중학교 수학 수업, 여름(6) 황금비

중학교 수학 수업 - 여름 (6)

by Galaxy샘

'황금비(Golden Ratio)', '1:1.618'

황금비에 대한 수업은 학생들에게 충분히 흥미롭지만,

중학교 3학년 이차방정식을 배울 때까지 아껴둡니다.


이차방정식을 알아야 황금비를 비로소 제대로 계산해 낼 수 있으니까요.

'황금비' 수업을 하는 날, 지갑에서 신용카드 하나를 꺼냅니다.

세계 어느 나라든, 표준이 된 신용카드의 크기 (가로: 85.60 mm, 세로: 53.98 mm)

이 카드의 모양이 바로 ‘황금 사각형’ 이라고 알려줍니다.


공책에 정사각형을 그리고, 정사각형의 한 변과 다른 한 변의 절반의 대각선을 컴퍼스로 돌리면,

이때 만들어지는 직사각형이 바로 '황금 사각형'입니다.

image.png

'황금 사각형'에서 가로의 길이와 세로의 길이의 비가 대략 '황금비'의 '1:1.618' 인 것입니다.


'황금 사각형'에서 정사각형을 하나 뺀 남은 직사각형도 다시 작은 '황금 사각형'이 됩니다.

작은 '황금 사각형'에서 다시 정사각형을 하나 빼는 과정을 계속 반복한 후,

처음 정사각형에서 정사각형의 한 변을 반지름으로 한 호를 그린 후,

다음의 작은 정사각형에서의 호와 매끄럽게 연결하기를 계속하면, '황금 나선'이 완성됩니다.

스크린샷 2026-02-27 115441.png


고대 이집트 기자 지역에 있는 피라미드에서 밑면의 높이 1/2과 옆면의 높이는 '황금비' '1:1.618'에 가깝고

고대 그리스 파르테논 신전을 정면으로 봤을 때, 가로 길이와 세로 길이의 비도 '황금비' '1:1.618'에 가깝고,

중세 프랑스 파리 노트르담 대성당의 정면 구성에서도 '황금비'가 여럿 발견되고 있습니다.

image.png

우리가 아름답다고 여기는 건축에서 비율을 계산해 보면, 거기마다 '황금비'가 있는 건 우연일까요?

이 비율은, 그것을 알았든 몰랐든, 아름다움을 추구했던 작품들에 스며들어 있는 것 같습니다.


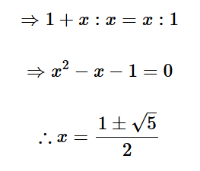
'황금비'에 대한 명확한 수학적 정의는 유클리드(BC.325? ~ B.C.265?)의 <원론>에 나옵니다.

한 선분을 두 부분으로 '긴부분 : 짧은부분 = 전체길이 : 긴부분' 과 같이 나눌 때,

그 비율을 '외중비'라고 했습니다.


https://www.shutterstock.com/ko/blog/what-is-the-golden-ratio/?dd_referrer=https%3A%2F%2Fwww.google.


유클리드의 정의를 수식으로 풀어 보면, ( a = x , b = 1 이라고 하면) 아래와 같습니다.

image.png



'황금비'와 관련하여 주목할 수학자는, 이탈리아 수도사이자 수학자인 '루카 파치올리(1445~1517)' 입니다.

그는 <산술, 기하, 비례 요약>이라는 책을 써서 오늘날 '회계학의 아버지'라고 불리기도 합니다.

그는 20대 후반 프란체스코 수도회에 들어가게 되고, 거기에서 수학 연구를 열심히 하다가

유클리드의 <원론>을 접하게 되면서 '황금비'에 경이로움을 느꼈습니다.

그리하여 파치올리는 '황금비'를 신이 미리 예정한 '신성한 비례'로까지 여겼습니다.

1498년에 <신성한 비례에 대하여(De divina proportione)>라는 책을 집필했습니다.


그리고 그 책 서문에 '형언할 수 없을 만큼 뛰어난 왼손잡이이자 모든 수학 분야에 정통한 인물이

고맙게도 삽화를 그려줬다.' 라고 썼습니다.

스크린샷 2026-02-26 215354.png 출처 : https://www.dongascience.com/news/28500


이 인물이 누구일까요? 바로 '레오나르도 다 빈치(1452~1519)' 였습니다.

레오나르도는 그의 예술의 황금기라고 불리는 '밀라노 시기'에 파치올리를 만났습니다.

1496년부터 3년 동안 밀라노 궁정에서

레오나르도는 파치올리와 같이 지내면서 그에게서 수학을 배웠습니다.

아마도 이 시기에 '황금비'도 배웠을 것입니다.

이 시기에 파치올리는 <신성한 비례에 대하여>를 집필했고,

레오나르도는 이 시기에 무엇보다도 '최후의 만찬' 벽화를 그렸습니다.


전쟁이 나자 레오나르도와 파치올리는 함께 피난길에 올랐다가 다시 피렌체로 갑니다.

이때 레오나르도는 '모나리자'를 시작했고 '성안나와 성모자'를 시작했으며,

'비트루비우스(Vitruvius) 인체도'를 완성했습니다.

파치올리는 늘상 '수학이 없이는 예술도 없다.'라고 말했다고 하는데,

레오나르도의 '비트루비우스 인체도'는,

'신성한 비례'인 '황금비'를 인간에게서 찾아 그림으로 구현한, 수학에 기반한 예술이었던 것이지요.


레오나르도 사망 후 수천 페이지의 친필 노트가 남겨졌다고 합니다.

그 노트를 보면, 단순한 스케치북이 아니라

레오나르도가 죽기 직전까지도 여러 도형을 그리면서 기하학 연구에도 매진했던 것을 알 수 있습니다.

심지어 당시에는 발견되지도 않았던 정사면체의 무게 중심을 찾은 그림도 그려져 있었다고 합니다.

화가로서의 레오나르도 다 빈치 배후에는 수학자로서의 레오나르도 다 빈치가 있었던 것입니다.


레오나르도의 '최후의 만찬'에서 '황금비'가 확인되고,

image.png

레오나르도의 '모나리자'에서도 얼굴의 크기가 '황금 사각형'이고, 이목구비도 '황금비'에 따라 배치되었으며,

모나리자의 구도에 '황금 나선'이 숨겨져 있기도 합니다.

'비투르비우스 인체도'는 레오나르도가 의도적으로 '황금비'를 반영한 작품으로,

특히 머리끝에서 배꼽, 배꼽에서 발바닥까지의 거리의 비가 정확하게 '황금비' 입니다.

'황금비'라는 신이 준 선물을, 인간이 가장 잘 활용하여 만든 예술 작품이

바로 레오나르도 다 빈치의 그림들일 것입니다.

image.png 좌 : 모나리자 , 중앙 : 암굴의 성모, 우 : 비투르비우스 인체도


'황금비'를 배우고 나면 달리 보이는 것이 바로 '정오각형' 입니다.

정오각형에서 대각선을 그리면 '별'이 나타납니다.

'정오각형과 그 별'을 피타고라스 학파가 가슴에 달고 다녔다는 얘기가 전해 오지요.

학생들에게 '정오각형과 그 별'에서 찾을 수 있는 '황금비'를 모두 찾아 보라고 합니다.

스크린샷 2026-02-26 152937.png

정답은 모든 변의 비가 '황금비'와 관련 있다는 것입니다.

피타고라스 학파가 '정오각형과 그 별'을 그토록 사랑했던 이유가 있었네요.

'정오각형과 그 별'의 모든 선분의 길이의 비가 황금비라는 것을 알게 되면,

'정오각형과 그 별'을 노트 구석에라도 그려 놓고 싶어 지기도 합니다.


'황금비' 수업에서 학생들이 제일 재밌어 하는 것이, '내 친구의 황금비 찾기' 입니다.

두 명이 짝이 되어, 줄자만 있으면 됩니다.

머리에서 배꼽까지 길이 : 배꼽에서 발까지 길이, 어깨에서 팔꿈치까지 길이 : 팔꿈치에서 손가락 끝까지 길이

얼굴의 가로 길이 : 얼굴의 세로 길이, 눈썹에서 코끝까지 길이 : 코끝에서 턱끝까지 길이 등등

서로 서로 측정해 주면서 '황금비'인지 아닌지 계산하다 보면,

교실에는 한바탕 웃음꽃이 핍니다.


'황금비' 관련해서는 유익한 동영상도 많습니다.

2014년에 제작∙방영된 EBS 다큐프라임 '황금비율의 비밀' 을 비롯해

유튜브에도 황금비 관련 다양한 영상들이 있고, 학생들과 함께 보기도 합니다.


덧붙여 동양에서는 '황금비' 대신에 자주 활용되었던 '금강비(金剛比)'가 있었다고 하네요.

서양인에 비해 키가 작은 동양인의 경우,

'황금비'인 1:1.618 보다 '금강비'인 1:1.414(√2) 를 아름답게 여겼던 것이지요.

실제로 석굴암, 불국사, 부석사, 경복궁 등등의 우리나라 건축물에서 금강비가 많이 발견된다고 합니다.


'황금비' 혹은 '금강비' 수업을 통해

학생들이 수학의 세계가 예술의 세계와도 충분히 가까울 수 있다는 걸

조금이나마 느낄 수 있으면 좋겠습니다.


수학 수업이 끝나자, 샘을 실제보다도 훨씬 예쁘게 그려 놓은 종이를 부끄럽게 건네는 현서,

수업 시간에 수학 공부는 안 하고 그림만 그렸냐며 도저히 혼낼 수가 없습니다.

다만 '황금비'에 대한 수업은,

그림 그리기 좋아하는 현서에게도 흥미 있는 수업이었기를 바래봅니다.

작가의 이전글중학교 수학 수업, 여름(5) 수학 '멘토-멘티' 활동