(3부) 기대수익률에 씌워진 유리천장

by 전병조

2023년 4월에 있었던 일입니다. 우리나라 주식 시장에서 8개 종목이 동시에 연쇄 하한가를 기록한 초유의 사태. 파생상품과 배신으로 얼룩진 작전 ‘홍길동 프로젝트’가 막을 내린 것이었습니다. 작전이 진행되는 동안 어찌보면 당연하게도, 주가는 고공행진을 보였습니다. 대성홀딩스 주가는 3년 동안 2186%나 올랐습니다. 연평균으로는 184% 수익률입니다. 하지만 대량매도로 주가가 하락하자, 담보가치가 부족해진 만큼 주식이 강제로 팔렸습니다. 매도가 매도를, 하락이 하락을 낳은 겁니다.


빚투든 파생상품이든, 레버리지를 이용하는 동기는 수익률을 높이는 겁니다. 자산을 조금이라도 빠르게 증식하고 싶은 유혹을 탓할 수는 없습니다. 그럼 기대수익률이 얼마든지 높은 주식에 투자하면 되지 않나요? 문제가 있습니다. 기초적인 방식으로는 기대수익률에 한계가 있다는 겁니다. RIM을 활용해서 그 사실을 확인해 보겠습니다.


투자자는 기업을 분석하고 나서, 이 사업이 T년 동안 자본수익률을 ROE 정도로 유지할 경쟁력이 있다고 판단하게 됩니다. 그리고 현재 가격을 이용해, 기대수익률이 얼마인지를 알고 싶어 합니다. 그러니 지금은 보수적 혹은 낙관적 시나리오에서 ROE가 고정된 값이고 기대수익률 r은 변수라고 보겠습니다.


우리가 RIM을 구성할 때, 자본의 성장률 k를 지퍼처럼 조절했던 것을 기억하실 겁니다. 지퍼가 ROE에 이르거나 혹은 r과 같아질 때 식이 그나마 간단해졌는데요. 두 방식 각각에 대해서 설명을 드려 보겠습니다.


(k=ROE 인 경우)

CodeCogsEqn.gif


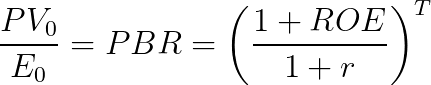
DCF에서 r을 역산했을 때처럼 해볼까요? 계산결과였던 PV0 자리에 현재의 시장 가격을 대입합니다. 참고로, 시가총액이 회사 자기자본의 몇 배이냐를 나타내는 지표를 PBR이라고 합니다. 그러므로 양변을 자기자본 E0로 나누면 PBR을 나타낼 수 있게 됩니다.

CodeCogsEqn (1).gif


이제 양변을 1/T 제곱하고, 모든 분모와 분자를 뒤집고, 또 1+ROE도 곱해줍니다. 그러면 기대수익률 r을 다음의 형태로 얻을 수 있습니다.


CodeCogsEqn (2).gif


이제 살펴봅시다. 만일 PBR이 1이거나 T가 무한히 크다면 r이 ROE와 같아질 수는 있습니다. 아무리 경쟁력을 높게 평가한대도 ROE가 영원히 유지될 거라고 보기는 어렵습니다. 또, 주주에게 잔여이익을 줄 수 있는 기업자본에는 당연히 가격 프리미엄이 붙고요. 결국 주주가 기대할 수 있는 수익률의 상한선은 기업의 자본수익률 정도라는 걸 알 수 있습니다. 그보다 높으려면, 주가가 대단히 저렴한 흔치 않은 기회를 잡아야만 합니다.


(k=r 인 경우)

CodeCogsEqn (3).gif


마찬가지로 PV0에 시가총액을 대입하고, 양변을 자기자본으로 나누어 출발하겠습니다. 우변에 자투리처럼 남은 +1을 좌변으로 이항하고요. 우변에는 ROE와 r만 남기기 위해 양변을 T로 나누는 것까지 해보죠. 그 대가로 좌변이 꽤 복잡해질 텐데요, 그걸 f라고 이름지어 줍시다. 식을 간단하게 처리하기 위해 임시로 정의한 변수입니다. 우리는 계산 결과에서 r에 주는 영향만 잘 해석하면 됩니다.


CodeCogsEqn (5).gif


이제 양변에 1+r을 곱한 뒤에 r에 관해서 정리해 주면 기대수익률을 ROE와 f에 관해서 나타낼 수 있습니다. 여기서 잡기술을 조금 보태면, 제가 설명하려는 형태로 변형이 가능합니다.


CodeCogsEqn (6).gif


기대수익률은 ROE에서 뭔가를 차감한 값입니다. 얼마나 빼느냐는 f에 달려있는데요. 상기시켜 드리자면 f는 PBR에서 1을 뺀 다음 T로 나눈 어떤 값입니다. 만약에 f가 0이라면 기대수익률은 아무 것도 빼지 않고 그저 ROE와 같아집니다. 즉, PBR이 1이거나 T가 무한대인 경우지요. T가 꽤나 길수는 있겠으나, ROE가 영원히 유지되는 기업은 없습니다. PBR이 1인 경우도 극히 드물고요. 이번에도 일반적으로 기대수익률은 ROE보다 클 수 없다는 게 결론입니다.


찰리 멍거는 투자자의 기대수익률과 기업의 자본수익률 사이의 관계를 설명한 적이 있습니다. 개인적으로 워낙 좋아하는 말이라서요. 사실은 이걸 수학적으로 증명하려고 잔여이익모델을 소개해 드렸습니다.


장기적으로 보면, 주식은 그것이 기반한 사업의 수익률보다 더 좋은 수익률을 내기는 어렵다. 어떤 사업이 40년간 6퍼센트의 자본수익률을 내고 있고, 당신이 그 사업을 40년간 들고 있다면, 매우 저럼하 가격에 주식을 샀다 하더라도 벌어들이는 수익률은 6퍼센트와 크게 다르지 않을 것이다. 반대로, 만약에 사업이 20년 또는 30년 간 18퍼센트의 자본수익률을 보였다면. 설령 비싸 보이는 가격을 지불했더라도 결국 괜찮은 결과를 얻게될 것이다.


첫 문장에서 등장한 '사업의 수익률'이 ROE, 그리고 주식의 수익률이 r입니다. 멍거가 맥락상으로는 기대수익률이 저절로 ROE에 수렴할 것처럼 말했는데요. 그렇지 않습니다. 투자자가 ROE에 근접한 수익률을 얻는 건 낮은 PBR에 매수한 경우입니다. 멍거가 말한 ‘비싸 보이는 가격’이란 아마 재무상태표에 나타난 자본총계에 비해서 그렇다는 뜻일 겁니다. 무형자산을 공정하게 평가한 자기자본은 공시된 자본총계보다 클 수도 있는데요. 이 기준에서는 PBR 프리미엄이 작거나 없을 수도 있습니다. 그러니까 (ROE에 거의 근접하는) ‘괜찮은 결과’를 얻는 거고요.

서두에 소개한 8개 주식의 연속 하한가 사태를 많은 미디어에서 다뤘는데요. 유튜브 채널 슈카월드도 그 중 하나였습니다. 당시 방송에서 슈카님은 이렇게 얘기합니다.


주식으로 엄청난 수익률을 올렸다,
제 생각에 이건 말이 안 됩니다.
주식은, 어떻게 엄청난 수익률을 올려요?
주식은 엄청난 수익률을 올릴 수 있는 상품이 아니예요.


저도 동의합니다. 아무리 위대한 기업이라도 장기간 유지되는 ROE가 50%, 100%이기는 어렵습니다. 그리고 그런 기업이라면 무형자산을 감안한 자기자본에 비해서조차 상당한 프리미엄을 시장이 정당화하고 있을 가능성이 큽니다. 비싸다는 얘기죠. 그러면 투자자는 고작(?) ROE 정도의 수익률을 얻는 것조차 불가능합니다. 기대수익률에는 ROE라는 유리천장이 있습니다. 이것은 증명된 사실입니다.


RIM에서는 수학적으로 편안한 점이 또 있습니다. 시장 가격을 대입해 역산하는 기대수익률이 깔끔한 형태로 표현이 된다는 점입니다. DCF에서 그랬던 것처럼 이를 어떻게 의사결정에 활용할지 다음 편에서 구체적으로 다루겠습니다.

월, 목 연재
이전 19화(3부) RIM에서도 정답은 없다