지금은 전망이 불가한 혼돈의 주가시대에 진입 중

by 박정수

요즘 주가시장은 최첨단 모델로도 예측능력이 떨어지는 등 통계학 모델이 무력해진 상황입니다. 비정상, 예외적, 사상 초유의 등 표현이 맞을 것 같아요. 저는 그간 기술적 분석부터 GARCH, 엔트로피, LPPLS로 시장의 거품을 경고해 왔는데, 그럼에도 불구하고 참여자들의 결집현상은 아직도 단단한 것 같아요. 그래서 작전을 바꿔서 시장의 가격이 더 오르는 이유를 설명하기보다는, 얼마나 시장이 혼란한가로 시장을 보는 관점으로 바꿔보려고 합니다. 먼저 여러 이론 중 카오스 이론으로 현재의 시장 상황을 평가해보려 합니다. 먼저 카오스이론을 설명할게요.


나비효과.jpg

나비효과(Butterfly Effect)는 기상학자인 에드워드 로렌츠(Edward Lorenz)가 1961년에 처음 사용한 용어로, 아주 작은 변화가 예측할 수 없는 거대한 결과로 이어질 수 있다는 의미를 담고 있습니다.

원래는 "브라질에 있는 나비의 날갯짓이 텍사스에 토네이도를 발생시킬 수도 있다"는 비유에서 시작되었습니다. 이는 초기 조건의 아주 미세한 차이가 시간이 지남에 따라 엄청나게 증폭되어 전혀 다른 결과를 초래할 수 있다는 카오스 이론(Chaos Theory)의 핵심 개념 중 하나입니다.


주요 특징:

민감한 초기 조건 의존성 (Sensitive Dependence on Initial Conditions): 시스템의 초기 상태가 조금만 달라져도 장기적으로는 완전히 다른 결과를 낳을 수 있습니다.

예측 불가능성: 복잡한 시스템에서는 모든 변수를 정확히 파악하고 예측하는 것이 거의 불가능하므로, 작은 변화가 어떤 결과를 가져올지 예측하기 어렵습니다.

비선형성: 원인과 결과가 비례하지 않고, 작은 원인이 큰 결과를 낳거나 반대로 큰 원인이 작은 결과를 낳을 수도 있습니다.

예시:

날씨: 나비효과가 처음 등장한 분야로, 작은 기압 변화가 전 세계 날씨에 영향을 미칠 수 있습니다.

경제: 한 기업의 작은 문제가 전 세계 금융 시장에 도미노처럼 영향을 미칠 수 있습니다.

사회: 한 개인의 사소한 행동이나 발언이 사회 전체에 큰 파장을 일으킬 수 있습니다.

결론적으로 나비효과는 우리가 살고 있는 세상이 얼마나 복잡하고 상호 연결되어 있으며, 예측하기 어려운지를 보여주는 강력한 개념이라고 할 수 있습니다.




나비의 날갯짓이 운명을 바꾼다 - 초기 조건의 민감성

기상학자 에드워드 로렌츠(Edward Lorenz)는 컴퓨터 시뮬레이션을 통해 날씨를 예측하던 중 놀라운 사실을 발견합니다. 입력 데이터의 소수점 아래 넷째 자리 숫자를 아주 살짝 바꿨을 뿐인데, 며칠 뒤의 일기예보는 전혀 다른 결과를 내놓은 것입니다. 이것이 그 유명한 ‘나비 효과(Butterfly Effect)’의 탄생입니다.

전통적인 경제학은 투입한 만큼 결과가 나오는 ‘선형적(Linear) 세계’를 가정합니다. 하지만 우리가 사는 실제 시장은 ‘비선형적(Non-linear)’입니다. 0.01%의 사소한 악재가 평소에는 아무런 영향을 주지 않다가도, 어떤 임계점에 도달하면 시장 전체를 뒤흔드는 폭락의 방아쇠가 됩니다. "이 정도 뉴스는 이미 반영되었겠지"라는 이성적 판단이 카오스 앞에서는 무기력해지는 이유입니다.


무질서 속의 기묘한 질서 - 로렌츠 어트랙터

카오스 이론이 단순히 "세상은 혼돈 그 자체다"라고 말하는 것은 아닙니다. 카오스의 진정한 매력은 ‘결정론적 혼돈(Deterministic Chaos)’에 있습니다. 카오스 시스템의 궤적을 그려보면, 개별적인 경로는 알 수 없지만 결국 ‘로렌츠 어트랙터(Lorenz Attractor)’라고 불리는 나비 날개 모양의 특정한 패턴 안에서 움직입니다.

이것은 주식 시장에 중요한 통찰을 줍니다. 우리는 내일의 종가를 정확히 맞출 수는 없지만(개별 경로의 불확실성), 현재 시장이 움직이는 거대한 에너지의 범위(어트랙터의 경계)는 알 수 있다는 것입니다. 시장은 미친 듯이 날뛰는 것 같아도, 결국 자신이 돌아갈 특정한 형태와 구조를 가지고 있습니다.

본론 3: 당신의 종목은 얼마나 혼돈스러운가? - 리야푸 높으 지수

나비효과3.png

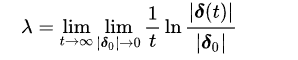
우리는 이제 데이터로 시장의 카오스 지수를 측정할 수 있습니다. 바로 리야푸 높으 지수(Lyapunov Exponent)입니다.

나비4.png


(여기서 lambda가 양수이면 그 시스템은 초기 조건에 민감한 카오스 상태임을 의미합니다.)


상세한 식은 다음에서 참조하세요

[혼돈 이론 #2] Lyapunov 지수를 이용한 혼돈의 확인

https://mons1220.tistory.com/174

Lyapunov exponent - Wikipedia


이 지수가 높을수록 그 종목은 외부 충격에 민감하게 반응하며 예측이 거의 불가능한 상태임을 뜻합니다. 최근 반도체 주식들의 광기 어린 랠리를 분석해 보면, 이 지수가 급격히 상승하는 구간이 발견됩니다. 이는 실적이라는 펀더멘털의 중력을 벗어나, 작은 뉴스 하나에도 주가가 요동칠 수 있는 극도의 ‘초기 조건 민감성’ 구간에 진입했음을 경고합니다.


나비6.png


Samsung (005930.KS): 0.0039 (Positive - Chaotic behavior detected)

SK Hynix (000660.KS): -0.0002 (Negative - Stable/predictable behavior)

NVDA: 0.0013 (Positive - Chaotic behavior detected)

SOXX: 0.0003 (Positive - Chaotic behavior detected)

SK Hynix는 0 이하값이지만 너무 작은 수치라서 사실상 0으로 해석해야 함.

결론: 예측을 포기하고 대응을 선택하라

나비효과2.jpg

카오스 이론이 우리에게 주는 가장 큰 교훈은 ‘겸손’입니다. 시장은 시계태엽처럼 돌아가는 기계가 아니라, 매 순간 수조 개의 변수가 얽혀 돌아가는 기상 현상입니다.

이제 "주가가 어디까지 갈 것인가?"라는 무의미한 질문을 멈춰야 합니다. 대신 "현재 시장이 얼마나 나비 효과에 취약한 상태인가?"를 진단해야 합니다. 카오스의 세계에서는 예측의 정교함을 높이는 것보다, 어떤 폭풍이 몰아쳐도 부러지지 않는 ‘회복 탄력성’과 ‘유연한 대응’만이 최고의 전략이 됩니다.

나비의 날갯짓을 막을 수는 없습니다. 하지만 그 날갯짓이 폭풍이 될 수 있음을 인지하는 것, 그것이 복잡계 경제학이 우리에게 가르쳐주는 생존의 지혜입니다.


다음 편도 재미난 복잡계(복잡하고 혼미한 세계) 시리즈를 이어갈게요.


keyword
이전 28화2025년 삼성전자의 주가 변동성 분석