김셀러 씨는 온라인 플랫폼에서 물건을 파는 사업을 시작했습니다. 배우자인 나주주 씨와 절반씩 모은 초기 자본금은 1억 원입니다. 이 돈으로 도매가에 재고를 확보해 인터넷에서 마진을 붙여 판매합니다. 자잘한 고정비는 그냥 없다고 칩시다. 매출액에 비례하는 수수료와 세금을 떼면 1년 동안 도매원금의 20%가 이익으로 남습니다. 즉, 언제나 이익은 사업에 투입되는 자본금의 20%라고 하겠습니다. (이 비율을 자기자본이익률, ROE라고 합니다.)
셀러 씨와 주주 씨가 배당을 전혀 원하지 않으면 이 사업의 자본은 매년 1.2배씩 성장합니다. 그러다 10년 뒤에 청산한다고 치면 초기 자본 1억 원의 1.2×1.2×…×1.2(10회)=6.19 배를 돌려받게 됩니다(영원히 배당도 안하고 청산도 안하고 성장만 하는 사업과는 다릅니다). 물론 이건 미래의 현금이니까 두 사람이 원하는 할인율의 열 제곱으로 나누어야 현재 가치가 되겠지요.
이번에는 약간의 배당을 받는 시나리오도 보겠습니다. 가령 이익의 절반, 즉 투입했던 자본의 10%는 당장 배당으로 얻습니다. 나머지 10%만 다음해 재고확보에 재투자합니다. 이 경우 매년 자본은 1.2배가 아니라 1.1배씩 복리 성장합니다. 10년 뒤에는 1.1×1.1×…×1.1(10회)=2.59 배의 자본을 잔여재산으로 확보할 수 있습니다. 역시 할인을 해야 현재 가치가 됩니다. 그리고 매년 발생하는 배당이요. 이익의 절반이니까, 1.1배씩 성장하는 자본의 10%가 배당됩니다. 첫 해 1천만 원, 이듬해 1천1백만 원, 3년 차에는 1천2백1십만 원이네요. 미래에 얻게 될 배당금도 각각 (1+할인율)의 1제곱, 2제곱, 3제곱으로 할인되어 더해져야 이 사업의 현재 가치가 됩니다. 표로 보여드리면 다음과 같습니다.
이런 방식으로도 배당과 잔여재산의 현재 가치를 가늠해볼 수 있습니다. 아이디어는 두 가지 축으로 이루어집니다. 첫째, 이익은 자본으로부터 나온다는 개념입니다. 둘째, 그 이익을 배당과 자본투입으로 구분해서 할인합니다. 자본은 청산할 때 분배되니까 복리로 늘다가 미래에 한꺼번에 할인됩니다. 배당은 매년 지급되니까 각각 할인합니다. 여기서 배당은 자본의 성장을 위해 유보하고도 ‘남은’ 이익입니다. 마치 ‘잉여’ 현금흐름처럼요. 그래서 이 방식을 잔여이익 모형(RIM, Residual Income Model)이라고 합니다.
김셀러 씨의 사업에서 우리는 많은 변수들을 가정했는데요. 자본에서 얻는 이익의 효율(ROE), 수익성이 유지되는 기간(T), 원하는 자본 성장률(k), 할인율(r) 등. 이들은 당연히 얼마든지 달라질 수 있습니다. 지금부터 RIM이 나타내는 현재 가치를 일반화해서 표현해 봅시다. 기본 뼈대는 2부에서처럼 현재 가치 = 배당의 할인된 가치 + 잔여재산의 할인된 가치 의 형태입니다.
매년 배당을 얼마나 받는지부터 보겠습니다. 배당은 이익에서 나오니까 이익을 검토해야 합니다. 향후 얼마 동안, 예컨대 T년 동안 연말 이익은 연초 자기자본 E의 ROE배 규모로 발생합니다. 매년 이익을 두 종류로 쪼갭니다. 유보할 이익(A)과 배당 가능한 이익(B)입니다. 이익A는 김셀러 씨처럼 자기자본(E)의 성장률을 일정하게 유지하기 위해 꼭 필요한 영양분입니다. 변수 k를 설정해서, 목표로 하는 자본 성장률을 (1+k)라고 할게요. 원래 자기자본(E)에 유보이익(이익A)을 보태서 성장한 자기자본이 E×(1+k)가 되게 하려는 겁니다. 여기서 이익A를 구하면 E×k가 됩니다. 즉, 연초 자기자본의 k배에 해당하는 이익은 배당하지 않기로 합니다.
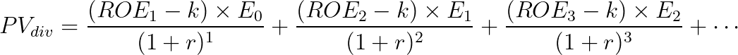
‘나머지’ 이익B만이 배당가능한 ‘잔여’이익이 됩니다, E×ROE(이익) = E×k(이익A) + 잔여이익(이익B) 이므로, 잔여이익은 연초 자기자본 E의 (ROE-k)배입니다. 그런데 이 잔여이익들은 1년, 2년, 3년, ... 후 미래의 돈이니까 DDM이나 DCF에서 그랬던 것처럼 현재 가치를 따질 때는 할인해야 합니다. 따라서 할인율이 r일 때, 배당의 현재 가치는 다음과 같습니다.
이제 잔여재산이 될 자기자본은 최초 E0에서부터 매년 어떻게 변하는지 봅시다. E0이던 자본에 첫 해 말 추가되는 이익A는 E0×k 입니다. 그 결과 2년 차 연초 자기자본 E1은 E0 + E0×k = E0×(1+k) 라고 표현할 수 있습니다. 이익A를 배당하지 않고 남겨둔 의도대로 (1+k)배 성장했네요. 한 번 더 연습해 볼게요. E1에서 얻은 이익 중 E1×k만큼의 이익A가 또 유보되어 자본에 더해집니다. 3년 차 연초 자기자본 E2는 이번에도 E1 + E1×k = E1×(1+k) 가 됩니다.
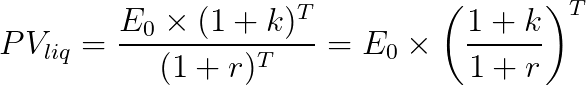
김셀러 씨의 자본처럼 매년 (1+k)배씩 성장하는 규칙이 보이시나요? 고등학교에서 배운 등비수열입니다. 자기자본은 T년 차 연말에 ET = E0×(1+k)ᵀ 이 됩니다. 이 때 청산해서, 자기자본을 잔여재산으로 분배 받는다고 해봅시다. 그건 미래에 받을 돈이니까 마찬가지로 할인되어야겠죠? 잔여재산은 다음과 같은 가치를 갖는다고 할 수 있습니다.
RIM으로 구한 전체 현재 가치는 앞에서 구한 배당 가치와 잔여재산 가치의 합계입니다.
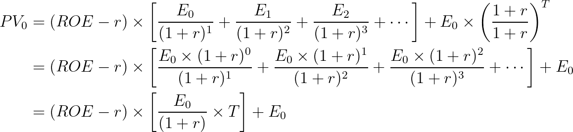
최초 자기자본 E0의 성장비율을 k로 일정하게 맞췄는데요. 잔여재산의 형태를 그나마 단순화한 것 치고는 식이 복잡하죠? 현실은 복잡하니까요. 하지만 k를 마치 지퍼처럼 이리저리 움직이다 보면, 조금 더 보기 좋게 만들 여지도 있습니다. 두 가지 버전이 있는데요.
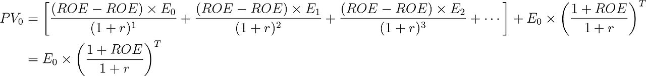
첫 번째는, 배당을 하지 않고 모두 자기자본 성장에 유보하는 성장 기업입니다. 이 때에는 k가 ROE와 똑같다고, 그리고 T년 동안 ROE가 유지된다고 가정합니다. 그러면 배당 가치의 모든 항들은 0이 되고, 잔여재산 가치에서 k가 놓인 자리에 ROE를 대입하면 됩니다.
두 번째는, 수식을 더 간단히 만들기 위해 k를 할인율 r과 같다고 설정하는 경우입니다. 역시 T년 동안 ROE는 똑같이 유지되는 것으로 봅니다. 이 방식의 장점은 잔여재산이 E0로 훨씬 단순해진다는 점입니다. 분자 (1+k)ᵀ가 분모와 같아지면서 1로 약분되니까요. 그리고 할인된 배당을 나타내는 각각의 항도 간단해 집니다. 가령 E1/(1+r)²는 E0×(1+r)¹/(1+r)²와 같이 됩니다. 또, E2/(1+r)³역시나 E0×(1+r)²/(1+r)³가 되고요. 분모와 분자에서 (1+r)의 거듭제곱이 줄어드는 패턴입니다. 결국 (ROE-r)×E0/(1+r)가 T년 동안 반복해서 더해지는 구조입니다. 따라서 배당 가치도 다음과 같이 보다 간단히 정리됩니다.
수고하셨습니다. RIM에서 발견할 수 있는 의미에 대해서는 다음 편에서 살펴보겠습니다.