brunch

맥스웰의 전자기 파동 방정식

전자기학 - 전기와 자기는 같다 (4)

by Neutron

전기와 자기가 같은 힘의 다른 표현이라는 사실은 아인슈타인의 특수상대성 이론에서 발견할 수 있다. 사실 아인슈타인은 특수상대성 이론을 발표할 때 전자기적 현상을 설명하려는 의도를 가지고 있었다. 그의 논문 제목 '움직이는 물체의 전기동역학에 관하여 (On the Electrodynamics of Moving Bodies)'에서도 알 수 있듯이 상대성이론의 발단은 전기와 관련된 것이었다.


아인슈타인은 기존의 뉴튼역학과 맥스웰의 전자기 방정식 사이에서 고민을 하였다. 맥스웰의 전자기 방정식에 따르면 빛의 속도는 일정해야 했고, 이는 뉴튼 역학과 정면으로 충돌되는 개념이었다. 맥스웰의 방정식은 4개로 구성되어 있다. 두 개의 가우스 법칙과 한 개의 패러데이 법칙, 그리고 또 한 개의 앙페르-맥스웰 법칙으로 구성된다. 물론 이 방정식들은 미분방정식이므로 대학 과정의 수학 실력이 있어야 이해할 수 있다. 여기서는 그 의미만을 짚고 넘어가면 된다. 맥스웰은 이 4개의 방정식으로 모든 전자기 현상을 설명할 수 있었다. 맥스웰은 이들 방정식으로부터 빛의 속도가 일정한 상수라는 결론을 도출하기에 이른다. 맥스웰의 방정식은 다음과 같다. 쓰윽 훑어보고 그냥 그렇구나 하고 넘어가면 된다.


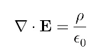
1. 가우스 법칙 (전기)

전기장(E)은 전하(ρ)에 의해 생성된다는 법칙이다. ε0는 진공에서의 유전율(permittivity)이고 8.85 x 10^-12 F/m (패럿/미터)의 값을 갖는다. 유전율은 어떤 매질이 전기장 안에서 전하를 얼마나 저장할 수 있는가 하는 척도이다.


2. 가우스 법칙 (자기)

자기장(B)은 항상 폐곡선으로 존재한다는 법칙이다. N극과 S극이 항상 쌍으로 존재하여 N극에서 나온 자기장의 자속은 S극으로 들어간다. 중간에 끊어지지 않는다.


3. 패러데이의 법칙

자기장의 시간에 따른 변화에 의해 기전력이 만들어진다는 법칙이다. 변하는 자기장은 전기장을 만든다는 말과 같다.


4. 앙페르-맥스웰 법칙

전류(J)가 흐르거나 전기장(E)이 시간의 따라 변하면 자기장(B)이 만들어진다는 법칙이다. μ0는 진공에서의 투자율(permeability)이고 4π x 10^-7 H/m (헨리/미터)의 값을 갖는다. 투자율은 어떤 매질이 자기장 안에서 얼마나 자화 하는가 하는 척도이다. 전자의 스핀이 한 방향으로 얼마나 정렬할 수 있는가 하는 것도 자화의 성질로 볼 수 있다.


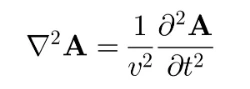
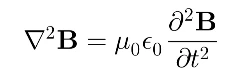
이 중 3, 4번 법칙을 이용하면 파동방정식을 만들 수 있다. 맥스웰의 가장 큰 업적은 전기와 자기의 성질을 이용하여 각각의 파동방정식을 유도하고, 이 파동의 속도가 일정한 상수임을 밝힌 것이다. 약간의 수학적 연산을 거치면 다음의 두 개의 방정식을 유도할 수 있다.


전기장 파동방정식 :

자기장 파동방정식 :

맥스웰은 이들 방정식에서 전기와 자기가 파동임을 보였으며, 이 속도가 같음을 유도하였다.

일반적으로 파동방정식은 다음의 형태로 나타난다.

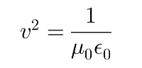
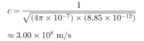
여기서 v는 파동의 속도를 의미하는데, 전기장과 자기장의 파동방정식에서 속도 부분을 보면 다음의 관계가 성립한다.

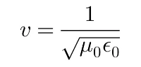
여기에 진공에서의 유전율과 투자율 값을 넣으면 이 파동의 속도는 다음과 같은 상수값을 갖는다.


이 속도는 진공에서의 빛의 속도와 동일하다. 이 속도가 움직이는 관측자에 따라 달라지는 물리량이라면 이 식에 관측자의 이동 속도가 포함되어야 한다. 하지만 이 속도식에는 관측자에 대한 그 어떤 정보도 포함되지 않는다. 이 놀라운 발견으로 전자기 파동은 빛이라는 사실과, 그 속도는 항상 일정한 상수라는 사실을 알게 되었다.


전기와 자기는 파동이며 그 전파 속도는 빛의 속도이다. 실제로 빛은 전기장과 자기장을 번갈아 만들어가며 직진한다. 스스로 매질을 만들면서 진행하므로 빛은 진공에서도 전파가 가능하다. 송전탑이나 변전소에 고압의 전류가 흐를 때 주변에 자기장이 생기고 전자파가 발생하는 것은 익히 듣거나 경험으로 알 것이다. 여기서 발생하는 전자파는 빛의 일종이며 그 전파 속도가 빛의 속도라는 말이다.


아인슈타인은 빛의 속도가 일정하다는 가정을 세워 놓고, 이 가정이 성립하려면 시간과 공간이 변해야 한다고 결론지었다. 시간과 공간은 절대적인 것이 아니라 상대운동을 하는 계에 따라 길어지거나 짧아지는 고무줄 같은 것이라는 결론에 도달했다. (특수상대성 이론 - 시간의 지연과 길이의 수축이 궁금하면 필자의 브런치북 "물리학으로 바라보는 세상 1" 편을 참조하시기 바랍니다)

keyword
이전 03화전기와 자기