brunch

Physics as a Second Language

12 장

by 윤금현

12 장



벡터 프러덕트를 해볼까요? 정의에 대하여는 했었습니다만, 기억을 되살리기 위하여 다시 한 번 쓰겠습니다.



번역하면, [두 벡터의 벡터 곱은 각 벡터의 크기를 곱한 다음, 거기에 두 벡터의 사잇각의 사인 값을 다시 곱한다. 그리고 이 값은 벡터이다. 그 방향은 단위 벡터인 유 방향이다.]


기억이 나시는지요? 그리고 스칼라 프러덕트는 두 벡터의 사이에 점이 있으므로, 닷 프러덕트(dot product)라고도 하고, 벡터 프러덕트는, 곱하기가 있으므로, 크로스 프러덕트(cross product)라고도 합니다.


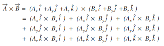
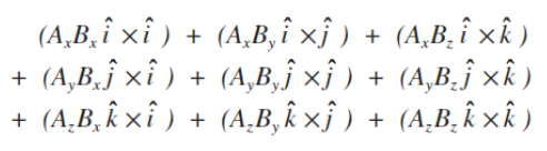
그럼 두 벡터의 벡터 곱을 하겠습니다. 스칼라 곱의 경우와 마찬가지고, 두 벡터의 성분을 이용하겠습니다.



번역하면, [두 벡터의 벡터 곱은, 두 벡터의 모든 성분에 대하여 벡터 곱을 한다.]


이제 위의 아홉 개의 항을 전부 풀어봐야 합니다.



번역하면, [스칼라는 스칼라끼리, 벡터는 벡터끼리 정리한다.]


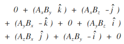
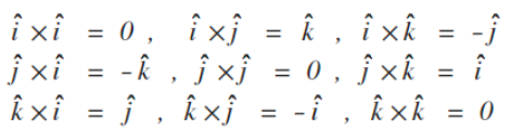
아이 캐럿과 제이 캐럿 그리고 케이 캐럿은, 각각, 엑스 축, 와이 축 그리고 제트 축의 단위 벡터이므로, 세 단위벡터는 서로 수직하고 있게 되지요. 그러므로, 각 단위벡터들의 벡터 곱을 하면, 사인 영 도, 아니면 사인 구십 도의 값을 대입해야 합니다. 사인 영 도는 영이고, 사인 구십 도는 일입니다. 그런데, 여기에서 독특한 점이 있습니다. 아이 캐럿과 제이 캐럿을 벡터 곱을 하면 케이 캐럿이 되고, 반대로 제이 캐럿과 아이 캐럿을 벡터 곱을 하면, 마이너스(-) 케이 캐럿이 됩니다. 오른손 법칙에 따라서 그렇게 해야 됩니다. 어느 벡터가 먼저 오느냐에 따라 계산 결과가 달라집니다. 즉, 교환법칙이 성립하지 않지요. 그럼 결과를 볼까요?



세 항은 영으로 사라지지만, 여섯 개의 항은 남았습니다. 그리고 그 중 세 항은 양수이고, 다른 세 항은 음수입니다. 여기에서 암기를 위한 기술이 들어갑니다. 사이클릭 오더라고 하는데, 영어로는 cyclic order 입니다. 수학의 이런저런 분야에 쓰이지만, 여기에서는 간단히 보겠습니다. 그러니까, 아이, 제이가 순서대로 나오면 양수 케이가 되고, 순서가 바뀌면 음수 케이가 됩니다. 예를 들면, 첫 줄의 두 번째 항, 아이 캐럿 곱하기 제이 캐럿은 케이 캐럿이 되고, 두 번째 줄의 첫 항, 제이 캐럿 곱하기 아이 캐럿은 마이너스 케이 캐럿이 됩니다. 다른 것들도 마찬가지입니다. 같은 아이 캐럿끼리는 평행하므로, 사인 영도는 영에 의해서 영이 되겠지요. 전부 정리하면,



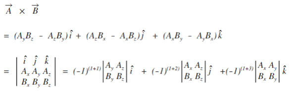
이제 위의 항들을 같은 캐럿을 가진 것끼리 모아야 합니다. 그래야 보기가 좋거든요.



번역하면, [두 벡터의 벡터 곱은 위에 보이는 것과 같이 계산한다.]


번역이 형편없지만, 어쩔 수가 없습니다. 그런데, 물리학에서는 (수학일 수도 있습니다만), 위의 복잡해 보이는 결과를 쉽게 만들어 낼 수 있는 노테이션을 다시 만들었습니다. 이제 이 노테이션을 볼 차례가 되었습니다. 아직 가야할 길이 남아 있습니다.



잘못하면, 입에서 @#$%^&*이 나올 수도 있습니다만, 참아 주시기를 정중히 부탁드리겠습니다.

위의 세 번째 줄은 수학적인 약속입니다. 그러니까, 문법이지요. 여기에서 말로 설명하기에는, 말의 부족함을 느낍니다. 그러므로, 수학책을 찾아보시거나, 아니면......, 그냥 잊어버리세요. 우리의 삶에 그다지 큰 영향을 주는 것은 아니랍니다.

오늘은 아무리 귀여운 매양이라도, 한 대 치고 싶습니다만....... 어쨌든, 벡터는 이것으로 일단 종료하고(물론 벡터가 이것으로 끝난 것은 아닙니다.), 고전역학 역시 이것으로 일단락짓겠습니다.

keyword