푸리에 나라의 천문학자

신기한 푸리에 변환의 세계

by astrodiary
fourier.jpg https://xkcd.com/26/

루이스 캐럴의 소설 '이상한 나라의 앨리스'에 나오는 앨리스는 토끼를 쫓아 가다가 토끼굴에 빠져 이상한 나라에 떨어지게 된다. 그 소설에 나오는 것과 같은 이상한 세상이 우리 주변에도 있다. 바로 푸리에 변환이 만들어 내는 세상이다. 이번에는 푸리에 변환에 대해 말해 보고자 한다.


우리가 경험하고 있는 세상에서 일어나는 일들은 대부분 꽤 복잡해 보인다. 바다에서는 파도가 일고 물결이 출렁인다. 지열을 받아 달아오른 공기 덩어리들을 통해 보는 태양은 이글 거린다. 급류를 따라 흐르는 물은 뭐라 설명하기도 어려울 정도로 복잡한 패턴을 보여준다. 악기들이 내는 아름다운 소리도 단순한 패턴이상의 복잡한 음계들의 배열로 이루어져 있다. 대지도 산과 계곡, 평야로 이루어져 언뜻 보기에 규칙적인 모양이라곤 찾아 보기 힘들다. 이렇게 우리가 보는 세상은 "복잡한 요동"들로 이루어져 있다. 그렇다면 우리가 보는 현상들을 기술할 수 있는 좋은 방법이 있을까? 여기에는 과연 어떤 규칙이라는 게 있기는 한 걸까?


푸리에 변환의 근간이 되는 아이디어를 만들어낸 장바티스트 조제프 푸리에는 18-19세기경 프랑스의 수학자이자 물리학자이다. 고체내의 열전도를 기술하기 위한 방정식을 만들고 이를 풀기 위한 과정에서 푸리에 변환의 기반이 되는 푸리에 급수를 이용하여 일반적인 함수를 근사할 수 있는 방법을 만든 사람이다. 푸리에 변환은 겉으로는 복잡하게 보이는 모양의 함수를 잘 정의된 기본 함수들의 합으로 분해하는 방법이다. 과학,공학,의학등 전분야에서 쓰이지 않는곳을 찾기 힘들정도로 광범위하게 사용되고 있는 푸리에 변환은 천문학에서도 굉장히 유용하며 때론 필수적인 도구이다. 그래서 천문학자들은 푸리에 세상과 현실 세상사이를 왔다갔다 한다. 이제 필자와 같이 푸리에 나라로 들어가 보자.

freq_n0.png 값이 0인 주파수(좌)와 그 주파수를 가지는 파동 함수 (우)

우선 위의 그림은 주파수가 0인 경우 (좌측그림), 그에 해당하는 코사인 파동(?)이다. 주파수가 0이므로 파동의 값은 시간에 따라 변하지 않는 상수이다. 코사인 파동함수 cos(wt)를 생각해보면 주파수 w가 0이므로 시간에 대해 변하지 않는 값이 1인 상수이다.

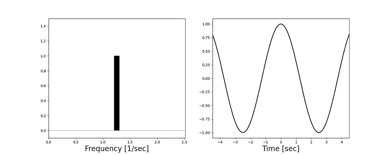
freq_n1.png 1개의 주파수(좌)와 그 주파수를 가지는 코사인 파동 함수 (우)

위의 그림은 (값이 0이 아닌) 한개의 특정 주파수를 가지고 진동하는 코사인 파동 (우측 그림)을 보여준다. 이 파동은 한 개의 주파수 (단위 시간당 진동 횟수)를 가지고 진동한다. 이때 주파수는 시간의 역수이다. 마찬가지로 시간은 주파수의 역수이다. 이제 우리는 이 둘 (시간과 주파수) 사이의 푸리에 변환을 얘기하고자 한다.

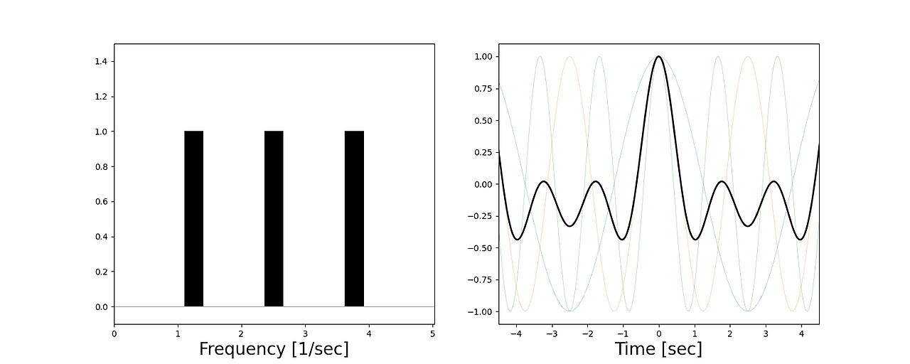
freq_n3.png 3개의 주파수(좌)와 그 주파수를 가지는 각각의 코사인 파동들을 더한 함수 (우)

이제 각기 다른 주파수 (좌측의 그림)를 가지는 3개의 파동을 생각해 보자. 오른쪽 그림에서 이 각기 다른 주파수를 가지는 3개의 파동들을 (흐릿하게 보이는 다른 색의 파동들) 더한 후 진폭이 1이 되도록 조정해 주면 검은 색 모양의 파동을 얻는다.

freq_n10.png 10개의 주파수(좌)와 그 주파수를 가지는 각각의 코사인 파동들을 더한 함수 (우)

이제 각기 다른 주파수 (좌측의 그림)를 가지는 10개의 파동을 고려하면 위와 같은 결과를 얻는다. 이렇게 계속 주파수 갯수를 늘려 주파수 영역을 연속적으로 채우게 되면 아래와 같이 아주 좁은 시간 영역을 제외한 나머지 시간영역에서는 그 값이 거의 0인 델타 함수 모양의 파동을 얻는다 (우측 그림).

freq_n40.png

이렇게 좌측의 주파수 분포를 이용하여 오른쪽과 같은 파동을 만들어 내거나, 반대로 오른쪽의 파동을 그 파동을 이루는 주파수로 분해하여 좌측에 보이는 것과 같은 주파수 분포를 얻어내는 과정을 푸리에 변환이라고 한다 (구체적으로 어떻게 하는지 이해하기 위해서는 복소수와 적분을 알아야 하지만 푸리에 변환의 개념을 이해하는데 중요한 것은 아니다). 따라서 주파수와 시간사이에는 푸리에 변환 관계가 있다. 시간에 따라서 변하는 파동 (우측그림)은 그 주기를 결정하는 주파수가 있고 그 주파수들의 분포와 세기 (지금까지는 모두 같은 세기를 가지고 있는 경우를 상정하였다)를 나타내는 그림 (좌측그림)을 우리는 파워 스펙트럼이라고 부른다. 주파수가 0인 파동은 시간에 따라 변하지 않는 상수인데, 주파수와 시간이 서로의 역수임을 감한하면, 주파수가 0이라는 말은 시간이 아무리 오래 지나도 (무한대의 시간이 걸려도) 변하지 않는다는 말과 같다. 반대로 아주 큰 주파수를 가지는 파동은 아주 짧은 시간에 걸쳐서 빠르게 변한다. 푸리에 변환의 짝인 주파수와 시간 사이에는 이와 같은 역수 관계가 있다. 긴 시간에 걸친 변화는 작은 주파수 값으로 대변되며 반대로 짧은 시간에 걸친 변화는 큰 주파수 값으로 대변된다.

FT_illustration.png https://www.ritchievink.com/blog/2017/04/23/understanding-the-fourier-transform-by-example/

푸리에 변환의 이해를 돕기위한 위의 그림에서, 빨간 선으로 표시된, 시간에 따라 변하는 특이한 모양의 파동함수는 파란색으로 표시된 푸리에 파동함수들의 합으로 표현할 수 있다. 파란색으로 표시된 주파수 축에서 보면, 각각의 파란색 푸리에 파동함수들은 각기 다른 주파수를 가지고 있으며 빨간색 전체 파동을 만드는데 기여하는 지분도 각각 다르다 (파란색 막대들이 위치가 다르고 그 높이도 다르다).


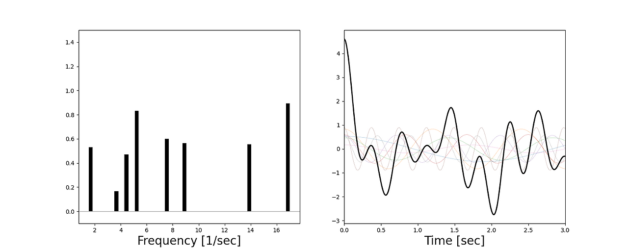
주파수를 무작위로 고른 임의의 값으로 결정하고 각각의 주파수에 해당하는 세기를 다르게 하여 (아래의 왼쪽 그림) 파동을 만들어 더하면 얼른 보기에는 어떤 규칙도 없어 보이는 복잡한 모양의 파동(아래의 오른쪽 그림에 보이는 검은선)을 얻게 된다. 좀 더 수학적으로 얘기하자면, 아래 왼쪽과 같은 파워 스펙트럼을 "푸리에 변환"을 시키면 아래 오른쪽과 같은 복잡해 보이는 파동을 얻을 수 있다. 반대로 아래 오른쪽과 같은 겉보기에 복잡해 보이는 파동을 푸리에 변환을 시키면 그 파동을 만들어내는 주파수들과 그 세기를 나타내는 파워 스펙트럼을 얻을 수 있다. 푸리에 변환은 어떤 함수로도 표현할 수 없을 것 같이 복잡해 보이는 요동을, 그것을 만들어내는 주파수들과 그 세기로 바꾸어 표현한 파워 스펙트럼의 모양과 세기를 가지고, 수학적으로 기술할 수 있게 해준다. 단 시간이 아닌 주파수를 변수로 하는 공간에서 말이다. 따라서 수학적으로는 편리할지언정, 푸리에 변환을 거쳐서 우리에게 익숙한 시간이 아닌 주파수로 현상을 이해하는 일은 쉬운일이 아니다. 마치 지금 살고 있는 세계를 떠나 이상한 나라를 여행하는 앨리스와 같은 느낌이라고 할까...

random.png

하지만 그 수학적인 편리성과 단순함 때문에 천문학자들은 종종 "푸리에 나라"의 사고 방식으로 현상를 이해하고 기술한다. 이를 굉장히 잘하는 일부 천문학자들은 오른쪽과 같은 복잡한 요동을 머릿속에서 직관적으로 푸리에 변환을 하여 왼쪽의 파워 스펙트럼을 꽤 정확하게 유추하는 경우도 있다.


비록 주파수와 시간을 이용하며 설명하기는 했지만, 만약 우리 주변에서 보이는 현상 (요동치는 수면이나 난류로 인한 불균일한 구조를 가지는 대기, 천문학의 경우 우주적 스케일에서의 물질분포)이 복잡한 공간적인 요동을 포함하고 있는 경우도 푸리에 변환을 이용하면 굉장히 유용한 정보를 얻을 수 있다. 이 경우는, 시간의 푸리에 변환 "짝"이 주파수 인 것처럼, 거리척도 (혹은 각거리척도)에 해당하는 푸리에 짝을 상정해야 한다. 적당한 말이 없어 보통 "주파수"라는 말을 그대로 쓴다 (공간 주파수 혹은 각주파수). 대표적인 예로 우주 배경 복사의 온도 요동 (아래 그림)을 정량화해서 기술하기 위해 관측된 온도 요동을 각주파수로 변환하여 각파워 스펙트럼(angular power spectrum)을 도출하는 것을 들 수 있겠다.

Screenshot 2025-11-22 at 1.14.21 AM.png 우주 배경 복사의 온도 요동과 이를 각 주파수로 분해한 그림 (Hans Kristian Eriksen)

우주 배경 복사를 관측하여 평균을 기준으로 약간의 들쭉날쭉한 미세한 온도의 요동을 재면 위와 같은 그림 (좌측)을 얻을 수 있다. 이제 이 구면상에 보이는 온도 요동을 구면 조화 함수 (spherical harmonics)라고 불리는 특별한 함수들의 합으로 분해할 수 있다 (우측 그림). 각각의 구면 조화 함수는 그에 대응하는 각크기의 역수인 각주파수 (angular frequency, 알파벳 l) 값을 가지고 있다 (위에서 보인대로 시간의 변화에 따른 요동을 기술하는 푸리에 급수인 파동함수들이 특정 시간에 대응하는 주파수 값을 가지는 것과 마찬가지 원리이다). 우주 배경 복사의 온도 요동을 각주파수를 가지는 구면 조화 함수들의 합으로 분해하는 과정은 엄밀하게는 푸리에 변환과는 다르지만 모종의 요동을 잘 정의 된 기본 함수들로 분해하여 기술한다는 점에서는 푸리에 변환과 그 맥을 같이 한다고 할 수 있겠다.

Screenshot 2025-11-22 at 1.14.49 AM.png 우주 배경 복사 온도 요동과 이를 각주파수로 분해하여 그린 각파워 스페트럼 (Hans Kristian Eriksen)

이렇게 해서 얻어진 각파워 스펙트럼은 위와 같다. 각주파수(l)값이 크면 작은 각크기 규모의 요동을, 각 주파수가 작으면 큰 각크키 규모의 요동을 대변한다 (주파수와 시간의 관계와 같다). 각파워 스펙트럼에 나타난 각각의 각주파수에 해당하는 세기는, 그 각주파수에 해당하는 각크기 규모의 요동이 우주 배경 복사 온도 요동에서 차지하는 비중을 나타낸다. 각파워 스펙트럼에서 보듯이 온도 요동에서 제일 큰 비중을 차지하는 각주파수 l=200는 하늘에서 약 1도 정도의 각크기에 해당한다 (대부분의 우주배경복사의 온도 요동은 약 1도 크기의 스케일에서 일어나고 있다). 이 1도 라는 값은 굉장히 중요한 의미를 지닌다. 왜냐하면 빅뱅을 기점으로 팽창해온 우주가 기하학적으로 열린 구조냐 닫힌 구조냐에 따라 우리에게 보이는 우주 배경 복사 온도 요동의 각크기 스케일이 달라지기 때문이다. 200보다 작으면 닫힌 우주, 200보다 크면 열린우주가 만들어낸 결과물이다. 하지만 현재 관측값 (l=200)은 우주가 평탄하다는 사실을 지지하고 있다 (20세기 천문학에서 가장 중요한 관측인 우주 배경 복사가 가지는 의미는 나중에 기회가 되면 한 번 얘기해 보기로 하겠다).


또 다른 푸리에 변환의 예는 우주 공간에 불균일하게 분포하는 은하들의 공간 분포를 나타낸 파워 스펙트럼이다. 우주공간에 있는 수 많은 은하들의 갯수 밀도를 재어 아래 오른쪽에 보이는 것과 같이 평균 밀도에 대한 요동 (평균 밀도 보다 높거나 낮거나)을 잴수 있다 (원래는 하늘 평면인 2차원 공간상에서 잰 양이지만 단순화 시키기 위해 1차원 상에서의 요동만을 보여주었다). 보시다시피 모양이 불규칙해서 이걸 가지고는 뭘 해 볼 수 있을 것 같지 않지만, 이 밀도 요동을 푸리에 변환을 하면 왼쪽에 보이는 것과 같은 파워 스펙트럼을 얻는다. 어떤가, 모양이 훨씬 단순하다. 이런 경우는 간단한 수학적 함수로 파워 스펙트럼을 기술할 수 있다. 파워 스펙트럼의 x축 변수 (파수, wavenumber 라고 부르지만 본질적으로 길이의 역수이다)는 작아질 수록 더 큰 공간규모를, 커질수록 더 작은 공간 규모를 대변한다. y축에 표현된 세기는 각각의 파수에 해당하는 공간 규모의 요동이 차지하는 비중을 나타내는데 주로 10 메가 파섹 (10 Mpc) 정도보다 큰 공간 (참고로 은하간의 평균거리가 약 1 Mpc 정도이다) 규모의 요동이 관측된 밀도 요동의 대부분을 차지한다는 사실을 알 수 있다.

Screenshot 2025-11-22 at 11.24.04 AM.png
Screenshot 2025-11-22 at 11.25.09 AM.png
(우) 관측된 은하들의 갯수 밀도 요동. (좌) 파워 스펙트럼 (https://www.roe.ac.uk/~jap/2df/powspec/intro.html)

10Mpc 보다 큰 공간 규모에서는 그안에 있는 물질들의 밀도요동이 비교적 천천히 '선형적으로' 자라나지만 그보다 작은 규모의 공간에서는 밀도요동이 자체 중력에 의해 급격하게 '비선형적으로' 자라나 굉장히 불균일한 구조를 만들어 낸다 (바로 이 때문에 은하가 생겨날 수 있는 것이다). 그래서 우주는 커다란 공간 규모에서 보면 비교적 균일한 물질 분포를 가지고 이것은 현대 우주론의 근간이 되는 가정중의 하나이다 (우주는 거시적 규모에서 등방하고 균일하다).


마지막으로 은하 중심의 활동성 은하핵 (AGN)에서 보이는 변광 현상 (아래 우측)도 보기에는 복잡해 보이지만 푸리에 변환을 해서 그 파워스펙트럼 (아래 우측)을 살펴보면 비교적 단순하고 잘 정의된 모양을 볼 수 있는데, 어떤 주파수 (0.01 Hz)보다 큰 경우는 모든 주파수에 대해서 파워스펙트럼의 세기가 같은 것을 확인할 수 있을 것이다. 이런 경우를 우리는 백색잡음 (white noise)라고 부른다. 빗소리, 파도소리 등이 백색잡음의 성질을 가지고 있다. 따라서 100 초 (1/0.01, 주파수의 역수는 시간임을 기억하자) 보다 짧은 시간 스케일에서 변하는 AGN의 변광 현상은 백색잡음과 같은 성질을 띠고 있다.

Screenshot 2025-11-22 at 12.16.50 PM.png
Screenshot 2025-11-22 at 12.16.38 PM.png
활동성 은하핵의 변광 자료와 그 스펙트럼 https://iopscience.iop.org/article/10.3847/2041-8213/adace8#artAbst

푸리에 변환은 우리가 접하는 복잡해 보이는 일상과는 다른 세상에서 물리적 성질을 더 간단한 방법으로 기술할 수있게 해주는 놀라운 도구라는 말을 끝으로 이만 푸리에 변환에 대한 얘기를 마치고 다시 일상 세계로 돌아가기로 하자.

keyword
매거진의 이전글팽창하는 대기를 가지는 별에서 보이는 스펙트럼