brunch

22대 국회 노동입법 어떻게 될까

각 정당의 노동정책과 노동계 출신 의원들

22대 국회가 이제 시작되는데요.


22대 국회도 21대와 마찬가지로 여소야대인데요.


여러가지 사회 정책들이 많지만 저는 노동정책의 초점을 맞춰 원내 정당별 총선 공약이 어땠는지 살펴보겠습니다.


1. 여야 노동공약 무엇이 있었나

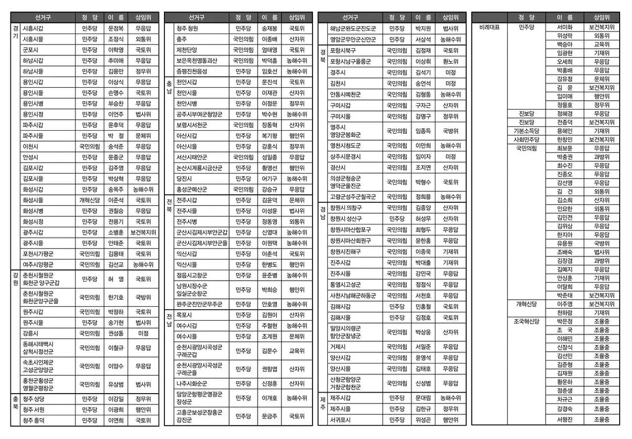
대한민국 국회

먼저 여당인 국민의힘의 주요 노동공약에는


1) 배우자 출산휴가 유급 1개월 의무화, 육아휴직급여 상한 인상(210만 원)

2) 비수도권, 뿌리산업 외국인 고용한도 탄력화

3) 무분별한 인턴기간 연장 금지


가 있습니다. 국힘은 일가정양립, 중소기업, 청년층에 초점이 맞춰져 있습니다.


다수당인 더불어민주당은


1) 주4일 도입 지원

2) 포괄임금제 금지 명문화

3) 실업급여 보장성 강화


을 주요 공약으로 합니다. 노동자 보호와 워라밸에 초점이 맞춰져 있습니다.


민주당과 연대를 했던 진보당은


1) 고용보험, 산재보험 적용 대상 확대

2) 노동자 안전 보호를 위한 산업안전보건청 설치

3) 임금 삭감 없는 주 4일제 보장


인데요. 진보당의 노동 정책은 사각지대 근로자와 열악한 근로조건 근로자 보호를 중점으로 합니다.



2. 노동계 출신 의원은?

한국노총 총선 노동정책 토론회

지금까지 정당들의 주요 공약을 봤다면 이번에는 플레이어들의 면면을 볼 차례입니다.


이번에도 노동계 출신 의원들이 다수 당선됐는데요. 명단은 다음과 같습니다.


-국민의힘

임이자(전 한국노총 부위원장)

김형동(전 한국노총 중앙법률원 부원장)

김위상(전 한국노총 대구지역본부 의장)


-더불어민주당

김주영(전 한국노총 위원장)

박해철(전 한국노총 부위원장)

어기구(전 한국노총 중앙연구원 전문위원)

이수진(전 한국노총 의료산업노련 위원장)

한정애(전 한국노총 대외협력본부장)

백승아(전 강원교사노조 위원장)

박홍배(전 한국노총 금융산업노조 위원장)

김현정(전 민주노총 사무금융노조 위원장)

한준호(전 민주노총 언론노조 MBC본부 교육문화국장)

이용우(직장갑질119 법률스텝)


-진보당

전종덕(전 민주노총 사무총장)

윤종오(전 현대그룹노조총연합 조직국장)

정혜경(전 민주노총 학비노조 경남지부 정치국장)


노동계 출신이 다수 포진돼 있던 녹색정의당은 지역구와 비례대표에서 국회의원을 1명도 배출하지 못했습니다.



3. 환경노동위원회 어떻게 구성될까

노동계 출신 의원이라고 모두 환경노동위원회를 지망하지는 않습니다.


환노위는 지역구 예산과 거리가 있어 국회의원들이 기피하는 상임위원회 중에 하나입니다.


최근 22대 총선 당선인들의 희망 상임위가 조사됐는데요.


환노위를 희망한다고 응답한 당선인은 국민의힘 나경원, 우재준, 이상휘, 더불어민주당 이용우, 김태선 이렇게 다섯명에 불과합니다..


나경원 의원의 환노위 지망이 눈길을 끕니다. 이 외에도 국민의힘 임이자, 민주당 박해철 의원 등이 합류할 가능성이 높습니다.



4. 노동개혁과 주요 노동입법의 향방은

이제 노동계가 주목하는 점은 22대 국회에서 노동입법이 얼마나 이루어질 지와 윤석열 정부 노동개혁은 어떻게 될지 인데요.


일단 윤 정부에서 추진할 노동개혁 입법은


1) 근로시간제 유연화

2) 파견 업종 확대

3) 중대재해처벌법 소규모 사업장 적용 유예


가 있는데요. 중처법의 경우 여소야대 정국이 이어진 상황에서 무리하게 추진하진 않을 것으로 보입니다.


파견 업종 확대도 경영계가 계속 요구하고 있지만 노동계가 강력 반발하는 의제여서 무리해서 추진하지는 않을 듯 합니다.


그래도 윤 정부가 포기하지 못할 의제 중 하나는 근로시간제 유연화인데요.


그러나 여소야대가 임기 말까지 확정된 상황에서 정부 입법은 추진하지 않을 것 같습니다.


정부 주도가 아닌 경사노위 사회적 대화를 통해 입법을 시도할 것으로 보입니다. 다만 한국노총이 강력 반발할 공산이 커 쉽지는 않아 보입니다.


노동계에서 추진할 노동입법 의제에는


1) 노란봉투법(노동조합법 개정안)

2) 주4일제

3) 플랫폼 노동자 보호 법안

4) 산별교섭 법제화


가 있는데요.


플랫폼 노동자 보호 법안의 경우 여야가 모두 동의하고 있어 무리 없이 추진될 가능성이 큽니다.


노란봉투법 재추진, 주4일제, 산별교섭 법제화는 여당이 반대하고 있어 난항이 예상되는데요.


여당이 과반 미만이기는 하지만 대통령이 거부권 행사가 가능해 쉽지 않아보입니다.


노란봉투법과 산별교섭 법제화의 경우 야권과 모동계는 노동시장 이중구조 해소를 위한 핵심 법안이라고 보지만, 정부와 여당은 원하청 상생협약을 고집하고 있어 과연 합의 처리가 가능할지 의문이 남습니다.


정부 주도로 경사노위에서 원하청 이중구조에 대한 논의가 있을 확률이 높습니다.


다만 노동계에서 22대 국회에서는 노란봉투법이 반드시 입법돼야 한다고 주장하고 있고, 1호 법안으로 노란봉투법을 재추진하겠다는 의원들도 많아 어떤 형태로든 빠른 시일 내에 본회의에 상정될 가능성이 높습니다.


주4일제의 경우 민주당도 공약으로 삼기는 했지만 실제 입법으로 이어질 가능성은 적어보입니다. 경영계 특히 중소기업계가 크게 반발하는 상황에서 22대 국회에서는 입법 추진보다는 논의 시작에 방점이 찍힐 것으로 보입니다.


이제 개원하는 22대 국회. 과연 어떤 성과를 낼까요?



-해당 기사

‘총선 속 노동’ 앞날은?…여야, ‘주4일제ㆍ노란봉투법’ 입장차 뚜렷


https://www.worklaw.co.kr/main2022/view/view.asp?in_cate=0&gopage=1&bi_pidx=36481&sPrm=Search_Text$$%25uCD1D%25uC120@@keyword$$%25uCD1D%25uC120@@noidx$$


[2024 총선 속 노동] 양대 노총, 2024 총선 ‘표심’ 어디로 향하나


https://www.worklaw.co.kr/main2022/view/view.asp?in_cate=0&gopage=1&bi_pidx=36539&sPrm=Search_Text$$%25uCD1D%25uC120@@keyword$$%25uCD1D%25uC120@@noidx$$


[2024 총선 속 노동] 노란봉투법부터 주4일제까지…노동계 총선 요구 한눈에


https://www.worklaw.co.kr/main2022/view/view.asp?in_cate=102&gopage=1&bi_pidx=36540&sPrm=in_cate$$102@@in_cate2$$0@@noidx$$36656


[2024 총선 속 노동] 노동계 출신의 총선 출사표


https://www.worklaw.co.kr/main2022/view/view.asp?in_cate=102&gopage=1&bi_pidx=36541&sPrm=in_cate$$102@@in_cate2$$0@@noidx$$36656


한국노총 ‘노란봉투법 재추진ㆍ주4일제’ 총선 의제로


https://www.worklaw.co.kr/main2022/view/view.asp?in_cate=0&gopage=2&bi_pidx=36376&sPrm=Search_Text$$%25uCD1D%25uC120@@keyword$$%25uCD1D%25uC120@@noidx$$@@gopage$$2


여소야대 반복…‘노동개혁’ 중심추 경사노위ㆍ국회로


https://www.worklaw.co.kr/main2022/view/view.asp?in_cate=0&gopage=5&bi_pidx=36576&sPrm=Search_Text$$%25uCD1D%25uC120@@keyword$$%25uCD1D%25uC120@@noidx$$@@gopage$$5


keyword