brunch

1. 다항식의 연산

Unit과 Dimension

by 이영란

사범대 수학교육과에 합격하고 처음 과외지도를 한 학생은 중학교 1학년 사돈조카였다. 정확히 말하면 고종사촌오빠의 부인의 조카인데 3촌도 아닌 5촌 조카였으니, 정말 사돈의 팔촌 정도의 거리였을 것이다.


수업을 시작한지 며칠 되지 않은 어느날, 그 친구가 2x-x를 2라고 대답해 뒷목을 잡으며 아이를 바보 취급했던 일이 있다. 교사로서 내 평생에 두고두고 창피하고 미안한 기억으로 남는 학생 중 한 명이다.

이 친구가 한 실수는, 처음으로 미지수(아직 모르는 수)를 네모, 세모가 아닌 알파벳 문자로 나타내고 조작하는 것을 배우는 과정에서 그 표현법에 대한 약속을 잘 숙지하지 못하여 저지른 단순한 오류였다.

이건 아이의 실수라기보다는 차근차근 unit(단위)에 대해 설명해주지 못한 선생님의 잘못에서 온 혼동일 수 있는데, 그 때 그 아이에게 제대로 친절히 설명해주지 않고 다그치기만 했던 것이 교사로서 두고두고 미안한 기억으로 남아있다. 이후 고1 첫 단원인 다항식의 연산을 시작할 때면 학생들에게 긴 시간 이 주제에 대해 얘기하곤 한다. 그 옛날 내가 상처 준 사돈의 팔촌 조카님을 향한 속죄의 심정을 가지고...


그래서 처음으로 다룰 주제는, unitdimension이다.



Unit - 단위


우리가 배웠던 수에도 단위가 있다. 출발점이 있다는 말이다. 그 최소단위는 1이다.

1+1=2, 1+1+1=3, 이렇게 1을 쌓아가며 자연수 집합이 만들어졌다. 자연수끼리 빼다보니 3-5=-2 같은 음의 정수도 만들어야 했다. 이 뿐인가? 살다보니 사과 하나를 세 명이 나눠먹어야하는 상황도 생겼다. 1/3.


자연수를 사칙연산하며 수가 확장되어 갔고, 이렇게 만들어진 모든 수들은 1이라는 unit에서 나온 수들이다. 이들은 모두 정수의 비율(분수)로 표현될 수 있었으므로 유리수(있을 유, 비율 리)라 불리웠다. 얘네들은 소수로 표현하면 끝이 있거나(유한소수) 무한히 나가더라도 뭔가 반복되는 구간을 가진다(순환하는 무한소수).


그러던 어느날 무리수라는 것이 발견되었다. 얘네들은 분명 눈 앞에 보이는 존재하는 수가 확실한데 도무지 표현할 도구가 없었다.

세상은 유리수로 이루어져 있다고 주장하던 피타고라스 학파에서, 피타고라스 정리로 보여줄 수 있는 이런 수 x 를, 학파의 멤버였던 사람이 발견했다는 것은 참으로 아이러니이다.

인터넷에서 퍼왔는데 히파수스가 진짜 이렇게 생기지는 않았을 것이다. 그래도 왠지 우리는 그를 기억해주어야 할 것만 같다.

'여기 유리수가 아닌 수가 있어요'라고 소리쳤던 이 히파수스는 그 사실을 숨기려는 피타고라스 학파에 의해 살해당했다지만 그 사람 하나 없애버린다고 언제까지고 감추어질 문제는 아니었다. 결국 유리수와 달리 n/m(n,m은 정수)의 꼴로 표현되지 않는 이런 수를 무리수(없을 무, 비율 리)라 이름 했다.


그런데 진짜 문제는 이런 수를 표현할 문자(숫자, letter)를 찾지 못했다는 것이다. 정수와 정수의 비율이 아니니 분수로 표현도 못하고, 소수로 써보려고 했으나 끝이 나지도, 반복되는 패턴이 있지도 않았다(비순환무한소수).

더 충격인건, 너무나 빽빽히 수직선을 채우고 있어 그들 외의 다른 수가 끼어들 틈이 전혀 없어보이는 유리수들보다, 그 사이사이에 어떻게 끼어들어가 있었는지 모르겠는 무리수들이 수적으로 훨씬 더 많다는 사실이다. 이건 집합론(Set Theory)을 완성한 칸토어가 증명했다. 재미난 칸토어의 무한집합 이야기는 다음에 따로 하도록 하자.


자, 이렇게 혜성같이 등장한, 원래부터 존재했으나 발견되지 못했던 수인 무리수를 분수로 표현하자니 일단 이들은 두 정수의 비가 아니고(n/m으로 표현 불가), 소수로 표현하려니 끝이 나지를 않는다(순환하지 않는 무한소수). (number)는 있는데 이를 표현할 숫자(letter)는 없는것이다. 그래서 어거지로 만들어낸 기호가 루트(root)이다.

라는 방정식의 근이 되는 수는 1.414보다 조금 큰 수이기는 한데 분수로도 소수로도 표현이 안되니, 그냥 '제곱하면 2가 되는 그 애'라는 뜻으로

기호를 만들어

라고 쓰기 시작한 것이다.


root는 뿌리라는 뜻이다. 방정식의 '해 또는 근'이라고 할 때 이 은 '방정식에서 대체 x가 무엇이었길래 제곱했더니 2가 되었는지 그 뿌리를 찾아가볼까?'해서 찾아낸 근원의 의미이다.

(또다른 이름 는 sun이 아니고, 방정식을 해결하다, solution의 의미...^^;)


이런 무리수들은 단위가 1인 유리수와 근본이 다르다. 단위가 다르다는 말이다. 아예 다른 집안 구성원이다. 그래서 유리수와 무리수는 더하거나 뺄 수가 없는 것이다.


무리수끼리도 단위가 다르면 더하거나 뺄 수 없다. 무리수끼리 연산을 할 때도 그 단위를 찾는 것은 그래서 매우 중요하다.

이렇게 다양한 항들이 있을때 우리는 그 정체를 잘 밝혀내야해서 루트 기호 안에서 제곱이 되는 수는 최대한 바깥으로 빼낸다. 그러면 결과는 이렇다.

루트4는 무리수로 보이지만 사실은 유리수인 2이고, 루트8이나 루트27은 또 다른 단위를 가지는 다른 집안 같았으나 알고보니 루트2, 루트3 집안 아이였다.


그럼 여기서 퀴즈!

루트6은 루트2 집안일까 루트3 집안일까?

맞다. 이 아이는 루트2도 루트3도 아닌 another 집안인 루트6이라는 집안 아이이다.

이렇게 단위가 같은 항들을 찾았으면 이들을 동류항이라 하고 서로 더하거나 뺄 수가 있다. 단위 앞에 붙은 수가 그 양을 나타내는 것이기 때문이다.


2x-x=2라고 했던 사돈의 팔촌 조카님에게 'x가 2개 있는 것에서 x(앞에 1이 생략되었으므로) 하나를 빼면 x가 하나만 남으니 답은 x'라고 얘기해주는게 뭐가 그리 어려웠는지.


그럼 위의 문제를 한 번 풀어볼까?


여기서 두 번째 퀴즈!

이 아이는 루트2 집안일까? 루트3 집안일까?


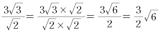
분모를 유리화하라고?

아하! 얘는 루트6 집안 아이였다. 한 눈에 알아보기가 쉽지 않았지만 분모를 유리화하니 보이는구나. 알고보니 얘는 루트6이 3/2개 있는 것이었다.


이렇듯 수를 더하고 뺄 때 단위 unit은 중요한 의미를 가진다. 비슷하게 식에서도 각 항의 unit이 (미정의 변수인) 문자들이 된다.


다음 식을 보자.

여러분은 이제 unit의 개념을 완전히 이해했겠지만 또 다시 이런 질문을 할 수 있다.

'같은 문자 x로 만들어진 x제곱항과 x항은 왜 더이상 더할 수 없는가?' 또는, 'xy항은 x항과 동류항인가, y항과 동류항인가?'


이런 자연스러운 질문의 답을 찾기 위해 이쯤에서 차원 얘기를 꺼내야할 것 같다.



Dimension - 차원


1차원의 세계란 길이만 존재하는 세계이다. 앞뒤로만 움직일 수 있는 기찻길 같은?

그래서 1차원의 공간에서 한 점의 위치를 표현하기 위해서는 -1이나 2 같이 수 하나만 있으면 되어 1차원(One Dimension)이라고 생각할 수도 있다.


2차원의 세계란 넓이로 존재하는 세계이다. 방바닥을 기어다니는 개미는 2차원의 세계를 누비고 다닌다고 할 수 있고, 개미의 특정 위치를 표현하기 위해서는 숫자 두 개가 필요하다.


점A는 (1,3), 점B는 (-2,-1) 이렇게 말이다.

위 식에서 x나 y는 아직 그 값이 정해지지 않았지만 아마도 다른 값을 넣게 될 가능성이 있어 다른 문자를 사용했을 것이다. 지금으로서는 x라는 길이의 막대기가 한 개, y라는 길이의 막대기가 두 개 있다는 것까지만 말할 수 있다.

그리고 이 두 항의 차수를 묻는다면 1차라고 대답하면 된다.


그렇다면 x제곱이나 y제곱은? 이들은 가로와 세로가 x와 x, y와 y인 사각형이다.

2차원상의 도형을 연상할 수 있고 차수를 묻는다면 2차라고 대답하면 된다.

그렇다면 xy항은 대체 몇 차항일까?

.

.

.

.

.

.

.

.

.

.

.

.

가로 세로 길이가 x와 y인 2차원상의 도형을 떠올릴 수 있었는가? 그렇다. xy항은 2차항이다.


여러분은 이쯤에서 x세제곱, y세제곱을 머리속에 그리고 있을 것이라 믿는다. 우리는 머리가 좋으니 굳이 그림을 그리지 않겠다. 가로, 세로, 높이가 x, x, x인 정육면체와 y, y, y인 정육면체를 떠올리고 있을것이다. 이들은 3차원 도형들이고 그래서 x세제곱, y세제곱은 모두 3차항이다.

그럼 xyz나 x제곱y, xy제곱은?

똑똑한 여러분을 믿겠다. (3차항이요!!! 라고 자신있게 외치고 계시리라 ^^)


다항식에서는 이렇게 문자로 이루어진 unit을 찾을 수 있으면 쉽게 동류항끼리 계산할 수 있다. 식에서 문자가 안 붙은 항은 상수항이라고 한다. 굳이 차수를 말하자면 0차?

때에 따라서는 x만 혹은 y만을 문자로 보고 차수를 묻기도 하고, 'x에 대하여 내림차순으로 정리하여라'라고 하며 나머지 문자는 숫자처럼 취급하기도 한다.


고1 수학은 수학이라기보다 산수에 가깝다고 했던 말 기억하시는지. 수를 배우고 사칙연산을 열심히 익혔듯이 이제 우리는 식을 가지고 덧셈, 뺄셈, 곱셈, 나눗셈을 아주 능숙하게 할 수 있어야 한다. 생각해보면 뭐 그리 심오하고 수준높은 수학적 의미가 있어서라기보다 우리끼리의 약속에 의한 표현방식이고, 우리는 그 식을 다루는데 능수능란하게 훈련해야한다. 중요한 것은 빠르고, 정확하게. 연습만이 살 길이다. 식의 분배도, 조립제법도 실수없이 빠르게 할 수 있도록 많이 많이 연습하자!
















keyword
이전 13화수학에 고개숙인 친구들에게