우주 거대 구조의 형성

팽창하고 있는 공간에서 자라나는 밀도 요동

by astrodiary

우주 재결합 시점 이후 광자들과 분리되어 움직이기 시작한 물질들은 이제 중력의 지배를 받아 움직이기 시작한다. 이미 우주 배경 복사의 온도 불균일성이, 우주 재결합 시점 당시 물질들의 분포에 불균일성이 있었음을 암시하고 있기 때문에, 주변에 비해 밀도가 높은 곳은 필연적으로 중력의 영향으로 수축을 시작했을 것이다. 오늘날, 천문학자들은 컴퓨터를 사용하여 은하들과 은하단, 그리고 그것들을 연결하는 물질들의 복잡한 분포를 시뮬레이션할 수 있는 경지에 이르렀다. 그렇게 해서 탄생한 아래 그림과 같은 결과는 아무렇게나 만든 시뮬레이션이 아니라, 보이지 않는 암흑물질과 실제로 관측되는 은하들의 통계적인 성질과 공간 분포를 굉장히 비슷하게 재현한 결과물이다. 도대체 천문학자들은 어떻게 이런 일들을 할 수 있었을까?

Imagen Kitaura.jpg 우주 거대 구조 형성 시뮬레이션 https://www.iac.es/en/projects/cosmology-large-scale-structure-probes

30년도 더 된 일이지만 필자는 지금도 기억이 생생하다. 일본에서 발행되어 한국어로 번역 되어 출간된 월간 과학 잡지, "뉴턴"에 실린 글 하나. 그 안에는 사람모양과 비슷한 형태로 우주 공간에 분포하고 있는 은하들의 모습과 이것이 의미하는 바에 대한 해설이 나와 있었다. 바로 우주 거대 구조에 관한 내용이었다. 1980년대 중반 천문학자들은 처음으로 하늘의 여러 위치에서 은하들의 적색 편이를 관측하여 은하들의 공간 분포를 조사하기 시작했다. 하버드-스미소니언 천체 물리 연구소의 과학자 마가렛 겔러과 존 후크라 두 사람이 시작한 은하의 적색 편이 측정을 바탕으로 한 은하들의 분포지도는 (아래그림 참조), 우리 은하 밖을 벗어난 곳에 있는 다른 은하들이 우리가 생각하는 것처럼 균일하게 분포하는 것이 아니라 특정 지역을 따라 뭉쳐 있다는 사실을 보여주었다. 이는 천문학자들이 처음으로 태양계 밖에 있는 별들의 분포를 보고 우리 은하의 구조를 연구하기 시작하면서 느꼈던 흥분과 마찬가지로, 우리 은하 밖에 있는 다른 은하들의 분포를 보고 우주의 구조를 연구하는 천문학자들에게는 엄청나게 흥분되는 사건이었다. 천문학에 대해서 잘 모르던 학생이었던 필자도 이때 처음으로 우주를 이해하고 공부하고 싶다는 생각을 하게 되었다.

cfa_survey.gif 최초의 적색편이 서베이 결과. 부채꼴의 반지름은 은하까지의 거리, 부채꼴의 호는 은하들의 하늘에서의 위치를 나타낸다.

최초의 은하지도를 본 천문학자들은 무슨 생각이 들었을까? "아, 우주는 균일 등방하지 않구나" "우주 원리가 틀린 게 아닐까?" 아마도 이런 생각을 하지 않았을까? 여러분들의 생각은 어떤가? 이 문제는 생각보다 그렇게 간단하지가 않다. 첫째. "우리가 관측한 이 일부의 우주 공간이 전체 우주의 통계적 성질을 대변하는가?" 하는 질문에 답을 해야 한다. 결론부터 말하자면 더 커다란 영역에 대해서 은하들을 관측한 결과들을 보면 위와 같은 정도의 불균일성은 보이지 않는다. 마치 자세히 들여다보면 거칠거칠한 사포 표면이 멀리서 전체를 보면 매끈해 보이는 것과 같은 이치로 우주는 여전히 거시적으로 보면 균일 등방하다. 둘째. "우리가 보는 은하들이 우주 안에 존재하는 물질의 전부인가" 하는 질문에 역시 답을 해야 한다. 역시 결론부터 말하자면, 은하를 이루는 수많은 별들의 기원인 보이는 물질보다 보이지 않는 암흑물질이 더 많다. 이미 1930년대 프릿츠 즈위키가 은하단을 구성하는 은하들의 운동을 근거로 보이는 물질들만으로는 빠르게 움직이는 은하단 내의 은하들의 운동을 설명할 수 없다는 사실을 알아내었고, 그 뒤로 알려진, 은하를 이루는 가스와 별들의 회전 운동 속도가 은하의 중심부에서 점점 멀어지더라도 크게 감소하지 않는다는 사실 역시 암흑물질의 존재를 강력히 뒷받침하고 있다. 이 암흑물질들이 우주 물질의 대부분을 구성하고 있고 균일하게 분포해 있으며 단지 우리에게 보이는 은하들은 암흑물질의 밀도가 아주 높은 곳에서 선택적로 생겨난다고 하면, 평향적으로 분포하는 은하를 이용하여 물질 분포를 유추하는 것은 그리 좋은 방법이 아닐 것이다. (빛을 내는 은하들과 암흑물질 사이의 상관관계와 관측의 편향성에 대해서는 '보이는 것이 다가 아니다'에서 설명을 하였다). 따라서, 상대적으로 좁은 영역에 분포하고 있는 은하들만 보면 은하들의 공간 분포가 불균일 해 보이지만, 거시적으로 보면 우주는 여전히 균일 등방하다고 해도 큰 문제가 없다.


우주 배경 복사의 온도 요동으로 돌아가보자. 관측된 온도 요동은 2.72548도를 기준으로 약 10만 분의 1 정도이다. 그렇다면 주변 밀도보다 약 10만 분의 1 정도 높은 지역이, 우주 재결합 시기로부터 시작해서 중력으로 자라나 현재 은하를 만들 수 있을까? 우주 재결합 시기는 우주가 현재 보다 약 1000배 더 작았을 때이다. 우주 재결합 시기 때 생겼던 10만 분의 1 밀도 차이는 우주가 1000배 팽창하여 1000배로 뻥튀기가 된다 해도 현재 100분의 1 정도밖에 되지 않는다. 은하와 같은 구조 (주변이 거의 진공인 우주밀도에 비하면 은하의 밀도는 엄청나게 크다)를 만들기엔 턱없이 모자라는 값이다. 눈이 보이는 바리온 물질 요동 만으로는 현재 보이는 은하를 만들기에는 역부족이다. 따라서 오늘날 우리가 보는 은하와 은하단과 같은 거대 구조를 만들어 내기 위해서는, 광자와 상호 작용하지 않는, 하지만 중력을 지배를 받는, 그래서 광자와 바리온 물질이 분리되는 우주 재결합 이전에도 광자의 영향을 받지 않고 물질 요동이 중력의 지배를 받아 계속 자라날 수 있었던, '암흑 물질'이 꼭 필요하다. 그래야만 나중에 양성자와 전자의 재결합으로 만들어진 수소가 빛과 더 이상 상호작용을 하지 않게 되면서, 이미 암흑 물질에 의해 형성된 중력장 안으로 떨어져 들어가 뭉쳐 별과 은하들을 형성할 수가 있다.


빛과 물질이 혼재되어 있던 초기 우주는 작은 공간 스케일에서부터 큰 공간 스케일에 걸친 여러 종류의 물질 요동을 포함하고 있었고, 이 물질 요동들이 자라나기 위한 조건은 '주름과 다림질 사이의 줄다리기'에서 얘기한 것처럼 물질을 매질로 음파가 밀도파의 형태로 전파해 가는 거리와 물질요동이 일어난 스케일에 달려있다. 음파가 전파해 가는 거리보다 커다란 스케일에서 발생한 물질 요동만이 음파의 영향을 받아 뭉개지지 않고 살아남아 자라날 수 있고 그보다 작은 스케일에서 발생한 요동은 음파의 영향으로 뭉개지고 만다. 여기에 한 가지 더 고려해야 하는 사실은 물질 요동이 발생하는 무대인 우주자체가 팽창하고 있다는 사실이다. 아무리 커다란 스케일에서 발생한 요동이라도 팽창하는 우주의 경계 안으로 들어오지 못하면 중력 불안정을 통해 자라날 수가 없다. 따라서 우주가 팽창하는 와중에 주어진 시점에서 중력 불안정으로 자라날 조건을 만족하는 요동의 규모는 그 범위가 한정되어 있다. 그리고 그 요동의 규모가 곧 형성된 구조의 질량을 결정하게 될 것이다. 이러한 생각을 바탕으로 하면 종이와 연필만으로 대략 어느 규모의 물질 요동이 먼저 자라나게 될지 계산을 할 수 있다. 일단 자라기 시작한 물질 요동이 일정값이상이 되면 더 이상 종이와 연필만으로는 정확한 계산이 불가능하므로 컴퓨터 모의실험을 해야만 한다.


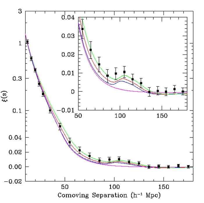
특별히 우주 재결합 시점에서 바리온 물질과 광자가 뒤섞인 상태에서 발생한, 가장 큰 공간 규모의 요동인 바리온 음향 진동은 우주 재결합 이후 광자들이 분리된 이후로 그 공간 규모가 변하지 않은 채 (팽창하는 우주를 따라서 당연히 그 크기는 증가하지만 우주 팽창을 뺀 공변 좌표게에서는 변하지 않는다) 유지되면서 밀도가 자라나 은하들이 생겨나기 시작한다. 수많은 은하들의 공간분포를 통계적으로 조사하다 보면 특정 공간스케일에서 은하들이 예상된 평균치에서 벗어나 조금 더 많이 관찰된다 (아래그림참조). 이를 통해 천문학자들은 바리온 음향 진동이 일어난 공간의 스케일을 잴 수가 있다. 그리고 우주 모형이 가정하는 파라미터 값에 따라 바리온 음향 진동의 공간 스케일이 달라지기 때문에 바리온 음향 진동은 우주 모형을 결정하는데 아주 중요한 관측자료이다.

BAO.jpeg 약 100 메가 파섹 규모에서 보이는, 바리온 음향 진동에 따른 은하들의 밀집도 증가

팽창하는 공간을 결정짓는 우주 모형에 들어가는 파라미터 값들을 정하고, 우주의 밀도 요동 세기의 정도를 공간 스케일의 함수 ('푸리에 나라의 천문학자'에서 얘기한 파워 스펙트럼)로 나타낸 파워 스펙트럼을 초기 조건으로 주고 나서 컴퓨터에게 중력계산을 시켜 물질들의 운동을 시뮬레이션하라고 지시하면 위에 보이는 것과 같이 현재 우주의 은하들의 분포와 비슷한 결과를 얻을 수 있다. 이 모두가 다 빅뱅 우주론이 예견한 우주 배경 복사의 존재와 그 공간요동이 관측으로 확인된 덕분이다. 이제 남은 문제는 우주 형성 레시피에 들어가는 재료들과 그 성분비를 현재의 여러 종류의 관측결과들에 맞도록 잘 조정하는 일이다. 대폭발이라는 비교적 단순한 초기의 아이디어에서 컴퓨터를 사용하여 현재 보이는 우주의 모습을 재현할 수 있을 정도까지 발전해 온 빅뱅 우주론의 근 100여 년 동안의 발전과정은 물리천문에 대한 깊은 이해와 지식에 없이도 그 자체로 흥미로운 인류역사의 한 꼭지라고 할 수 있겠다.

이전 07화우주 배경 복사