7.3 합하여 이룬 질서

by 이른별

상대속도와 음수를 이해한 뒤, 나는 다시 원래 사유의 흐름으로 돌아왔다. 평평한 바닥 위에서 같은 속력으로 서로를 향해 움직이던 두 돌이 충돌하는 장면은, 지면에 선 관찰자에게는 완벽히 대칭적인 모습이다. 하지만 이 장면을 일정한 속도로 움직이는 관찰자가 본다면, 돌의 운동은 더 이상 대칭적으로 보이지 않는다.


먼저 이런 상황을 상상해 보자. 지면 위에서 한 돌은 가만히 있고, 다른 돌이 달려와 그것을 들이받는다. 그리고 또 하나의 상황, 두 개의 돌이 같은 속력으로 서로를 향해 달려와 부딪치는 사건을, 그중 하나와 같은 속도로 이동하며 관찰하는 상황을 상상해 보자. 지면에 대해 관찰자와 같은 속도로 움직이는 돌은 정지해 있는 것으로 보인다. 그리고 다른 돌 하나는 두 배 빠른 속도로 달려와 정지한 돌을 들이받는 것으로 보인다.


지상에서의 비대칭적 운동. 그리고 지상에 대해서는 대칭적이지만, 움직이는 관찰자에 의해 비대칭적으로 관찰되는 운동. 둘은 구분되지 않는다. 자연의 법칙은, 어느 누구에게나 동일하게 작용해야 한다. 정지한 사람에게 보이는 세계와, 움직이는 사람에게 보이는 세계는 모습이 다르더라도, 그 속에 흐르는 원리는 같아야 한다.


대칭적으로 운동하는 두 돌 각각의 충돌 전후 속도는 아래와 같다.



운동 속도가 +(속도)인 관찰자의 세계를 생각해 보면, 각각의 속도는 아래와 같이 관측될 것이다.



정리하면, 아래와 같다.



이 상황은 정확히, 지상에 대해 정지한 돌을 향해 다른 돌이 충돌하는 상황과, 구분 불가능하다. 초기 속도가 각각 0, -(속도)인 두 돌이 충돌하는 경우, 충돌 전후의 속도는 아래와 같이 나타나며, 두 속도의 합·평균은 충돌 전후 일정하게 유지된다.



정지한 돌과 이를 향해 운동하던 돌이 충돌하는 상황에서 각각의 속도 변화를 구한 나는, 이제 두 돌이 각각 임의의 속도로 운동하다 충돌하는 상황에서 각각의 속도 변화를 계산하는 방법을 고민하기 시작했다.


이러한 충돌 또한, 지면에 대해서는 대칭적으로 운동하지만 특정 속도로 운동하는 관찰자에 의해 비대칭적으로 관찰되는 두 돌의, 충돌에 대응시킬 수 있을 것이다. 먼저, 지면에 대해서는 대칭적인 두 돌의 속도가, 주어진 두 임의의 속도 (속도1), (속도2)로 관찰될 때, 관찰자의 속도는 어떻게 구할까?


지면에 대해 두 돌은 같은 속력으로 다가오기 때문에, 두 돌의 중점은 지면에 대해 고정되어 있다. 하지만 속도 –(가)로 움직이는 관찰자의 세계에서 두 돌의 중점은 움직이는 것으로 관찰되며, 그 속도는 관찰자에 대한 지면의 상대속도 +(가)와 같다.



관찰자의 세계에서 두 돌의 속도는, 해당 세계에서 둘의 중점이 이동하는 속도 (가)와 중점에 대해 각각이 다가오는 속도 +(나), -(나)를 더한 것과 같다.



따라서, (가)는 (속도1), (속도 2)의 평균으로 구해지고, (나)는 둘의 차를 반으로 나누어 구해진다.



이제 충돌 전후 두 돌의 속도를 계산하면, 아래와 같다.



수식을 관찰해 보면, 똑같은 두 돌의 충돌 전후로 평균 속도, 즉 둘의 중점이 운동하는 속도가 보존됨을 알 수 있으며, 수식을 정리하면 아래와 같다.



그리고 이 결과는 지면 위에 고정된 세계에서도 적용된다. 각각 속도가 (속도1), (속도2)이고 물리적 성질이 동일한 두 돌의 충돌 전후 속도는 아래와 같다.



두 돌의 충돌 전후의 속도를 나타낼 수 있게 된 나는, 이를 더욱 간결하게 표현하고 싶었다. 나는 고민 끝에, (속도1), (속도2)에 각각 어떤 계수를 곱한 다음 더하는 연산을 아래와 같이 표현하고, 이를 행렬이라 부르기로 하였다.



그렇다면, 서로 다른 크기의 두 돌의 충돌 전과 후의 속도는 어떻게 나타날까? 예를 들어, 어떤 돌과 그보다 두 배 무거운 돌이 충돌하는 경우는 어떻게 될까? 이 경우에도 두 돌의 평균 속도가 보존될까? 두 돌의 중점이 운동하는 속도가 보존될까?


낙하에 대한 사고 실험에서와 같이, 같은 무게의 돌 두 개가 묶인 것은, 무게가 두 배인 돌 하나와 구분되지 않는다. 이를 바탕으로, 어떤 돌과 그의 두 배에 해당하는 돌의 충돌을, 세 돌의 충돌에 대응시킬 수 있다.


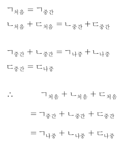
예컨대, 무게가 같은 세 요소 ㉠, ㉡, ㉢이 충돌할 때, ㉠과 ㉡의 속도가 충돌 전후에 동일하다고 하자. 즉, 세 요소가 충돌하는 찰나의 과정에서, 순간적으로 함께 움직이는 ㉠과 ㉡ 중 ㉡이 먼저 ㉢과 충돌한다. 그리고 다음 순간, ㉠과 ㉡이 충돌한 결과, ㉠과 ㉡의 속도가 다시 같아진다고 하자.


이때, 각 요소의 속도를 표현하면 아래와 같다.



이 과정에서, 각각의 충돌에 관여하는 두 요소 사이의 평균 속도가 보존된다는 원리를 적용하면, 세 요소의 평균 속도 또한 보존된다.



이처럼 각 돌을 단위 요소들로 이루어진 물체로 치환하여 생각하면, 충돌 전후로 모든 요소들의 평균 속도·속도의 합은 보존된다.



각 물체가 단위 요소를 얼마나 포함하고 있는지를 질량이라 하면, 각 물체의 질량과 속도의 곱(운동량)들을 모두 더한 양은 보존된다는 결론에 이른다. 예를 들어, 요소 ㉠·㉡·㉢이 물체1, ㉣이 물체2, ㉤·㉥이 물체3을 이룬다면, 요소들의 속도의 총합이 일정함을 표현한 수식을 아래와 같이 변형할 수 있다.



자연은 물체들이 상호작용하는 가운데 총운동량을 유지하도록 하고 있었던 것이다.



속도의 총합을 운동량의 총합으로 바꾼 것과 같은 방법으로, 각각의 단위 요소들의 평균 위치를 구하는 식에서 같은 물체를 이루는 요소들을 묶으면, 모든 요소의 평균 위치는 아래와 같이 표현된다. 그리고 나는 이를 질량 중심이라 부르기로 하였다.



해당 지점의 속도는 각 요소들의 평균 속도와 같으며, 이는 총운동량을 질량의 총합으로 나눈 것과 같다. 따라서 질량 중심이 갖는 속도는 항상 일정하게 유지된다.



더욱 아름다운 것은, 여러 질량 요소가 운동하는 상황에서도, 질량 중심에서는 대칭성을 찾을 수 있다는 것이다. 질량 중심과 동일한 속도로 운동하는 관찰자에게, 질량 요소들의 운동은 대칭적으로 분포한다.


처음의 질문으로 돌아가보자. 왜 평지에서 구르는 돌도 결국에는 멈추는가? 그 이유는, 눈에 보이지 않는 아주 작은 충돌이, 지면과 돌 사이에 계속해서 일어났기 때문이었다. 그때마다, 돌은 자체적인 운동량을, 지면으로 넘겨준 것이다. 땅은 질량이 매우 크기 때문에 그 영향이 잘 느껴지지는 않지만, 실제로는 돌의 운동량이 땅으로 옮겨진 것이다.


운동은 흩어지고, 이어지고, 전해진다. 물체 하나의 속도는 더 이상 일정하지 않더라도, 자연에 존재하는 모든 질량이 갖는 속도의 총합은 여전히 일정하다. 현재의 자연이 생동하는 이유는, 아주 오래전부터 이어져오던 운동의 연쇄로 인한 것이었다. 그리고 그 이면에 존재하는 질서는, 당초의 믿음과 같이 정합적이었다.

keyword
작가의 이전글7.2 새로운 세계