우주의 성분 함량표

우주 요리법

by astrodiary
cosmic_recipe.png 우주의 성분 함량표 (ChatGPT)

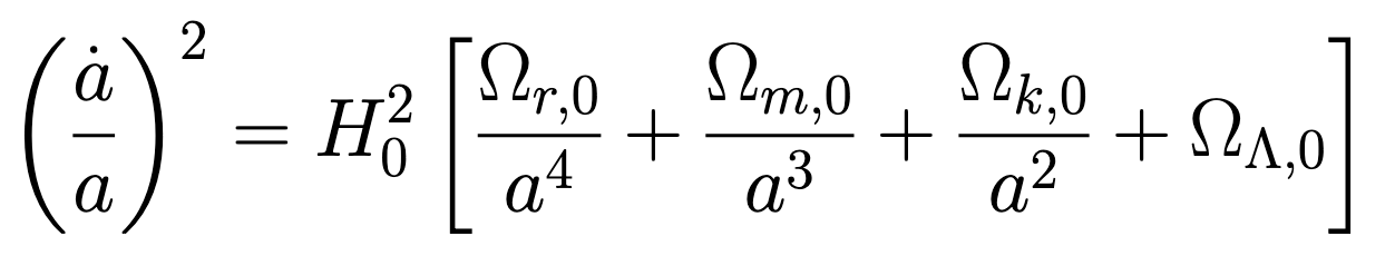
이제 까지 얘기한 빅뱅 우주론의 핵심은 고온 고밀도에서 대폭발로 시작한 우주가 얼마나 빨리 팽창하며 그 결과로 온도는 어떻게 변해가는가 하는 것이다. 우주의 팽창률은 우주를 구성하고 있는 성분들의 상대적인 비율에 달려있다. 프리드만 방정식을 다시 소환해 보겠다.

Screenshot 2026-01-30 at 7.18.50 PM.png

여기서 우변에 들어있는 오메가 항들은 각각 현시점에서 복사, 물질, 곡률, 그리고 우주 상수가 우주 임계밀도에서 차지하는 비율을 나타내는 값이다. 이 값들이 우주가 시간에 따라 어떻게 팽창하는지를 결정짓는다. 아래서 얘기할 우주 배경 복사의 온도 요동 스케일과 앞선 글에서 얘기한 우주 배경 복사의 거시적 균일성에 비추어 곡률에너지가 차지하는 비중은 거의 0에 가깝다. 우주가 식는 과정에서 초기에 가장 중요했던 복사에너지는 현재와 같이 커다란 우주에서는 그 영향이 미미해지고 대신 물질이 차지하는 비중이 지배적이 된다 (우주가 팽창함에 따라 a의 4승에 반비례하는 광자의 에너지는 a의 3승에 반비례하는 물질의 에너지 보다 훨씬 빨리 감소한다). 이와 동시에, 역시 처음에는 그 비중에 미미했지만 상수로서 시간에 따라 변하지 않는 우주상수의 영향도 점점 중요해진다 (광자와 물질의 에너지는 지속적으로 감소하지만 우주상수는 그대로 이기 때문이다). 그리고 나중에 생겨난 거대 구조를 설명하기 위해서는 물질도 바리온 물질과 암흑물질이 차지하는 비율 두 가지로 나누어 생각을 해야 한다. 이것들을 종합해서 말하자면, 현재 우리가 보는 우주를 만들어 내기 위해서는, 우주의 운명 (닫힌, 열린, 평탄한 우주)를 결정하는 인자인 임계밀도를 구성하는 각각의 성분 (광자, 바리온 물질, 암흑물질, 우주상수)을 정해진 비율에 맞게 집어넣어야 한다는 말이 된다.


우주를 요리로 비유하자면, 우주를 만드는 재료들이 무엇이며 그 성분비가 어떠해야 하는지는 알아내는 일은, 만들어진 요리를 맛보고 그 안에 들어간 재료와 그 재료의 상대적인 비율을 알아내는 것과 비슷하다고 할 수 있겠다. 이것은 쓰리스타 미슐렝 세프라 하더라도 쉽지 않은 일이다. 천문학자들도 마찬가지다. 대충 어떤 어떤 재료들이 들어갔을 것 같다는 정도는 알 수 있지만 각각의 재료가 얼마나 들어갔는지는 관측을 해 보지 않고는 알 수 없는 일이다. 이 책도 이제 막바지를 향해 가고 있으니, 여기서는 현대 우주론 모형의 파라미터를 결정하는 관측에 대해서 얘기해 보려고 한다. 위의 프리드만 방정식에서, 우주의 크기를 나타내는 변수 a는 현재 우주의 경우 1이며 과거로 갈수록 그 값은 1보다 작아진다. 그리고 현재 광자의 에너지 밀도는 물질 밀도의 약 1만 분의 1 정도로 아주 작으므로 우주 재결합 시점보다 더 먼 과거로 돌아가지 않는 한 그 영향은 무시할 정도이다. 우리가 빛을 통해서 관측할 수 있는 우주는 우주 재결합 이후부터이므로, 실질적으로 고려해야 할 파라미터는 현재의 허블 상수 H0와, 물질 밀도 비율, 곡률 에너지 밀도 비율, 그리고 우주 상수 에너지 비율이다. 이 파라미터들의 값을 결정하기 위해서 보통 아래의 세 가지 관측을 이용한다.


우주 배경 복사의 비등방성

우주 배경 복사에 대해 설명했을 때 언급했듯이, 배경 복사 온도 요동이 일어나는 공간 규모 (각크기)에 따라 각각의 각크기가 요동에 기여하는 정도를 정량화하면 아래와 같은 각파워 스펙트럼을 얻는다.


CMB-LCDM-5yWMAP-03Mar08-125.gif

1도 규모의 각크기에서 일어나는 요동의 기여분이 가장 크며, 그다음으로 더 작은 각크기 규모에서의 요동들이 뒤를 잇고 있다는 사실을 알 수 있다. 배경 복사의 온도 요동이 일어나는 물리적 크기는, 우주가 식어가는 과정에서 우주 배경 복사가 방출되는 재결합 시점에, 우주를 특정 온도와 압력을 가지고 있는 광자와 물질로 이루어진 유체로 상정하면 알아낼 수 있다. 한편 어떤 관측대상의 각크기는 그 대상까지의 거리에 따라 달라지기 때문에 재결합 시에 일어난 요동을 오늘날 각크기가 1도 규모에서 일어나는 요동으로 관측하려면 현재부터 우주 배경 복사가 일어난 시점까지의 각거리가 얼마여야 하는지 역추산이 가능하다. 이 역추산한 각거리를 맞추려면 프리드만 방정식에서 우주의 곡률은 0이 되어야만 한다.


그다음으로, 바리온 물질, 암흑물질의 밀도를 달리하면 각파워스펙트럼의 마루와 골 사이의 상대적 진폭이 바뀐다. 바리온 물질은 광자와 상호작용을 하는 반면 암흑물질은 광자와 상호작용을 하지 않기 때문에, 바리온 물질과 암흑물질이 배경 복사의 온도 요동에 미치는 영향은 약간 다르다. 하지만 기본적으로 물질의 양이 많으면 각파워스펙트럼의 진폭은 대체로 커진다. 마지막으로 우주 상수가 온도 요동의 미치는 영향은 상대적으로 미미하다. 왜냐하면 우주 상수의 비중은 우주 재결합 시점에서는 다른 성분들에 비해 아주 작기 때문이다. 이 효과들을 종합하여, 아래의 그림은 우주를 구성하는 요소들 각각의 성분비를 바꾸었을 때 우주 배경 복사 온도 요동의 각파워스펙트럼이 어떻게 달라지는지를 보여준다.


CMB_anisotropy.png Cosmic Microwave Background Anisotropies review paper by Wayne Hu and Scott Dodelson 2001


초신성의 광도-적색편이 관계

초신성을 절대광도가 알려진 표준광원이라고 하면, 초신성이 폭발한 은하들의 적색편이와, 초신성의 절대 밝기와 겉보기 밝기를 통해 유추한 초신성이 터진 은하까지의 광도 거리사이의 관계를 아래 그림과 같이 나타낼 수 있다. 프리드만 방정식은 우주 팽창률의 시간에 따른 변화를 기술하기 때문에 프리드만 방정식을 이용하면 관찰자와 관측 대상사이의 거리를 (우주가 팽창함에 따라 늘어난다) 시간에 따른 함수로 구할 수 있다. 적색편이는 다르게 말하면 과거로 흘러간 시간과 같기 때문에, 과거로 갈수록 (혹은 적색편이가 커질수록) 증가하는 광도거리는 적색편이의 함수로 표현이 가능하다. 따라서 프리드만 방정식의 H0와, 물질 밀도 비율, 그리고 우주 상수 에너지 비율을 잘 조정하여, 관측된 아래의 자료들을 가장 잘 맞추는 광도거리를 찾으면 된다. 그림에서 보듯이 현재 자료를 가장 잘 맞추는 광도거리 함수(검은 실선)는 물질 밀도 비율 30%, 우주 상수 에너지 비율 70%을 사용했을 때 얻어진다. 이때 허블 상수 값은 광도거리 모델의 y축상에서의 위치 (y 절편)를 결정짓는 역할을 한다 (대략 70-72 km/s/Mpc 정도의 값을 가진다).

snhubblediagpantheon.gif https://jila.colorado.edu/~ajsh/courses/astr2010_22/hubblesn.html


바리온 음향 진동 (Baryonic Acoustic Oscillations, BAO)

우주 배경 복사가 방출되는 시점이 되면 광자들은 더 이상 물질과 상호작용 하지 않고 광자와 물질로 이루어진 유체를 빠져나온다. 그리고 나면 이렇게 방출된 배경 복사에 '찍혀있는' 물질 요동의 흔적은 재결합 이후 우주가 팽창함에 따라 같이 늘어나며 이 와중에 그 물질 요동이 제공하는 중력장을 따라 모여든 물질들이 뭉쳐 은하들을 형성하기 시작하면 우리는 특정 공간 규모 (각크기)에서 은하들의 밀집도가 평균 이상으로 증가하는 것을 보게 될 것이다. 예상 대로 현재 우주에서 바리온 음향 진동은 관측으로 확인이 되었다. 하지만 같은 관측을 적색편이가 큰, 먼 곳에 존재하는 은하들에 대해서 하지 못할 이유가 없으며 이렇게 하면 정확한 물리적 크기를 알고 있는 바리온 음향 진동의 각크기가 적색편이에 따라 어떻게 변하는지를 추적할 수 있다. 마치 위에서 초신성을 표준 광원으로 하여 거리-적색편이 관계를 조사하는 것과 마찬가지로 바리온 음향진동의 각크기를 표준 척도롤 사용하여 각거리-적색편이 관계를 분석하면 우주 모형의 파라미터를 결정할 수 있다 (아래 그림 참조).

BAO.jpg 바리온 음향 진동을 이용한 거리-적색편이 관계 (https://ned.ipac.caltech.edu/level5/March14/Lahav/Lahav3.html)


특히 바리온 음향 관측은, 발생 빈도수가 적고 표준 광원으로의 신뢰성을 담보하기 위해 자료처리에 세심한 주의를 요하며 측정 오차가 상대적으로 큰 초신성 관측에 비해 측정 오차가 적은 자료를 얻을 수 있다는 장점이 있다 (위의 그림에 보이는 주황색으로 표시한 초신성을 이용한 데이터와 파랑, 검은색으로 표기한 바리온 음향 진동을 이용한 데이터를 비교해 보시라). 이 장점을 살려서, 우주 상수 대신, 암흑 에너지라는 이름을 달고 등장하여, 요새 천문학자들이 많이 연구하고 있는 암흑에너지 모형이 과연 우주 상수가 의미하는 바대로 상수인지 아니면 이 역시 시간에 따라 변하는지를 알아내는데 유용하게 쓰이고 있다. 예전에 우주 상수로 불려 왔던 암흑 에너지는 현재, 우주의 임계밀도에서 차지하는 비중이 물질 보다 크기 때문에 적색편이가 그리 크지 않은 범위 내에서 바리온 음향진동을 잘 관측하면 암흑에너지의 상태를 알아내는데 큰 도움이 된다.


더 나아가, 이 세 가지 관측방법은 각기 정도의 차이가 있기는 하지만, 우주 모형에 들어가는 모든 파라미터들의 의존성을 가지고 있기 때문에, 아래와 같이 잘 결합하여 사용하면 서로 상보적인 효과를 얻을 수 있고 따라서 우주론의 파라미터 값을 좀 더 정확히 결정할 수가 있다.

cosmological_parameters.jpg 초신성, 우주 배경 복사, 바리온 음향 진동 관측결과를 합쳐서 얻어진 우주 모형 파라미터. w와 wa는 시간에 따라 변하는 암흑 에너지 모형과 관련된 파라미터이다.

이 정도면 빅뱅 우주론의 중요한 점들을 거의 따라잡은 셈이다. 여기까지 따라온 여러분들은 현대 천문학 연구의 바탕이 되는 빅뱅 우주 모형에 대해서, 우주론을 전공하지 않는 천문학자들이 이해하는 것과 비슷한 수준의 지식을 가지게 되었다고 생각해도 좋겠다. 이제 남은 일은 빅뱅 이론의 한계가 무엇이고 우주에 대해서 우리가 할 수 있는 질문은 어떠한 것들이 있는지 생각해 보며 이 여정을 마무리 하는 일이다.

이전 08화우주 거대 구조의 형성