brunch

사진 한 장으로 하는 천문학 연구

은하들의 개수 밀도를 재어 알아보는 은하 진화와 우주의 기하학적 구조

by astrodiary
HST.jpeg 허블 우주망원경으로 찍은 밤하늘. 사진에서 보이는 거의 모든 천체들은 다 은하들이다.

천문학의 주는 즐거움의 하나는 바로 위의 사진에 나온 것처럼 밤하늘을 빼곡히 채우고 있는 수많은 은하들을 감상하는 일이다. 우리가 살고 있는 지구, 그 지구를 거느리고 있는 태양, 태양과 같은 수백, 수천억 개의 별들을 가지고 있는 우리 은하, 그리고 우리 은하와 같은 수백, 수천억 개의 은하들을 포함하고 있는 우주.... 위의 사진에 보이는 점하나 하나 가 은하라는 사실을 생각해 보면 밤하늘은 실로 경이로운 공간이다. 하지만 위와 같은 사진은 그저 아름다운 밤하늘 사진으로 잠깐 보고 흘려버리기에는 아까운, 엄청나게 유용한 정보를 포함하고 있다. 지금부터 그 얘기를 해 보기로 한다.


우선 사진에 나온 은하들의 밝기를 재어 등급을 정하기로 하자. 예전에는 감광제를 이용하여 사진 건판에 찍힌 천체의 밝기를 재었지만, CCD가 등장하고 나서부터는 밝기를 정량적으로 재는 일이 훨씬 수월해져서 일반인들도 디지털 사진에 찍힌 대상의 밝기를 컴퓨터 소프트웨어를 이용하여 잴 수가 있다.


이제 사진에 찍힌 모든 은하들의 밝기를 재어 등급 (겉보기 등급)으로 환산한 후, 일정 등급보다 작은 등급 (천문학에서 등급이 작다는 말은 밝다는 말과 같다)을 가지는 은하들의 개수를 세어 기록하기로 한다. 15등급 보다 작은 등급을 가지는 (즉, 15등급의 은하들보다 밝은) 은하들의 개수를 세어 기록하고, 그다음 16등급 보다 작은 등급의 은하들, 또 그다음 17등급 보다 작은 등급의 은하들의 밝기를 기록한다. 이렇게 계속하여 18, 19, 20... 등급까지 계속하다 보면 점점 더 어두운 은하들을 포함하게 되고, 은하들의 개수는 늘어나다가 결국에는 어느 등급이하로는 보이는 은하들이 없어서 개수 세기를 중단하게 된다. 언듯 보기에 별것 아닌 것처럼 보이지만, 이렇게 기록한 정보는 굉장히 중요한 천문학적 의미가 있다.


높은 겉보기 등급을 가지는 (즉, 어두운) 은하들은 멀리 떨어져 있을 가능성이 높기 때문에 15등급 보다 밝은 은하들의 개수를 셀 때보다는 25등급보다 밝은 은하들의 개수를 셀 때 우리는 더 먼 거리에 있는 더 많은 은하들은 포함하게 된다. 은하의 절대 밝기가 다 동일하다고 가정하고 (사실은 은하들의 밝기가 제각각 다르고 시간에 따라 밝기가 점차 어두워진다는 사실도 바로 은하의 개수 세기를 통해서 알게 되었다), 은하들의 겉보기 밝기는 거리의 제곱에 반비례한다는 사실을 고려하면, 개수를 셀 때 더 어두운 은하들을 포함할수록 우리는 더 커다란 부피를 가지는 공간 안에 들어 있는 더 많은 은하들을 포함하게 된다. 즉, 내가 정한 어떤 겉보기 밝기들 (15,16,17,18... 등급이라고 해보자) 보다 밝은 은하들을 모두 골라 더한 개수는 그 겉보기 밝기가 감소할수록 늘어난다 (18등급보다 밝은 은하들의 개수가 15등급 보다 밝은 은하들의 개수보다 더 많다).


우리가 셀 수 있는 은하들의 개수는 공간의 부피에 비례해서 늘어나기 때문에, 거리의 세제곱에 비례해서 증가한다. 한편 은하까지의 거리는 은하들의 겉보기 밝기의 제곱근에 반비례하므로, 이렇게 잰 (특정 겉보기 밝기보다 밝은 모든 은하들을 골라서 숫자를 세는) 은하들의 개수는, 겉보기 밝기의 3/2승에 반비례한다.


그럼 이제, 15등급 보다 밝은 은하들의 개수, 16등급 보다 밝은 은하들의 개수, 17 등급, 18 등급, 19 등급, 20 등급,... 보다 밝은 은하들의 개수를 세어 그래프를 그려보기로 한다. 등급과 밝기의 변환관계를 고려하면, 아래의 주황색 점선 모양의 경향을 보여 줄 것으로 기대한다 (겉보기 밝기의 3/2승에 반비례한다는 사실을 등급으로 환산해서 그리면 주황색 선이 된다). 등급이 커질수록 점점 멀리 있는 어두운 은하들을 포함하게 되고 누적된 은하의 개수는 늘어난다. 하지만 실체 관측 자료는 주황색 직선을 따르지 않는다 어두운 등급으로 갈수록 누적된 은하들의 개수는 약간씩 줄어든다.

count.png 정해진 등급보다 밝은 은하들의 개수를 세어 기록하였을 때 기대할 수 있는 등급과 은하개수의 관계


주황색 선은 우주가 단순한 유클리드 공간이라고 가정했을 때 기대되는 결과이고 푸른색 선은 우주가 안에 포함되어 있는 물질의 밀도에 따라 기하학적 구조가 변하는 비 유클리드 공간이라고 가정했을 때 기대되는 결과이다. 우주론에 등장하는 거리와 적색 편이 사이의 관계식 안에 우주 모형 변수들이 들어가 있기 때문에 어떤 변수 값을 쓰느냐에 따라 약간 씩 다른 모양의 선을 얻을 수 있다 (위의 푸른 선은 그중 하나이다). 어쨌든, 천문학자들의 연구에 따르면 어떻게 해도 관측된 자료는 유클리드 공간의 우주를 가정했을 때와는 맞지 않는다.


은하 개수 측정 모델에서 또 하나 간과한 것은 은하들의 광도가 은하들에 따라 각기 다르고, 은하가 생겨났을 당시에 밝았던 은하라도 시간이 지나면 그 밝기가 줄어든다는 사실이다. 이제 실제 천문학자들이 관측한 은하 개수 측정 자료와 그 해석을 보자.

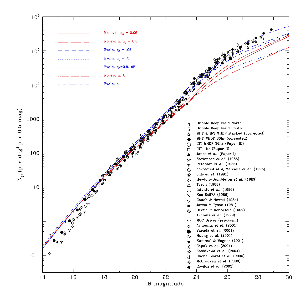
counts_bband.png 특정 등급보다 밝은 은하들의 누적 개수를 등급에 따라 그린 그림 (https://astro.dur.ac.uk/~nm/pubhtml/counts/counts.html)

위의 그림에서 여러 종류의 기호는 각기 다른 연구그룹들의 자료를 나타낸다. 일단 자료들이 "은하의 밝기등급과 그 밝기보다 밝은 모든 은하들의 누적된 개수"를 나타내는 이 그래프 상에서 일직선 모양을 따르지 않는다는 사실은 분명하다 (우주는 비 유클리드 공간이다). 위에서 설명한 대로 이것은 우주의 기하학적 구조 만으로 부분적으로 설명이 가능하지만 (위 그림의 붉은 선들), 여전히 그것 만으로는 어두운 등급 (24등급 이하)에서 나타나는 은하 개수 측정 자료를 잘 맞출 수가 없다. 잘 보면 24등급 이상에서 은하들의 관측 자료는 붉은 선들 보다 위에 분포하고 있다. 이 말은 어두운 은하들이 우리가 생각하는 것보다 더 많다는 말이다. 왜일까? 모든 은하들의 밝기가 다 똑같고 시간에 따라 변하지 않는다는 우리의 가정에 문제가 있다고 보는 것이 합리적인 추측일 것이다. 만약 은하들이 태어났을 땐 밝았다가 시간이 지나면서 점차 어두워진다면 어떨까? 그렇다면 먼 곳에 있는 오래전에 생겨난 은하들은 시간이 오래 흘러 어두워진, 오늘날의 비슷한 은하들에 비해 상대적으로 더 밝았을 것이다. 따라서 사진 건판에 검출될 가능성이 더 많고 그 개수도 은하진화를 고려하지 않았을 때 예상되는 수보다 많을 것이다.


이런 이유로, 천문학자들은 은하의 개수를 측정할 때 은하의 광도가 시간에 따라 변화한다는 (오래전에 태어났던 먼 거리에 있는 은하들은 그 밝기가 시간이 지남에 따라 줄어든다) 사실을 가정한 모델을 도입하여 기대되는 은하 개수 측정값을 계산하였고 이것이 관측자료를 더 잘 맞춘다는 사실을 확인하였다 (위의 그림에서 우주의 기하학적 구조에 더하여 은하의 광도 진화를 고려한 파란색 선들이 자료를 더 잘 맞춘다는 사실을 확인 할 수 있다). 관측된 자료에 편향성은 없는지, 있다면 그 영향이 얼마나 될지를 여러 해 동안 고민한 결과 천문학자들은 우주가 비 유클리드 공간이라는 사실과 은하들의 광도가 시간에 따라 변한다는 사실을 받아들이게 되었다.


은하 진화 연구의 시발점이 된 이 은하 개수 측정은 엄청나게 특별한 기술을 요구하지 않는다. 상대적으로 간단한 아이디어와 이를 뒷받침할 수 있는 관측자료인 사진 몇 장이 필요했을 뿐이다. 이를 계기로 천문학자들은 본격적으로 은하 진화 모형을 개발하고 은하들이 어떻게 생겨나고 진화하는 지를 연구하기 시작하였다. 천체 물리학을 잘 모르는 사람들도 조금만 인내심을 가지면 이해할 수 있는 굉장히 창의적인 아이디어 라서 기회가 되면 다음에 얘기를 더 해보기로 하겠다.

keyword
매거진의 이전글천문학의 성배 (聖杯)