brunch

14. 내가하면 로맨스, 남이하면 불륜

인지적 편향, 함수론, 수학 그리고, 근본적 한계

by Amang Kim

내가 다른 사람들과 온라인이나 오프라인에서 잘 하지 않는 논제가 바로 정치와 종교 이야기이다. 이 두가지 논제를 피하고자 하는 가장 큰 이유는 두 논제 모두 논리적은 전개를 하더라도 끝이 나지 않는다는 것과 서로의 신념이 다르면, 끝이 좋지 않게 끝날 가능성이 높기 때문이다. 그럼에도 불구하고, 내가 SNS상에 적은 글들(브런치도 포함)에 정치에 대한 이야기를 했던 이유는 이러한 정치적, 종교적 신념이 사람들의 인지적 편향에 기인한다는 점과 인지적 편향을 알고 있는 자들중 누군가는 이러한 인지적 편향(혹은 "감정팔이"")을 이용하려고 한다는 점을 이야기 하고 싶었기 때문이다. 당신은 인지적 편향(Cognitive Bias)을 가지고 있다. 물론, 이 글을 적고 있는 필자도 마찬가지 이다. 다시한번 말하지만, 세상은 인지적 편향을 가진 사람들과 가지지 않은 사람들로 나뉘는게 아니라,

인지적편향을 인지하는 자와 인지하지 못하는자

로 나뉜다. 오늘은 왜 인간들은 인지적 성향을 가질수 밖에 없는지에 대한 고찰을 수학을 이용하여 이야기하고자 한다.


내가 하면 로맨스, 남이 하면 불륜

누구나 한번즈음 이 이야기를 들어본적이 있을 것이다. 이와 비슷한 문장들은 여러가지 형태로 변형이 되어 많은 사람들에게 웃음을 주었다. 몇가지만 예를 들어보면,


. 내가 하면 충고, 남이 하면 지적질.
. 내가 하면 비판, 남이 하면 빨갱이.
. 내가 하면 예술, 남이 하면 장난질.
. 내가 하면 장난, 남이 하면 범죄.

. 나의 침묵은 깊은 생각, 남의 침묵은 무개념.

. 나의 지각은 이유가 있어서, 남의 지각은 시간관념이 없어서.

. 내가 화를 내면 소신이 뚜렷한거고, 남이 화를 내면 불통.

. 내가 봐주는 건 아량이 넓어서이고, 남이 봐주는건 바라는게 있어서.


처음 이런 이야기가 유행했을때는 단순한 유머로 생각을 했지만, 돌이켜 생각해보면 이러한 문장들이 사람들이 가진 인지적 성향을 가장 기가 막히게 설명을 해주고 있다. 인지적 편향이라는 것은 기본적으로 사실은 하나인데, 그걸 받아들이는 사람들이 다르게 받아들인다는데서 기인한다. 그리고, 이러한 인지적 편향의 끝판왕(?)은 바로 다른 사람은 인지적 편향을 가지고 있을지 몰라도 나는 그렇지 않다라고 생각하는 것이다. 그리고, 당신이 만약 이같은 생각을 가졌다면, 당신은 인지적 편향을 인지 못하는 자 일뿐이다. 다시 한번 말하지만, 인지적 편향은 모든 인간이 가지고 있는 성향이다. 그걸 인식하느냐 인식하지 못하느냐의 차이만 있을 뿐...


수학이야기

갑자기 왠 수학이야기냐고 의아할 수도 있지만, 어쨋든(?) 하도록 하겠다. 오늘 하려는 이야기는 "함수론"이다. 여러분이 대한민국 공교육을 충실히 이행하였다면, 함수에 대해서 배웠을 것이다. 함수가 처음 나오기 시작하는 것은 중학교때 부터이다. 대충 뭐~ 아래와 같은 박스로 말이다.

094403.jpg 함수 박스 (출처: 직접 그림)

그리고는 조금 복잡한 형태의 함수들을 배우게 되는데, 미분을 배우기전까지는 배우는 내용들이 대동소이하다. 미분을 배우면서, 함수론에서 중요한 개념을 하나 배우게 되는데, 이게 바로 "미분가능"의 여부이다. 즉, 모든 함수가 미분이 가능하지 않다는 점이다.

094428.jpg 미분가능 vs. 미분불가 (출처: 직접그림)

대부분은 여기까지는 고등학교 수학공교육을 하게 되면 배우게 되는데, 미분에 대해서 배우면서 미분 가능한 전제 조건 가운데 "함수의 연속성"이라는 들어본적이 있을 것이다. 즉, 끊어짐이 없어야 한다는 것이다. 그리고, 중간에 끊어짐이 있는 함수를 "불연속 함수"라고 이야기 한다.

094453.jpg 연속함수 vs. 불연속함수 (출처: 직접그림)

물론, 이공계를 전공한 분들 가운데서는 이러한 불연속 함수를 다뤄 본적이 있을 것이다. 자, 그렇다면 불연속 함수를 어떻게 표현할 것인가? 단, "수학적"으로 말이다.




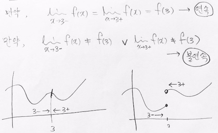
(불)연속 함수를 수학적으로 표현하기 위해서는 극한(Limit)의 개념을 알아야 한다. 물론, 극한의 개념 또한 고등학교때 배울터니, 다음의 수식의 이해는 어렵지 않으리라.

IMG_20170925_090138844.jpg 연속과 불연속의 표현 (출처: 직접 그림)

함수의 연속과 불연속을 표현하면서 알수 있는 중요한 사실 하나는 바라 보는 방향(limit)에 따라 그 함수값이 달라진다는 점이다. 그리고, 그러한 함수값은 실제로 그 인자값(x=3)이 되기전까지는 알수가 없다는 것이다.


인지적 편향에 대한 수학적 고찰

왜 인간이 인지적편향을 가지게 되는지에 대해서는 일전에 적었던 글에도 언급을 했지만, 같은 사실이라도 사람들이 받아들이는 관점(혹은 상태)에 따라 받아들이는 진실의 정도가 다르기 때문이다. 함수의 불연속성에 대한 수학적인 표현은 바로 인간의 인지적 편향을 잘 표현한다고 할 수 있다. 다음과 같은 함수는 어떨까?

094522.jpg "사실"을 인자로 하는 "진실"이라는 불연속 함수

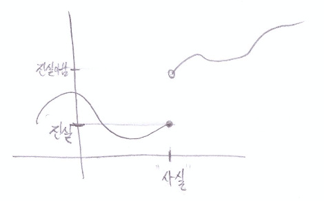
진실이라는 수의 왼편(사실-)에서 선 사람은 결국은 "진실"을 본 것이지만, 이 수의 오른편(사실+)에 선 사람은 결국엔 진실과는 다른 것("진실아님")을 본다는 점이다. 마치, 불연속 함수의 극한처럼 말이다. 이 즈음에 여러분들 중에는 "나는 왼편(진실-)에서 바라보면 되지"라는 생각을 할지도 모르겠다. 하지만, 세상에서의 불연속 함수는 위에 언급된 함수보다는 조금 더 복잡하다.

094522.jpg 개선된(?) "진실"이라는 불연속 함수

위의 함수에 대한 이해는 여러분들께 맡기도록 하겠다. 80년에 유명했던 미드 X-화일의 주인공 멀더가 했던 말 "진실은 저너머에"이라는 단순히 공상과학에서 웃자고(?)한 이야기가 아니라, 인간이 사실을 진실로 받아들이는데 생길 수 밖에 없는 근본적인 한계에 대한 고찰이었으리라.

xfiles-mulder-truth-is-out-there-the-files-the-truth-is-out-there-473368029.jpg 진실은 저너머에.... (출처: 인터넷 어딘가)






keyword
매거진의 이전글13. 과연 수(數)는 객관적인가? (하)