 해부터는 지방으로 이사를 하게 되어 더 이상 그 피자집을 가지않게 되었습니다.


예시에서 한번 방문후 피자집을 이용하지 않았을 경우 CLV는 5천원 입니다. 그러나 2년간 이용을 했을 경우 CLV는 8만원+16만원=24만원 입니다.


고객 생애 가치(CLV) = (첫 해에 고객이 가져다 준 이익의 총합) – (신규 고객 유치에 들어간 비용)
+ (둘째 해에 고객이 남아 있을 확률) * ((둘째 해에 고객이 가져다 준 이익의 총합) – (고객 유지에 들어간 비용))
+ (셋째 해에 고객이 남아 있을 확률) * ((셋째 해에 고객이 가져다 준 이익의 총합) – (고객 유지에 들어간 비용))
+ …


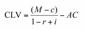
이렇듯 이를 수식으로 간단하게 나타내면 다음과 같은 공식으로 나타낼 수 있습니다.

screen-shot-2011-11-20-at-10-44-42-am-300x107.png

M: 고객 1인당 평균 매출. 보통 1년 단위로 계산한다.

c: 고객 1인당 평균 비용. 보통 1년 단위로 계산한다.

r: 고객 유지 비율 (retention rate), 즉 어떤 고객이 그 다음 해에도 여전히 고객으로 남아 있을 확률

i: 이자율 또는 할인율

AC: 고객 획득 비용 (Acquisition Cost). 고객이 첫 방문 또는 첫 구매를 하도록 하는데 드는 비용

출처:https://sungmooncho.com/2011/11/21/customer-lifetime-value/


clv1-300x174.png 고객 유지 비율 변화에 따른 CLV


clv2-300x184.png 고객 1인당 수익 변화에 따른 CLV

출처:https://sungmooncho.com/2011/11/21/customer-lifetime-value/


CLV를 통해 얻을수 있는 핵심은 다음과 같습니다.

가장 중요한것은 고객 유지율 입니다. ‘얼마나 오랫동안 고객이 우리 서비스를 이용하는가?’ 는 CLV의 핵심이자 가장 중요한 요소입니다. 고객 유지율이 높을수록 고객 생애 가치는 큰 폭으로 상승합니다. 여기서 리텐션이 왜 중요한지를 알 수 있습니다. 고객 1인당 기여액 또한 CLV를 높이는 중요한 요소입니다. 그러므로 CLV를 이해한다면 ‘당장 매출을 높이자’ 라는 생각보단 어떻게 하면 효과적인 마케팅을 통해 고객 획득 비용을 줄이고, 1인당 기여액을 늘리고, 고객 유지율을 높일 것인가를 집중적으로 생각해야 합니다. 정말 어렵지만, 정말 중요한 개념인 CLV를 알아보는 시간이였습니다.


디지털 마케팅 관련 정보 보러가기 (클릭)


(참고)

Customer Lifetime Value (Wikipedia)
sungmooncho.com/2011/11/21/customer-lifetime-value

keyword
작가의 이전글디지털 마케팅 필수 용어 Best20