brunch

전체를 집어삼킨 부분

보르헤스: 알레프(Aleph)

by JINSE
알레프.jpg 알레프, 호르헤 루이스 보르헤스, 송병선 옮김, 민음사, 2012
알렙.jpg 알렙, 호르헤 루이스 보르헤스, 황병하 옮김, 민음사, 1996




1997년에 개봉했던 할리우드 SF 코미디 액션 영화 <맨 인 블랙(Men In Black), 배리 소넨펠드 감독, 토미 리 존스, 윌 스미스 주연, 이하 MIB>은 은하계의 다양한 외계 종족들이 밀입국하듯 지구에 몰래 와서 사람의 외피를 쓴 채 지구인들과 섞여 살고 있다는 설정 하에 이런 외계인들을 관리하는 비밀 조직 MIB의 노장 요원 K(토미 리 존슨 분)와 신참 요원 J(윌 스미스 분)의 활약상을 그리고 있다. 당시 CG를 통한 다양한 볼거리와 소재의 참신성 덕분에 해외에서도 그렇고 국내에서도 흥행에 꽤나 성공했던 것으로 기억하고 있다. 20년이나 지난 영화를, 그것도 킬링 타임 용으로 유쾌하게 한번 보고 잊어도 될 오락 영화를 이렇게 언급하는 이유는 이번에 소개할 보르헤스의 단편 <알레프>의 이미지를 비슷하게 오버랩시킬 수 있는 장면이 나오기 때문이다. 강력한 힘을 가진 바퀴벌레 외계 종족이 비밀리에 지구로 잠입한다. 목적은 우주 정복을 가능하게 하는 "오리온"이라는 물건을 획득하기 위함이다. 은하계 우주 평화를 수호하는 아퀼리안 족 왕자가 우주 정복을 막기 위하여 이 물건을 갖고 지구로 와서 숨어버렸고 바퀴벌레 종족은 그를 찾아서 지구까지 온 것이다. 이 사실을 알게 된 아퀼리안 족은 거대한 함선들을 이끌고 지구로 접근해서 MIB에 오리온을 반환할 것을 요구하며 그렇지 않을 경우 지구를 멸망시키겠다고 협박한다. 이에 MIB의 두 요원 K와 J는 오리온이라는 물건을 수소문하기 시작하고 이 물건과 연관된 여러 외계인들을 찾아서 심문한다. 요원들이 이 물건이 무엇인지 물었을 때 그것은 은하계 전체를 담고 있는 작은 물건이라고 외계인은 답한다. J가 그 작은 물건에 어떻게 은하계가 다 들어갈 수 있냐고 묻자 외계인은 "크기가 문제는 아니지..."라고 답한다. 오리온이라는 물체는 왕자가 기르던 반려묘의 목에 달린 동그란 장신구였는데 영화에서 이 물건을 줌을 통해서 보여주는 화면이 인상적이었다.


2018-06-06_22-46-46.png
2018-06-06_22-46-23.png
2018-06-06_22-45-26.png
2018-06-06_22-45-47.png


필자의 경우 이 장면을 보면서 보르헤스의 소설 <알레프>를 떠올렸고 알레프를 시각화하자면 이런 형태가 아닐까 하는 생각이 들었다. 단편 <알레프>는 지구를 포함한 우주 전체를 담고 있는 어떤 물건 "알레프"에 대한 이야기다. 그럼 먼저, <알레프>의 줄거리를 간단히 요약해 보자(알레프는 보르헤스 전집 시리즈로 황병하 씨가 1996년에 번역한 민음사 판 <알렙>이 있고 2012년에 송병선 씨가 민음사 세계 문학 전집 시리즈로 번역한 <알레프>가 있다. 필자의 경험 상 황병하 씨의 번역은 다소 문제가 많다. 그렇기에 송병선 씨의 <알레프>를 추천하지만 본 글은 황병하 씨의 번역판을 주로 참조했다).



보르헤스 자신이 직접 주인공이 되는 단편 <알레프>에서 이야기의 주인공 보르헤스는 집착적으로 짝사랑했던 여인 베아뜨리스가 죽고 나서도 미련을 놓지 못하고 매년 그녀의 생일이 되면 그녀의 아버지와 남자 사촌 까를로스 아르헨띠노가 여전히 살고 있는 그녀의 집을 방문한다. 시를 쓰는 보르헤스와 마찬가지로 아르헨띠노 역시 시인이지만 스스로를 다소 과대평가하는, 허세기가 있는 친구로서 문인으로서의 경쟁 관계에 있던 보르헤스 자신도 그의 창작력에는 높은 점수를 매기지 않는 친구다. 어느 날 그는 자신이 쓰고 있는 장편 시에 대해서 자화자찬을 늘어놓는다. <지구>라는 가제를 붙인 그 시는 지구 상의 모든 장소를 묘사하고 시로 표현하고자 하는, 거대한 기획을 가진 시다. 상식적으로 생각해보건대 지구 상의 모든 곳을 묘사하고자 한다면 자신 스스로가 모든 곳을 방문해야만 한다. 따라서 이 기획은 끝이 보이지 않을, 어쩌면 미친 듯 보이기도 하는 기획이다. 하지만 시간이 흐른 후 보르헤스는 그의 시도가 근거가 있음을 알게 된다.


10월 어느 날, 대로한 아르헨띠노가 전화상으로 전한 바에 따르면 베아뜨리스의 집 가까이에 위치한 유명한 제과점이 가게 확장을 위하여 그 집을 매도하여 허물고자 시도하고 있으며 그는 그런 시도를 막기 위하여 소송을 준비 중이라는 것이다. 평소 같으면 남의 일처럼 여겼을 일이지만 베아뜨리스의 모든 흔적이 녹아 있는 그 집을 철거한다는 것 역시 보르헤스에게도 남의 일이 될 수 없었다. 하지만 더 급한 쪽은 아르헨띠노같아 보였다. 전화상으로 그는 차마 하지 못할 말을 해야만 하는 사람처럼 머뭇거리더니 그 집이 철거되어서는 안 되는 이유를 보르헤스에게 겨우 털어놓았다. 즉, 자신의 거대한 기획, 현재 쓰고 있는 <지구>라는 장편시를 마무리하려면 그 집이 필수 불가결하다는 것이다. 그 집 지하에 '알레프(Aleph)'란 물건이 있으며 그 물건은 '모든 지점들을 다 포함하고 있는 어떤 공간 지점들 중의 하나'라고 한다. 쉽게 말해 지구 상의 모든 곳을 다 포함하고 있는 자그마한 구체며 그것은 세계를 담고 있다고 했다. 보르헤스는 당연히 논리적인 허점을 지적하려 했지만 아르헨띠노는 막무가내였다. "지하실에 있다면 어두워서 보이지 않을 텐데?" 이런 보르헤스의 지적에 "만일 알레프에 지상의 모든 장소들이 들어 있다면 거기에는 모든 조명 기구들, 모든 등들, 모든 빛의 원천들이 들어 있지 않겠어?"라고 아르헨띠노는 답했다. 호기심이 생긴 보르헤스는 당장 그것을 보러 가겠노라고 아르헨띠노가 미처 허락의 말을 주기도 전에 전화를 끊고는 그 집으로 향했다. 아르헨띠노의 지루한 부연 설명들을 뒤로하고 보르헤스는 지하로 내려가서 그가 시키는 대로 몸을 낮추고 계단 숫자를 세면서, 또는 미쳐버린 아르헨띠노가 뒤에서 자신을 죽일지도 모른다는 의심을 품으면서 알레프가 위치해 있다는 지점까지 다다랐다. 보르헤스는 눈을 감았고, 눈을 떴다. 그리고 그는 보았다. 세계를, 지구를, 우주를...


이 부분에 이르러 보르헤스는 다음과 같이 자조적인 말을 내뱉는다. "이제 나는 말로 형용할 길 없는 내 이야기의 중심부에 이르러 있다. 바로 여기서 작가로서의 나의 절망이 시작된다." 보르헤스는 자신의 눈으로 직접 보게 된 알레프란 그 물건을 설명하고 묘사할 길을 찾지 못하고 헤매고 있었다. 층계 아래쪽 오른편에서 그는 눈에 담기 어려운 광채를 발하는 형형색색의 작은 구체를 보았다. 처음에는 회전한다고 생각했지만 그 움직임은 구체 속의 어지러운 광경들에 의한 착각이란 것을 그는 깨달았다. <알레프>는 직경 2~3센티 정도밖에 되지 않았지만 전혀 크기의 축소 없이 우주의 모든 공간을 그 안에 담고 있었다. <알레프>에 대한 묘사의 어려움을 좀 더 직관적으로 보여주기 위해 보르헤스의 기나긴 묘사를 직접 인용하는 편이 나을 듯하다. 묘사라기보다는 "나는 ~을 보았고"가 계속 반복되는 기나긴 사실 나열들의 연속이다.


"하나의 사물(예를 들어, 거울에 비친 달)은 무한히 많은 사물들이었다. 왜냐하면 나는 아주 또렷하게 우주의 모든 지점들로부터 그것을 볼 수 있었기 때문이었다. 나는 으르렁거리는 바다를 보았고, 나는 새벽과 저녁을 보았고, 나는 아메리카 대륙의 군중들을 보았고, 나는 검은색 피라미드의 중앙에 있는 은빛 거미줄을 보았고, 나는 부서진 미로(다름 아닌 런던 시)를 보았고, 나는 마치 거울을 보듯 나를 유심히 바라보고 있는 주위의 셀 수 없는 많은 눈들을 보았고, 나는 그중 어떤 것도 나를 비추고 있지 않은 세계의 모든 거울들을 보았고, 나는 솔레르 거리의 한 후원에서 30년 전 프라이 벤또스의 한 집의 현관에서 보았던 것과 똑같은 보도블록들을 보았고, 나는 꽃송이들과 눈(雪)과 담배와 금속의 줄무늬와 수증기들을 보았고, 나는 봉곳하게 솟아오른 적도의 사막과 모래 벌판의 모래들 하나하나를 보았고, 나는 결코 잊지 못할 한 여자를 인베르네스에서 보았고, 나는 그녀의 거칠게 풀어헤쳐진 머리칼과 거만한 자태를 보았고, 나는 유방암을 보았고, 나는 전에는 나무 한 그루가 있었던 한 오솔길에서 원 모양을 이루고 있는 마른땅을 보았고, 나는 아드로게의 별장과 필레몬 홀랜드가 번역한 플리니의 자연사 37권 중의 하나를 보았고, 나는 각 페이지 않에 들어 있는 각 글자들을 동시에 보았고, 나는 밤과 낮을 한꺼번에 보았고, 나는 벵갈의 장밋빛 색깔을 반사하고 있는 것처럼 보이는 께레따로의 석양을 보았고, 나는 아무도 없는 텅 빈 나의 침실을 보았고, 나는 알크마르의 한 거실에서 끝없이 자신을 증식시키고 있는 두 개의 거울 사이에 놓여 있는 지구본을 보았고, 나는 새벽 기운에 물들어 있는 카스피 해의 한 해변에서 갈기를 흩날리고 있는 말들을 보았고, 나는 어떤 손의 섬세한 뼈마디들을 보았고, 나는 어떤 전쟁에서 살아남아 우편엽서를 보내고 있는 사람들을 보았고, 나는 미르사푸르의 한 진열장에 있는 한 벌의 스페인제 트럼프를 보았고, 나는 한 온실의 바닥에 드리워져 있는 몇 그루 양치류 식물들의 비스듬히 기울어진 그림자들을 보았고, 나는 호랑이들과 피스톤들과 들소들과 거대한 파도들과 군대들을 보았고, 나는 지구 상에 있는 모든 개미들을 보았고, 나는 페르시아의 고대 천체 관측기를 보았고, 나는 책상과 한 서랍에서 베아뜨리스가 까를로스 아르헨띠노에게 보낸 저속하고 믿기지 않는 또박또박 쓴 편지들을 보았고, 나는 차까리따에 있는 한 기념비를 보았고, 나는 한때는 달콤하게스리 베아뜨리스 비떼르보가 소유했었던 잔혹한 그녀의 유품들을 보았고, 나는 더러운 나의 피의 순환을 보았고, 나는 사랑의 톱니바퀴와 죽음의 변화 과정을 보았고, 나는 모든 지점들로부터 <알레프>를 보았고, 나는 <알레프> 속에 들어 있는 지구를, 다시 지구 속에 들어 있는 <알레프>와 <알레프> 속에 들어 있는 지구를 보았고, 나는 나의 얼굴과 내장들을 보았고, 나는 너의 얼굴을 보았고, 나는 현기증을 느꼈고, 그리고 나는 눈물을 흘렸다. 왜냐하면 사람들이 제멋대로 남용해 쓰고 있지만 그 누구도 본 적이 없는 그 비밀스럽고 단지 상상적인 대상, <불가해한 우주>를 보았기 때문이었다... 나는 끝없는 경외감과 끝없는 회한을 느꼈다."


세상 어디에도 없을 이 놀라운 관측소를 보여줬다는 사실에 우쭐대며 보르헤스의 감탄을 듣고 싶어 안달이 난 아르헨티노에게 보르헤스는 <알레프>에 대한 토론을 거부한 채 그의 호의에 대한 정중한 감사와 더불어 이런 물건을 소유하고 있다는 것에 대한 우려만을 표하고 밖으로 나왔다. 거리를 지나는 모든 사람의 얼굴들이 그토록 친숙하게 느껴질 수 없었다. 보르헤스는 이젠 자신을 놀라게 할 그 어떤 것도 남아 있지 않을지도 모른다는 두려움에 사로잡혔고 다시 망각의 손길이 자신에게 작동해 주기를 바랐다.



단편 <알레프>는 여기에서 끝나지 않는다. 보르헤스는 특유의 소설적 모호성을 가미시켜 소설의 마지막에 별도의 '후기'를 남긴다. 건물이 헐리고 6개월이 지나서 쁘로꾸스또 출판사는 엄청난 길이를 자랑하는 아르헨띠노의 시에 대한 발췌본을 담은 『아르헨띠노의 시선(詩選)』을 출간했다. 그 시로 아르헨띠노는 <국가 문학상>에서 시 부분 2등을 차지한 반면 보르헤스의 작품은 단 한 표도 얻지 못했다. 이에 보르헤스는 아르헨띠노의 장편시를 가능하게 했던 <알레프>에 대한 자신의 견해를 후기에 추가한다. 물론, 자신의 견해라고 했지만 아르헨띠노에 대한 시기를 은연중에 담고 있는 후기이기도 하다. 견해는 크게 두 가지인데 먼저, <알레프>의 본질에 대한 것과 다음으로, <알레프>란 이름의 기원에 관한 것이었다. 이름의 기원으로 볼 때, 보르헤스는 <알레프>는 우선 신성한 언어, 즉 히브리어의 첫 번째 알파벳을 의미한다고 밝혔다. 또 다른 기원으로서 보르헤스는 수학의 <집합론>을 언급하면서 "알레프는 전체가 부분들의 어떤 것보다 크지 않은 초한수(超限數)들에 대한 상징"이라고 한다. 보르헤스는 알레프의 이름에 소설적 근거를 부여하기 위하여 집합론을 끌어들여 짤막하게 언급했지만 여기서는 이 언급에 주목하고자 한다. 필자의 견해로는, 소설 속에서 자세하게 묘사된 알레프는 독일의 수학자 칸토어(Georg Cantor)가 창립한 "집합론"에 대한 알레고리라고 할 수 있을 것이다.

(이제부터 언급되는 칸토어의 집합론 관련 내용은 김용운, 김용국 공저인 <집합론과 수학>, <세계 수학사 대전>, <수학의 약점>, <수학 서설> 등을 주로 참조하였다.)


소설 속의 알레프는 자신을 포함하여 지구, 더 나아가서는 우주 전체를 담고 있는 구체로서 부분이 전체를 담는다는 역설을 내포하고 있다. 이는 "전체는 부분보다 크다"라는, 근대까지는 절대적 진리라고 여겨졌던 유클리드 기하학 <공리 5번>을 부정해야만 성립하는 것이다. 이러한 역설을 직접적으로 보여주는 동시에 <공리 5>번에 대한 부정도 참임을 증명하고 있는 현대 수학의 이론이 칸토어가 창립한 "집합론"이다. 집합론은 전체는 부분보다 크다는 유클리드적 진리를 부정하고 "전체는 부분과 같을 수도 있다"라는 사실을 수학적으로 증명했다. 이는 "무한"이란 개념을 수학적 연산의 대상으로 직접 끌어들여 취급했기에 가능했으며 그 배경에는 '코페르니쿠스적 전회'에 비견될 수 있는 엄청난 사고의 전환이 있었다. 고전적인 수학에서 "무한"은 기피의 대상이었다. 아리스토텔레스는 "무한"을 잠재적인 무한, 즉 생성 과정에 있는 무한으로 봤고 이는 볼완전성을 띨 수밖에 없는, 끊임없는 진행 과정 중에 있는 무한으로서 가무한(假無限 - 상상 속에서나 가능한 무한)으로 취급되었다. 반면에 실제로 존재한다고 간주될 수 있는 실무한(實無限)은 종교의 영역에서나 가능했으며 중세 시대의 경우 그것은 곧 신만이 가질 수 있는 속성으로서 신성의 영역이었기에 수학에서 다루는 것 자체가 금기시되었다. 하지만 칸토는 무한을 대하는 태도를 바꾸어 무한을 완성된 무한으로, 즉 실무한으로 간주했고 그것을 수학의 영역으로 공식적으로 끌어들였다. 수학에서의 이런 '코페르니쿠스의 전회'는 칸토가 말했던 "수학의 본질은 자유에 있다"라는 열린 사고가 있었기에 가능했다.


부분이 전체와 같아지는 경우는 "힐버트의 무한 호텔"이라는 유명한 예를 통해서 직접 확인할 수 있다. 무한 개의 방을 가진 “Hotel Hilbert”가 있다고 하자. 어느 날 휴가철을 맞아 이 호텔은 손님이 꽉 차게 된다. 만실이 된 호텔에 그날 밤 또 한 명의 손님이 찾아와서 방을 요구한다면... 무한 호텔의 지배인이라면 이런 경우가 전혀 문제되지 않는다. 각 방에 있는 손님들에게 자기 방의 바로 다음 호수의 방으로 옮겨달라고 안내방송을 한다면... 즉, 1호실의 손님은 2호실로, 2호실의 손님은 3호실로, … n호실의 손님은 n+1호실로… 이렇게 방을 옳기게 되면 이제 1호실은 비게 될 것이며 새로운 손님에게 1호실을 배정하면 해결이 된다. 만실이 된 호텔에 한 명의 투숙객을 정상적으로 더 수용했기에 무한 호텔의 전체 객실 수를 Ω(오메가)라 한다면 Ω = Ω+1이 되어 부분이 전체와 같아진다. 또 다른 예를 보자. 이번에는 무한 명의 단체손님이 밀려왔다면 어떻게 될까? 역시 크게 문제 될 건 없다. 투숙한 손님들을 자신의 방 번호에 2를 곱한 호실에 해당하는 방, 즉 짝수 방으로 옮기도록 한다면 홀수가 매겨진 방들은 모두 비게 될 것이다. 이제 새로운 무한 명의 단체손님을 비어있는 홀수 방으로 모두 입실시키면 문제는 간단하게 해결되며 그 결과는 Ω = 2Ω가 되어 역시 부분과 전체가 같다는 사실을 확인할 수 있다.


지금 소개한 이야기는 수학의 완전무결성을 증명하고자 했던 수학자 힐버트가 언급했던 "힐버트의 무한 호텔" 이야기다. 이 이야기에서 우리는 벌써 "전체 = 부분"이라는 역설을 확인할 수 있다. 즉, 자연수 전체의 크기가 짝수 전체의 크기와 같다. 여러분도 알고 있는 것처럼 짝수는 자연수의 부분집합이다. 하지만 부분인 짝수 전체에 자연수 전체를 모두 대응시켰다. 말이 안 되는 것 같지만 어찌 되었든 사실로서 확인할 수 있다. 칸토어의 집합론은 이런 이상한 마술을 가능토록 한 수학적 토대를 제공하고 있다. 그리고 이 마술의 핵심은 "대응"이란 것에 있으며 그 배경에는 집합과 원소, 그리고 집합대 집합이라는 관계가 존재한다. 보르헤스는 <알레프>에서 다음과 같이 언급하고 있다.


적어도, 무한한 총체성을 단지 부분에 불과할지라도 열거할 수 있느냐 하는 핵심적인 문제만큼은 해결이 무망하다. (P-229)


우선 위의 언급에서 열거의 문제를 따져볼 수 있다. 집합은 원소들의 열거를 의미한다. 그리고 두 개의 중괄호 '{'와 '}'를 이용하여 이런 열거의 무한성을 가둔다는 특징이 있다. 무한의 총체성을 단지 부분에 불과할지라도 열거할 수 있느냐라는 질문에 보르헤스와는 반대로 칸토어는 무망하지 않다고 대답한다. 무한이 가무한일 수밖에 없는 이유는 열거의 끝을 볼 수 없기 때문이다. 하지만 집합의 경우 기호 '...'와 '{', '}'를 이용해서 열거의 진행을 멈추게 하고 가둠으로써 그 시작과 끝을 보장하고 있다. 예를 들어 자연수 전체의 집합이라고 할 때는 수학적으로 N = { 1, 2, 3, ... }과 같이 표현할 수 있다. 정수 전체의 집합은 Z = { ..., -3, -2, -1, 0, 1, 2, 3, ... }과 같이 표현된다. 이런 표현은 무한을 취급 가능한 하나의 단위로 만들어 버리는 커다란 효과를 드러낸다.


이렇게 열거의 문제가 해결된다면 이제는 무한의 총체성과 그 부분의 문제를 바라볼 수 있다. 그리고 그 해결책은 바로 "대응" 가능성의 문제로 환원된다. 힐버트의 호텔의 예로 돌아가 보자. 무한 호텔의 방 번호를 1번부터 차례대로 부여했을 때 무한 명의 각 손님들 역시 1호실부터 차례대로 방을 배정받은 것이고 이는 각 손님과 각 방이 서로 대응되었음을 의미하며 이 대응은 "n -> n"이라는 기호로 표시할 수 있다. 만실된 상태에서 새로운 손님을 한 명 더 받는 경우의 해결책은 바로 대응 관계를 변경하는 것이고 변경된 새로운 대응은 "n -> n + 1"의 관계가 된다. 마찬가지로 무한 명의 손님이 새로 왔을 때 대응 관계의 변경은 짝수 방으로의 대응이며 "n -> 2n"의 관계로 표현할 수 있다. 이런 대응은 다음 그림과 같이 화살표로 표현 가능하다.

수학관련.png [그림 1] 힐버트의 무한호텔에서의 대응


여기서 "대응"이란 개념을 수학적으로 좀 더 살펴볼 필요가 있다. 대응은 매핑(Mapping)을 의미하며 두 요소 사이의 관계를 설정해 준다. 집합에서의 대응은 두 개 이상의 집합을 전제하며 하나의 집합의 각 원소들이 다른 집합의 각 원소들과 어떤 관계를 맺는가를 보여준다. 이렇게 두 집합과 그 원소들 사이의 대응은 사상(寫像, Morphism)이라는 수학적 개념으로 볼 수 있는데 사상은 좀 더 쉽게 말하자면 바로 함수를 의미한다. 여러분들도 다 아시다시피 함수는 y = f(x)로 표현되며 이것을 집합으로 표현하자면 x에 대입 가능한 값들의 집합을 X라 하고 f(x)의 결과에 따라 도출 가능한 값들의 집합을 Y라고 할 때 y = f(x)는 바로 X -> Y로의 대응을 의미하며 그 관계 전체가 사상이 되는 것이다. y = f(x)의 의미를 좀 더 살펴보자. 이는 입력과 출력을 의미하며 입력으로 x에 특정한 값을 집어넣으면 f라는 어떤 처리에 의하여 입력된 값에 해당하는 y가 나온다는 것을 의미한다. 주의할 점은 어찌되었든 하나의 입력에 대한 출력 역시 하나라는 사실이다. 반대로 말하자면, 하나의 입력에 대하여 두 개의 결과가 나올 수는 없다는 것을 동시에 의미하기도 한다. 함수는 원인과 결과라는 전통적인 측면을 보여주고 있는데 두 가지의 서로 다른 원인이 동일한 결과를 도출할 수 있어도 반대로 하나의 원인이 두 가지 서로 다른 결과를 도출할 수 없다는 고전적 관점을 그대로 표현하고 있다. 쉽게 말해서 x=1일 때 y=D가 나왔다면 다음 날에 1을 입력했을 때에도 결과는 D여야 한다는 것이다. 즉, x=1일 때 y=D이거나 y=B가 되는 경우는 있을 수 없다는 것을 전제하며 이는 사상 또는 함수라는 수학적 정의의 기본이 된다. 이것을 전제로 했을 때 함수는 아래 그림에서처럼 전사함수와 단사함수, 전단사함수라는 세 부류로 크게 나눌 수 있다.


2018-07-17_06-48-58.png [그림 2] 함수(사상)의 종류

위 그림을 설명하기 전에 정의역, 공역 그리고 치역에 대한 개념을 간단히 살펴보자. 함수와 관련해서 입력에 해당하는 집합 X를 정의역(定義域, Domain), 함수 f(x)의 결괏값의 후보군이 되는 집합 Y를 공역(共域, Codomain), 그리고 실제 f(x)의 결괏값들만 모은 집합, 다시 말해서 사상 결과 정의역의 상, 정의역에 대응되는 공역의 원소들의 집합을 치역(値域, Range)이라고 한다.


■ 전사함수(全射函數, Surjective function)

공역과 치역이 같은 경우, 다시 말해서 정의역의 모든 원소가 공역의 모든 원소에 대응되는 경우를 의미한다. 이 경우는 정의역 X의 각 원소가 공역 Y의 각 원소에 하나씩 대응될 수도 있지만 위 그림에서 공역 Y의 원소 C처럼 공역의 하나의 원소에 정의역의 두 개의 원소 3과 4가 대응되기도 한다. 이런 경우는 서로 다른 두 원인에 대하여 동일한 결과가 도출되는 경우로 볼 수 있으며 전사함수의 경우 정의역의 원소의 개수는 공역의 원소의 개수보다 크거나 같다.


■ 단사함수(單射函數, Injective function)

정의역의 모든 원소가 공역의 각 원소에 하나씩만 대응하는 경우를 의미한다. 하나씩만 대응하는 경우를 "일대일(一對一, One-to-one) 대응"이라 하며 전사함수와는 다르게 입력이 다르면 출력도 반드시 달라야 함을 의미한다. 이는 하나의 결과에 대하여 서로 다른 두 개의 원인을 허용하지 않는다는 것 역시 의미하기에 단사함수를 일대일함수라고 부르기도 한다. 위 그림에서도 알 수 있듯이 단사함수는 공역과 치역이 일치하지 않을 수도 있다. 단사함수의 경우 공역은 { D, B, C, A }지만 치역은 { D, B, A }가 된다. 이 결과로 우리는 "정의역 X의 치역은 공역 Y의 부분집합이 된다"는 사실을 알 수 있으며 이것 역시 단사함수이기 위한 조건이 된다.


■ 전단사 함수(全單射函數, Bijective function)

전사함수이면서 동시에 단사함수인 경우를 의미하며 위 그림에서처럼 정의역의 모든 원소가 공역의 각 원소와 일대일 대응을 이루고 있음을 알 수 있다. 따라서 전단사함수의 경우 정의역과 공역의 원소의 개수가 같은 동시에 치역과 공역도 일치해야 하며 일대일 대응을 필수적으로 전제한다. 전단사함수를 집합의 범주에서는 "동형 사상"이라고도 하는데 이는 함수의 역함수, 즉 y = f(x)일 경우 x = 1/f(y)라는 함수가 존재한다는 것을 의미하며 수학의 집합론이나 함수론에서 매우 중요한 함수가 된다.



이제 또 다른 측면을 한번 살펴보자. "자연수 전체의 크기는 짝수 전체의 크기와 같다"라고 했는데 여기서는 "크기"란 개념에 주목할 필요가 있다. 일반적으로 크기라고 하면 '양'이란 측면에서 이해되며 집합의에서의 크기는 그 집합이 갖게 되는 원소의 개수를 의미한다. 그리고 유한집합이라면 그 원소가 얼마나 많든지 간에 그 수를 헤아려 크기를 구체적으로 특정할 수가 있다. 하지만 무한집합이라면 유한집합에서처럼 그 크기를 특정할 수가 없다. 따라서 무한집합의 경우 크기에 대한 새로운 개념 정의가 필요하다. 이에 칸토는 무한집합의 크기를 표현하기 위하여 "농도(濃度)"라는 새로운 개념을 도입한다. 그리고 "두 집합의 원소 사이에 일대일 대응을 성립시킬 수 있을 때, 이 두 집합은 크기가 같다"라고 정의되는, 무한집합을 위한 새로운 크기 개념으로서의 "농도"를 내세운다. 따라서 두 집합의 크기가 같다는 것은 두 집합의 농도가 같다는 것을 의미하고 그것은 두 집합 사이에 일대일 대응이 성립한다는 것을 말한다. 이를 함수의 측면에서 보게 되면 두 집합의 농도가 같다는 것은 바로 두 집합 사이의 관계가 전단사함수라는 것을 의미하기도 한다. 이제 앞서 예를 든 자연수와 짝수의 대응을 다음과 같이 표현할 수 있다.

"자연수 전체의 집합은 자신의 부분인 짝수 전체의 집합과 같은 농도를 갖는다."

뿐만 아니라 자연수 전체의 집합은 역시 자신의 부분인 홀수 전체의 집합과도 동일한 농도를 갖게 될 것이다. 비단 홀수나 짝수 전체만이 아니다. 농도의 관점에서 무한집합을 바라보게 되면 부분이 전체와 같은 경우의 수 역시 무한이다. 자연수 전체의 집합과 각 수의 3 배수의 집합과도 농도가 같을 것이고 네배수의 집합, 더 나아가서 n배수의 집합과도 동일한 농도를 가질 것이며 이런 경우는 무한히 존재하게 된다. 이러한 대응관계를 통한 무한집합 사이의 대등성, 즉 농도의 발상은 실로 엄청난 것이었다. 무한이 하나의 대상으로 취급되어 수학적 관계 표현에서 너무나 쉽게 다루어진다.


앞서 힐버트의 무한호텔을 예시한 [그림 1]을 한번 더 보자. 손님이 한 명 더 오든 무한대의 손님이 또 오든 해결책은 대응 관계의 변경에 있다. 그리고 변경된 대응은 그림에서처럼 자연수를 1부터 시작해서 차례대로 할당하는 것을 의미한다. 첫 번째 경우는 '방 번호 + 1'의 방에, 두 번째 경우는 짝수 방에 차례대로 1번부터 번호를 매길 수 있다. 이렇게 특정 무한집합이 자연수 전체의 집합과 일대일 대응이 성립할 때, 다시 말해서 특정 무한집합과 자연수 전체의 집합이 같은 농도를 가질 때, 이 무한집합을 "가부번집합(可附番集合, Denumerable Set)", 즉 번호를 매길 수 있는 집합이라고 부른다. 앞서 확인한 대로 짝수나 홀수 전체의 집합 또는 각 배수의 전체 집합들은 모두 가부번이며 이 가부번집합들 역시 무한대로 존재할 것이다. 칸토어는 집합의 농도를 표시하기 위한 수학 기호로서 "알레프(ℵ)"를 제안했다. 유대인이었던 칸토어 역시 기호 ℵ를 히브리어의 첫 번째 알파벳에서 따왔다. 지금까지의 정의에 따르면 가부번집합의 농도는 자연수 전체 집합의 농도가 되며 이 경우 자연수 전체의 집합의 농도를 칸토어는 알레프 0이라고 했고 그것에 해당하는 기호로서 ℵ0를 부여했다.

2018-08-05_13-36-21.png

가부번집합은 자연수의 부분집합에 대해서만 존재하는 것이 아니다. 우리가 알고 있는 수의 체계는 양의 정수로 정의되는 자연수와 중립적인 0, 그리고 음의 자연수로 구성되는 "정수"가 있으며 정수 전체와 소숫점을 갖는 수를 포함하는 "유리수"가 있다. 한편, 유리수로 표현할 수 없는 수인 "무리수"(예를 들어, √2) 역시 존재하며(무리수 역시 무한의 영역이었고 근대 수학까지도 금기시되었던 존재였다.) 유리수 전체와 무리수 전체가 모여 "실수"를 이루게 된다. 우리가 직접 맞닥뜨리는 현실 세계에서의 수의 체계는 다음 그림과 같다(물론, 현실 세계라고 표현했다. 사실 과학이나 수학에서 다루는 수의 체계는 더 확대되며 실수와 허수를 포함하는 복소수 체계까지 언급해야 완전한 수의 체계를 구성하기 때문이다. 하지만 허수에 대해서는 별도로 다룰 예정이므로 여기서는 실수까지만 고려하기로 한다).

2018-07-17_08-52-27.png [그림 3] 수의 체계

위의 수의 체계를 볼 때 자연수나 정수는 유리수의 일부가 된다. 따라서 자연수의 집합을 N, 정수의 집합을 Z, 그리고 유리수의 집합을 Q라고 했을 때 "N < Z <Q"라는 관념이 자연스레 떠오를 수밖에 없다. 하지만 농도의 관점에서 보면 "N = Q", 즉 자연수 전체의 집합과 유리수 전체의 집합은 동일한 농도를 갖는다. 다시 말해서 자연수 전체는 유리수 전체와 일대일 대응이 가능하며 따라서 유리수 전체의 집합은 가부번집합임을 의미한다. 일반적인 상식으로는 도저히 납득할 수 없지만 칸토가 창안한 무한 셈법에 따르면 수학적인 근거를 충분히 확보할 수 있다. 유리수는 p/q 형태의, 분자와 분모 형태의 분수로 표현되는 수다. 따라서 다음 그림과 같이 p와 q에 1부터 차례대로 자연수 값을 대입해서 나열하게 되면 모든 유리수를 표현할 수 있다.

2018-07-17_09-41-06.png

이제 문제는 위와 같이 표현되는 유리수 전체의 각 원소, 즉 위 표의 각 셀에 대하여 자연수 1부터 시작해서 차례대로 번호를 부여하기만 하면, 즉 대응시키면 된다. 하지만 가부번의 조건을 충족시키기 위하여 번호를 매기는 방법을 고려해야 한다. 만약 위의 각 셀에 대하여 첫 번째 행, 즉 분수의 분자가 1(p = 1)에 해당하는 행의 첫 번째 셀부터 자연수를 차례대로 부여한다면 첫 번째 행은 무한이므로 번호 부여는 끝을 볼 수 없으며 결과적으로 두 번째 행부터는 번호를 부여할 수가 없다. 따라서 번호 부여 방식을 다음 그림처럼 바꿀 수 있다.


2018-07-17_09-39-51.png [그림 4] 유리수 전체에 대하여 번호 매기기

위 그림에서는 두 가지의 번호 부여 방식을 보여주고 있다. 두 방식 중 어떤 방식을 택하더라도 자연수 전체를 유리수 전체에 대응시킬 수 있음을 확인할 수 있다. 물론, 엄격히 따져서 1 = 1/1 = 2/2 = 3/3...과 같이 중복된 경우라면 단순히 건너뛰고 대응시키면 된다. 결론적으로 유리수 집합 전체의 각 원소에 대하여 자연수 전체의 각 원소를 일대일 대응시킬 수 있기 때문에 자연수의 농도와 유리수의 농도는 같고 따라서 N = Q라는 결론을 내릴 수 있다. 이렇게 가부번의 관점에서 따지게 되면 유리수의 집합이 가부번이기에 당연히 정수의 집합도 가부번이어야 할 것이고 실제로도 가부번이다. 정수 전체에 대하여 다음 그림과 같이 차례대로 번호를 매길 수 있기 때문이다.

2018-07-22_05-49-17.png [그림 5] 정수 전체에 대하여 번호 매기기


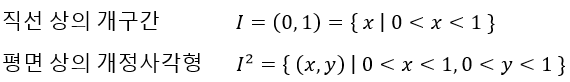
이런 식으로 따지게 되면 자연수와 정수, 유리수의 농도가 같아질 뿐만 아니라 차원의 파괴 현상도 확인할 수 있게 된다. 직선과 평면, 공간을 이루고 있는 점의 농도 역시 동일하다. 예를 들어 수직선 상의 유한 구간 0과 1 사이, 즉 개구간 (0, 1)에 존재하는 점의 농도는 정사각형 (0, 1) x (0, 1) 사이의 점의 농도는 같아진다. 이는 서로 다른 두 차원, 즉 직선으로 표현되는 1차원에 존재하는 점들과 평면으로 표현되는 2차원의 점들 사이에는 일대일 대응이 성립함을 의미한다. 칸토는 차원이 다르다면 당연히 높은 차원의 점의 농도가 클 것이라 예상했고 따라서 무한집합들 사이의 농도 역시 대소가 있을 거라 기대하며 이것을 증명하려고 3년을 보냈지만 그 결과는 서로 같다였다. 복잡해 보이지만 간단하게 확인할 수 있다(물론 엄격한 증명이 아니라 이해를 돕기 위하여 간략하게 설명할 것이다).

2018-08-05_14-09-32.png

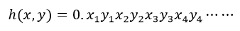
개정사각형 내의 점의 좌표 (x, y)를 다음과 같이 무한소수로 표현할 수 있다. 물론 유한소수 0.3이라면 0.3 = 0.2999...와 같은 무한소수로 간주하면 된다.

2018-07-22_09-43-15.png

그리고 이 점 (x, y)에 직선상의 한 점을 다음과 같은 형식으로 대응시킬 수 있다.

2018-07-22_09-43-37.png

이렇게 대응시켰을 때의 대응 h,

2018-08-05_14-17-25.png

는 전단사함수가 된다. 다시 말해서 정사각형 내의 각 점을 위와 같은 방식으로 대응시키게 되면 정사각형 (0, 1) x (0, 1) 내의 모든 점을 구간 (0, 1) 사이의 모든 점으로 대응시킬 수 있으며 그 반대도 가능하기 때문에 1차원 직선 구간의 점의 농도와 2차원 평면 영역의 점의 농도는 같아진다. 이는 좀 더 무서운 의미를 내포하고 있다. 비단 1차원과 2차원뿐만 아니라 3차원 공간 상의 임의의 점 (x, y, z) 역시 동일하게 직선 상의 한 점

2018-08-05_14-25-17.png

로 대응시킬 수 있게 되고 더 나아가서 4차원, 5차원, ...으로 무한히 확장할 수 있다. 이는 n차원 내의 유한 구간의 점의 농도가 모두 동일하다는 것을 의미한다. 따라서 "한 알의 모래에서 세계를, 한 송이 들꽃에서 하늘을 보고 손바닥 위에선 무한을, 한 시간 속에는 영원을 가둔다(순수의 전조)"라고 했던 시인 윌리엄 블레이크의 직관이나 "모든 지점들이 수렴되는 다른 어떤 지점을 지칭하고 있는" 보르헤스의 알레프를 칸토어는 수학적으로 증명한 결과가 된다.



지금까지의 논의를 통해서 칸토어의 집합론에 대한 알레고리로서의 소설 알레프를 어느 정도 보여주었다고 생각한다. 하지만 칸토어의 집합론을 여기서 마무리짓기에는 다소 아쉬움이 있기에 알레프를 "초한수(超限數)들에 대한 상징"으로 소개한 보르헤스의 언급에서 초한수의 개념과 보르헤스가 전개했던 알레프의 본질을 연관지어 조금만 더 언급하고 이 글을 마무리하고자 한다. 칸토어는 여기서 한발 더 나아간다. 무한집합들이 갖는 농도 사이의 대소를 검토하기 시작했다. 앞서 우리는 자연수와 정수의 농도가, 그리고 자연수와 유리수의 농도가 같다는 사실을 확인한 바 있다. 그렇다면 실수의 농도는 어떨까? 칸토어는 실수 전체의 집합이 가부번집합인지, 다시 말해서 자연수 전체와 일대일 대응하는지 여부를 따지기 시작했다. 그 결과 칸토어는 실수 전체의 집합은 가부번집합이 아니며 자연수 전체의 집합보다 그 농도가 크다는 사실을 증명했다. 이 증명에는 바로 무리수의 존재가 결정적 역할을 한다. [그림 3]의 수 체계에서 알 수 있듯이 실수는 유리수뿐만 아니라 무리수도 포함하고 있다. 무리수의 존재는 데데킨트에 의해 증명되었고 여기서는 단순히 무리수의 존재 때문에 자연수와 일대일 대응하지 않는다고 표현했지만 실제로는 더 큰 사실을 내포하고 있다. 앞서 살펴봤듯이 유리수 전체의 집합은 가부번이었다. 하지만 무리수는 가부번이 아니었고 결과적으로 자연수 전체를 대응시키고도 남아도는 무리수가 존재하게 된다. 무리수는 두 개의 그룹으로 나뉜다. 유리수는 두 개의 자연수 p와 q에 대하여 p/q 형태의 분수로 표현 가능한 수를 의미한다. 무리수 역시 두 개의 자연수 p와 q로 표현 가능하며 그 형태는 다음의 형태가 된다.

2018-07-22_07-37-13.png

위와 같이 표현 가능한 무리수를 대수적 무리수라고 한다(위의 예에서 p가 생략된 경우는 p가 2인 경우를 의미한다.). 그리고 이렇게 표현할 수 있다는 것 역시 가부번임을 의미하며 이런 종류의 무리수 전체는 자연수의 농도와 일치할 것이다. 하지만 이런 형태로 표현이 불가능한 무리수들이 있으니 바로 "초월수"라는 것들의 존재다. 우리가 너무나 잘 알고 있는 초월수는 대표적으로 π(파이, 3.14159 26535 ...)가 있다. 그 외에도 이공계 출신이라면 역시 익숙할 수밖에 없는 초월수 е(자연 로그의 밑, 네이피어 수, 에르미트 수, 2.71828 18284 ...)도 존재하며 현재까지 알려진 몇 가지 초월수가 있다. 초월수는 "계수가 유리수인 어떤 다항 방정식의 해도 될 수 없는 수"라고 정의된다. 반면에 해가 될 수 있는 수는 대수적 수라고 하며 여기에는 유리수와 앞서 설명한 대수적 무리수도 포함된다. 무리수 전체는 바로 이런 대수적 무리수와 초월수로 구성되며 이러한 초월수의 존재가 실수로 하여금 가부번집합이 될 수 없게 만드는 결정적 요인이 된다. 초월수의 존재는 칸토 이후에 증명되었지만 칸토는 실수가 가부번집합이 될 수 없다는 것을 증명함으로써 후대에서 초월수의 존재를 밝혀낼 수 있는 계기를 만들었다는 것 역시 수학사에서는 큰 의미를 갖는다(여담이지만 유리수나 대수적 무리수 전체의 수는 초월수 전체의 수와 비교도 안될 정도로 적다). 따라서 자연수 집합의 농도 < 실수 집합의 농도의 관계가 성립하게 된다. 이 증명을 통해 실수는 비가부번집합이며 칸토는 실수의 농도를 ℵ1으로 표기했다.

2018-08-05_14-56-34.png

결론적으로 ℵ0 < ℵ1이 되며 칸토는 이런 식으로 집합의 농도 역시 대소 관계를 통해 차례로 존재할 것이라 예상했고 각 농도를 대소 관계에 따라 다음과 같이 열거 가능할 것이라 생각했다.

2018-08-05_15-00-27.png

위의 관계에 따라서 가부번집합은 자연수가 유일하며 자연수의 농도 ℵ0는 무한집합의 농도값들 중 최소 농도를 갖게 된다. 또한 실수의 집합은 ℵ0보다 큰 비가부번집합이다.


칸토어는 이렇게 농도 사이에도 대소가 있음을 증명하고자 했고 이런 대소를 통해서 무한집합들을 순서대로 열거하고자 했다. 이는 초한수에 대한 열망으로 이어지는데 초한수는 칸토어가 무한수라고 했을 때 자연스레 따라붙는 가무한의 이미지를 벗어던지기 위하여 의도적으로 사용한 개념이다. 초한수는 말 그대로 유한수를 넘어선 현실적인 무한수를 의미한다. 유한수는 지금까지 이야기했던 자연수를 의미하고 현실적 무한을 자연수의 집합에 적용시켰다. 그리고 칸토어는 자연수의 확장에 도전하고 있는 것이다. 유한수인 자연수의 경우 사물의 수를 셈하기 위한 기수와 순서를 정하기 위한, 즉 번호를 매기기 위한 서수로 그 용도를 나눌 수 있다. 칸토어는 집합과 자연수의 기수의 성질을 이용하여 무한집합에 농도라는 개념을 부여했으며 이 농도와 자연수의 서수의 성질을 결합시켜 무한집합들 사이에 순서를 부여함으로써 자연수와 위상적 동일성을 갖는 초한수를 구축하고자 했다. 즉, 자연수를 셈하듯이 초한수를 통해 무한을 셈하고자 한 것이다. 그리고 이 초한수의 수학적 기호가 바로 ℵ(알레프)가 되며 자연수가 1, 2, 3, ..., n, ...으로 무한히 나열되듯 초한수 역시

2018-07-09_16-33-11.png

식으로 무한히 나열될 것이다. 자연수 전체 집합의 농도를 따진 결과 ℵ0가 도출되듯 초한수 전체의 집합도 따질 수 있을 것이며 더 나아가서 이 집합의 농도 역시 따질 수 있을 것이다. 그리고 그 결과는 또 다른 농도를 가진 초한수를 도출할 것이고 이런 과정은 무한한 농도의 나열로 이어지겠지만 이것 역시 집합론 내에서 수학적 개념으로 다룰 수 있게 된다.


지금까지의 논의를 정리하자면 최소의 무한농도는 ℵ0다. 그리고 ℵ0보다 큰 비가부번집합인 ℵ1이 존재한다. 그리고 ℵ0 < ℵ1 < ℵ2 < ... 의 관계에 있는, ℵ0, ℵ1 이외의 무한농도가 존재하며 최대의 무한농도는 존재하지 않는다. 하지만 방금 나열한 이 사실을 확정하기 위해선 "ℵ0와 ℵ1 사이에 위치하는 무한농도가 존재하는가?"라는 질문에 답을 해야만 한다. 다시 말해서, 자연수의 농도보다 크고 실수의 농도보다는 작은 농도-비가부번집합이 존재하지 않아야 칸토어의 꿈은 완성될 수 있다. 칸토어는 이 농도의 부재 증명을 시도했으나 끝내 마무리하지 못하고 세상을 떠나버렸다. 칸토어가 풀지 못하고 남긴 이 질문이 바로 유명한 "연속체(連續體) 가설"이다. 이 연속체 가설을 일반화시키면

2018-08-05_21-28-18.png

을 만족하는 농도 α가 존재하면 안된다는 "일반 연속체 가설"이 된다. 사실 더 정확히 표현하자면 일반 연속체 가설은

2018-08-05_21-32-21.png

을 의미하지만 이것까지 설명하기에는 논의가 길어지기 때문에 다음에 기회가 된다면 다시 설명하기로 하고 첫 번째 표현으로 그치도록 하겠다.


칸토가 창안한 집합론과 초한수론은 당시 수학계에 커다란 파문을 일으켰고 칸토는 많은 비판과 비난에 직면해야만 했다. 이런 덕분에 그는 결국 말년을 정신병원에서 보내게 된다. 사실 칸토의 집합론은 다소 거친 측면이 적지 않았으며 그 자체에, 가장 기초적인 집합의 정의 자체에 모순이 존재했다. 칸토어의 집합론에서의 이런 모순을 밝혀낸 수학자가 부랄리-포르티와 버트런트 러셀이었으며 당장 칸토르 스스로도 연속체 가설을 증명하지 못했기 때문에 그의 집합론은 위기를 맞게 된다. 하지만 칸토로의 이런 혁명적이고 자유로운 사고를 이어받아 집합론에서 문제가 되는 부분은 다른 방식으로 극복하고 그것을 적극적으로 수용하여 발전시킨 사람이 힐버트였다. 힐버트는 "그 누구도 칸토르가 만들어 준 이 낙원에서 우리를 쫓아낼 수는 없을 것이다!"라고 부르짖으며 그의 사고방식을 극단적으로 밀어붙여 순수한 개념적 형식주의에 기반한 추상적인 수학 세계를 구축했으며 선택 공리를 통한 공리계를 구축하고 이 공리계 내에서의 무모순성을 증명하고자 하는 거대한 프로젝트를 출범시켰다. 또한 이 프로젝트의 첫 번째 선결 과제로서 칸토어가 마무리하지 못했던 "연속체 가설"의 증명을 내세웠다. 그의 목적은 형식주의를 통해 수학의 완전성을 증명하고자 했고 이는 인간 이성의 무오류성을 증명하고자 하는, 근대의 라이프니츠가 꿈꿨던 이상과는 또 다른 형태의 절대적 이상을 꿈궜다. 하지만 그의 그러한 노력 역시 종국에는 역설에 의해 무너지고 마는데 힐베르트의 대형 프로젝트를 무너뜨린 주인공은 바로 26살의 청년 수학자 괴델이었다. 괴델은 역시 역설을 이용하여 하나의 공리계 내에서의 무모순성을 증명하는 것은 불가능하다는, 증명의 불가능성을 증명하는 "불완전성의 정리"를 제시하여 힐베르트의 꿈을 좌절시켰다. 괴델의 이 정리는 어찌 보면 인간 이성의 한계를 증명하는 이론이기도 했으며 이는 수학계뿐만 아니라 철학계에도 커다란 파장을 던진 사건이기도 했다.



칸토르의 이상을 실현코자 했던 힐버트와 그를 둘러싼 형식주의 vs 직관주의 논쟁, 그리고 괴델로 이어지는 수학사의 전설 같은 이야기는 추후 기회가 된다면 다루기로 하고 보르헤스가 후기에서 언급했던 알레프의 본질에 대해서 간단히 살펴보고 본 글을 마무리하고자 한다. 보르헤스는 <알레프>라는 이름의 기원을 언급하면서 아르헨띠노가 그 이름을 어디서 따왔을까 하는 의문을 제시함으로써 자연스레 알레프의 본질에 대해서 이야기한다. 그리고 아르헨띠노의 알레프는 진짜가 아닐 것이라고 한다. 물론 거기에는 역시 아르헨띠노에 대한 시샘이 묻어있다. 그 이유는 아르헨띠노의 알레프가 가짜라는 나름의 이유를 대지만 그 근거가 충분하지 않기 때문이기도 하다. 1867년경 버튼 대위가 언급한 우주 전체를 담고 있는 몇 가지의 거울들을 나열하면서 이 거울들과 함께 아르헨띠노의 알레프를 순수한 광학 기구의 차원으로 격하시켜버린다. 대신 카이로의 아므르 이슬람 사원에 있는 돌기둥에 우주 전체가 들어 있다는 버튼 대위의 말을 그대로 인용하면서 그 돌기둥 안에 진짜 알레프가 있지 않을까 하는 추측을 한다. 이는 어쩌면 볼 수 없는 영역에 존재해야 진정한 알레프일 수 있다는 그런 이유에서가 아닐까? 그것은 그의 다른 단편들, 예를 들어 <신의 글>이나 <알따모심으로의 접근> 등의 글에서 보르헤스가 은연중에 내비치는 관점과도 일맥상통한다고도 볼 수 있다. 불변의 진리나 불멸의 총체성, 완전성 등 신적 속성에 해당하는 것은 인간이 끊임없이 부여잡고자 다가가지만, 손을 뻗치며 잡을 수 있을 것 같지만 수학에서의 극한처럼 결코 닿을 수 없는 미분소의 무한성으로 인해 인간은 그 한계를 극복할 수 없다는 것을 의미하지 않을까? 마치 결코 다다를 수 없는 카프카의 <성>이나 영원히 끝나지 않을 카프카의 <소송>처럼 말이다. 그리고 알레프 역시 그런 속성을 지닌 존재일 것이라고 암시하는 듯하다. 대신 보르헤스는 후기 말미에 이미 보았지만 그런 다음 잊어버린 것은 아닐까라고 반문하며 다음의 글로 마무리하고 있다.


우리의 정신은 망각의 세계로 스며든다. 그래서 나 자신도 세월이라는 비극적인 침식 작용 아래서 베아뜨리스의 모습을 왜곡하면서 잃어버리고 있다. (P-216)


어쩌면 아르헨띠노의 알레프를 ℵ0라고 했을 때 보르헤스가 말하는 진짜 알레프는 ℵ1일 수도 있을 것이다. 비가부번으로서의 ℵ1은 어쩌면 아르헨띠노의 알레프에는 대응되지 않는 세월의 침식, 시간의 망각, 보르헤스의 베아뜨리스를 왜곡시키는 망각된 기억까지도 모두 포함하는 알레프일 것이다. 그렇다면 보르헤스 스스로가 감탄해 마지않아 보고 있는 모습을 보는 보르헤스가 또 존재할 수 있을지도 모를 일이다.

keyword
매거진의 이전글미노타우로스의 고독