brunch

아주 쉬운 미적분(1)

수학을 시작하는 사람을 위하여

by Neutron

미분과 적분은 고전 과학은 물론 현대 과학에서도 없어서는 안 될 아주 중요한 발견이다. 거의 모든 물리학적 위대한 발견은 미분방정식으로 표현된다. 미분과 적분이 없었다면 전자제품이니 자동차니 하는 문명을 누리지 못하고 우리는 아직도 농경사회를 벗어나지 못했을 것이다.


미분을 수학적 발견이 아니라 과학적 발견이라고 운을 뗀 이유는 이것이 물체의 운동을 설명하기 위해 처음으로 도입된 개념이기 때문이다. 미분법은 힘과 가속도의 개념을 완성한 아이작 뉴튼이 최초로 발견하였다. 거의 비슷한 시기에 미분법을 발견한 라이프니츠도 공학자이자 물리학자였다. 뉴튼은 별의 운동이 빨라졌다 느려졌다 하는 것이 어떤 힘과 관계된 것이라고 여겼는데 이 운동을 정확히 묘사하려면 기존의 수학으로는 불가능했다. 그래서 그는 별의 운동이 시간에 대하여 변화하는 비율을 찾아내게 되었고, 이를 적용하여 그 운동을 수학적으로 완벽히 설명할 수 있었다.


그렇게 탄생한 미분의 개념은 방정식에도 쓰이게 되었고 아주 복잡한 물리적 현상을 간단한 수식으로 표현할 수 있게 되었다. 아인슈타인의 중력장 방정식, 맥스웰의 전자기파 방정식, 슈뢰딩거의 파동 방정식 등 현대 물리학의 가장 위대한 발견들이 미분방정식의 형태로 표현되었다. 우리가 고등학교, 대학교에서 그렇게 죽자고 미적분을 공부하는 이유는 이것이 인류의 문명 그 자체이기 때문이다.


이제 아주 어려운 미션을 수행해 보겠다. 학창 시절 배운 수학을 거의 다 잊어버린 독자에게 미적분을 이해시키는 것이다. 물론 이해의 정도가 문제가 되겠지만, 미적분이 이런 거였구나 하는 깨달음만 가질 수 있으면 내 할 일은 다 한 셈이다. 그래서 최대한 쉽게, 최대한 정성스럽게 써볼까 한다.


미분은 어떤 대상을 한없이 쪼개는 것이다. 적분은 아주 작게 쪼개어진 것들을 합치는 것이다. 이게 다이다. 너무 쉽지 않은가. 한없이 작게 쪼개는 작업은 수학자들이 기호로 정의를 해 놓았다. x라는 양을 한없이 작게 쪼개면 dx가 된다. 이 dx가 x의 미분이다.


이 미분을 모두 합치면 적분이고 이 또한 수학자들이 기호로 정의를 해 놓았다. ∫ (인테그랄)이라고 불리는 이 기호가 적분기호이다. 그래서 dx를 모두 합치는 것은 ∫dx 로 표현한다. x를 아주 작게 쪼갠 dx를 모두 합치면 x가 되는데, 이를 식으로 나타내면 다음과 같다.


∫dx = x


아주 당연한 논리이다. 적분도 이게 다이다. 나머지는 응용이다. 그래도 여기서 끝내면 뭔가 찜찜하기 때문에 좀 더 이야기를 해 보겠다.


도형으로 이해하는 것이 무엇보다 쉽기 때문에 이제부터 x는 어떤 길이(Length)라고 해보자. x를 미분하는 것은 x라는 길이를 매우 잘게 잘라 놓는 것이다. 그러므로 dx도 아주 작은 길이이다. x가 길이이므로 x²은 면적이고, x³은 체적이다. x²을 미분하는 것은 면적을 잘게 자르는 것이고 x²의 미분은 극히 작은 면적이다. 마찬가지로 x³을 미분하는 것은 체적을 잘게 자르는 것이고 x³의 미분은 극히 작은 체적이다.


x를 미분하면 dx가 된다고 했는데, 그러면 x² 을 미분하면 어떻게 될까? x² 은 변의 길이가 x인 정사각형의 면적과 같으므로 다음과 같이 그릴 수 있다.

그림. 정사각형 면적의 미분


면적의 미분은 아주 작은 면적이다. 각 변이 dx씩 증가한다고 할 때, 아주 작은 면적의 증가량은 빗금 친 부분이다. 그런데 dx는 아주 작은 길이라서 거의 점과도 같다. 이 부분이 중요한데, dx가 겹치는 부분 즉 dx²은 그냥 무시해도 전체 면적 변화량에 영향을 주지 않는다. 정사각형의 면적의 증가량은 한 변의 길이 x에 dx를 곱한 미소 면적 2개를 더한 것이다. 따라서 면적의 증가량은 다음과 같이 된다.


x dx + x dx = 2x dx


x² 을 미분하면 2x dx가 되는 것이다.


동일한 논리로 x³을 미분해 보자. x³은 한 변의 길이가 x인 정육면체의 부피이다. 이 부피의 아주 작은 증가분은 세 개의 면이 dx만큼 증가여 만든 부피를 모두 더한 값이다. 한 개의 면은 x²의 면적을 가지고 있고, 그 면의 아주 작은 부피 증가량은 x²dx가 된다. 세 개의 면이 있으므로 이를 모두 더하면 3x²dx이다.

그림. 정육면체 체적의 미분


x²dx + x²dx + x²dx = 3x²dx


x³을 미분하면 3x²dx가 되는 것이다.


한 발 더 나아가서 x⁴을 미분해 보려는데, x⁴은 도형으로 볼 수 있을까? 우리가 사는 세계의 공간이 딱 3차원까지이므로 x⁴를 눈에 보이는 도형으로 나타내는 것은 무리다. 하지만 1차원에서 길이, 2차원에서 면적, 3차원에서 체적에 이어 4차원에서도 어떤 기하학적 형태가 있다는 것을 예상해 볼 수 있다. 물론 사람의 머리로는 도저히 그려볼 수 없겠지만.


그 4차원의 기하학적 형태를 미분하면 4개의 미소 체적이 생긴다. 각 미소체적의 크기는 x³dx가 될 것이다. 그래서 x⁴을 미분하면 4x³dx가 된다.


x³dx + x³dx + x³dx + x³dx = 4x³dx


5차원도, 6차원도 마찬가지 방법으로 미분이 가능하다. 그렇다면 일반적으로 거듭제곱 함수에 대해 다음과 같이 결론 내릴 수 있지 않을까.


'x^n을 미분하면 nx^(n-1)dx가 된다.' 여기서 nx^(n-1)dx는 x^n의 아주 작은 '증가량'이라고도 말할 수 있다.


이왕 여기까지 온 김에 미분의 수학적 표현을 배워보자. x를 미분하는 것은 함수를 미분하는 것과 같다. 이 것은 변수 자체가 함수인 형태이다. x²을 미분하는 것은 변수가 x인 함수 x²을 미분하는 것이다. x³, x⁴에 대해서도 마찬가지다. 이들 함수를 수학적 기호로 표현하면 다음과 같다.


g(x) = x

h(x) = x²

i(x) = x³

j(x) = x⁴


함수 미분의 정의는 다음과 같다. 함수에 '(프라임)을 붙이면 미분이라는 뜻이다. 함수 미분의 정의에서 dx가 분모로 들어가 있는데, 이 의미는 '증가율'이다. x가 dx 만큼 증가한 것에 대하여 함수값이 얼마나 증가하는가를 나타내는 것이다. 여기서부터 머리가 복잡해지고 내가 왜 이걸 읽고 있지? 하는 사람도 있을 것이다. 하지만 세상에 공짜는 없다. 미분이라는 인류 역사상 가장 위대한 발견 중 하나를 이해하려면 어느 정도의 노력은 뒷받침되어야 한다.


g'(x) = dg(x)/dx = d x / dx = 1

h'(x) = dh(x)/dx = d x²/ dx = 2xdx / dx = 2x

i'(x) = di(x)/dx = d x³ / dx = 3x²dx / dx = 3x²

j'(x) = dj(x)/dx = d x⁴ / dx = 4x³dx / dx = 4x³


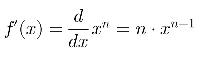
만약 어떤 함수가 f(x) = x^n이라면 즉, 거듭제곱 함수라면 그 함수의 미분은 다음과 같다.

우리는 이 f'(x)를 f(x)의 도함수라고 부른다. 함수의 미분은 도함수를 구하는 것이다. 도함수의 의미는 원래 함수의 순간 변화율이라고 할 수 있겠다. 순간 변화율은 또 뭔가? 갈수록 막막해지는 걸 이해한다. 순간 변화율은 변수 x가 아주 작은 양만큼 변할 때, 그에 따라 함수값 f(x)가 변하는 양을 비율로 나타낸 것이다.


f(x) = x²에서 그 도함수가 f'(x) = 2x로 구해지는 것을 도형을 이용하여 계산하였다. 이 의미는 f(x)의 모든 구간에서 x 값이 아주 작은 양만큼 변할 때 그 함수값 f(x)의 변화율은 2x만큼이라는 뜻이다. 예를 들어, x = 3인 지점에서 이 x 값이 아주 작은 양으로 증가하면 그 지점에서 함수값의 순간 변화율은 f'(3) = 2 x 3 = 6 이라는 말이다. 한 지점에서 함수값의 순간 변화율은 기울기를 의미한다. 이 f(x) = x² 함수는 x에 따라서 기울기가 달라진다. 그래서 그래프로 그려보면 아래로 볼록한 포물선이 나온다.


'함수의 미분은 순간 변화율이다'

keyword
작가의 이전글인수분해(Factorization)