brunch

Physics as a Second Language

11 장

by 윤금현

11 장



이제 벡터의 곱하기를 해 볼까요? 실제로 물리학의 문장들은 벡터들의 곱하기로 이루어져 있습니다. 그러므로 더하기 빼기 보다 곱하기가 훨씬 더 중요합니다.

벡터의 곱하기에는 두 가지 종류가 있습니다. 스칼라 곱과 벡터 곱. 영어로도 해봅시다. 스칼라 프러덕트와 벡터 프러덕트. 프러덕트는 product입니다. 두 곱하기는 정의이므로 그냥 받아들이면 됩니다.


그럼 먼저 scalar product.



번역하면, [두 벡터의 스칼라 곱은 각 벡터의 크기를 곱한 다음, 거기에 두 벡터의 사잇각의 코사인 값을 다시 곱한다. 그리고 이 값은 스칼라이다.]


결국 요상스런 번역이 나오고야 말았습니다. 하지만 어쩔 수가 없습니다. 정의이니까요. 코사인이 뭔지 기억이 가물가물하면, 고교 수학책을 꺼내보거나, 아니면 인터넷에서 검색을 하면 될 것입니다. 그리고 꼭 알아야 할 것은, 코사인 구십 도는 영이라는 사실!


이제 두 번째인 vector producr.


스크린샷 2017-11-23 오후 1.55.41.png


번역하면, [두 벡터의 벡터 곱은 각 벡터의 크기를 곱한 다음, 거기에 두 벡터의 사잇각의 사인 값을 다시 곱한다. 그리고 이 값은 벡터이다. 그 방향은 단위 벡터인 유 방향이다.]


위의 스칼라 곱보다 더욱 더 요상한 번역이 되었습니다. 특히 벡터 곱은 결과물이 벡터이므로, 그 방향이 표시가 되어야 하며, 일단 그 방향은 '유 캐럿’이라는 단위 벡터를 사용하였습니다. 실제로 유 캐럿의 방향은, 오른손(왼손은 안됩니다!)의 엄지를 제외한 네 손가락을 벡터 에이의 방향으로 뻗은 다음, 벡터 비 방향으로 구부려 줍니다. 그 다음 엄지를 척 세웁니다. 바로 이 엄지의 방향이 유 캐럿의 방향이 되겠습니다. 다들 손가락을 구부리고 계신가요?


그러면 두 벡터를 가지고 위의 두 가지 곱하기를 해보겠습니다. 그러나 사인이나 코사인을 사용하지 않고, 벡터의 문법을 가지고 하겠습니다. 고교 때 배웠던 분배 법칙 또는 배분 법칙을 기억해내야 되겠습니다.

영어를 예로 들자면, 영어를 잘 하기 위해서는, 아무래도 영어 단어나 문장을 많이 봐야겠지요? 마찬가지로 물리학을 잘 하려면, 물리학의 문장을 자주 보는게 좋습니다.



번역하면, [두 벡터의 스칼라 곱은, 두 벡터의 모든 성분에 대하여 스칼라 곱을 한다.]


그 다음 스텝은 하나만 하겠습니다.


스크린샷 2017-11-23 오후 2.00.44.png


번역하면, [스칼라는 스칼라끼리, 벡터는 벡터끼리 정리한다.]


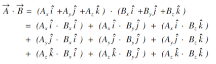
그럼 위의 위에 있는 식의 아홉 개의 괄호를 정리할까요?



구태여 번역할 필요는 없겠습니다. 여기에서 스칼라 곱의 정의를 다시 한 번 생각해 볼까요? 두 벡터의 사잇각의 코사인 값을 곱하는데, 코사인 구십 도는 영(0)이었습니다. 그럼 코사인 영 도는 얼마일까요? 이건 일(1)입니다.


아이 캐럿과 제이 캐럿 그리고 케이 캐럿은, 각각, 엑스 축, 와이 축 그리고 제트 축의 단위 벡터이므로, 세 단위벡터는 서로 수직하고 있게 되지요. 그러므로, 아래와 같이 변합니다.



그러므로, 위의 아홉 개의 항 중에서, 여섯 개는 영으로 사라지고, 오직 세 개의 항만 남게 됩니다. 아이 캐럿과 아이 캐럿, 제이 캐럿과 제이 캐럿 그리고 케이 캐럿과 케이 캐럿이 곱해진 세 개의 항이 생존하게 되겠지요. 위의 아홉 개의 항을 보니까, 엑스 성분끼리, 와이 성분끼리 그리고 제트 성분끼리 곱해진 항만 남는다는 것을 눈치챘을 겁니다.



번역하면, [두 벡터의 스칼라 곱은 같은 방향의 성분끼리 곱한 다음, 그 모두를 더한다.]


첨가하자면, 두 벡터의 스칼라 곱을 벡터의 크기와 코사인 값을 이용하여 계산하여도, 위의 각 성분의 값끼리 계산한 결과와 동일합니다. 다르면 큰일나지요.


정말로 입에서 야옹 야옹 소리가 나올 것만 같아서, 벡터 프러덕트는, 다음에 해야 되겠습니다.

keyword