brunch

14. 아톰의 세계에서 종이로, 그리고 비트 세계로

[3악장. idylle- 수학에서 인공지능으로]

by 코딩하는 수학쌤

아톰은 현실 세계를 구성하는 가장 작은 단위인 원자를 의미한다. 앞의 글에서 살펴본대로 우리가 살아가는 이 아톰의 세상은 다양한 추상화 과정을 통해 기호와 수로 표현이 되었고, 이 표현들의 무대는 종이였다. 우리의 세상은 수식과 수를 통해 종이로 옮겨졌고, 이 종이라는 공간에서 인간의 사고 활동인 수학이라는 학문으로 살아움직였다. 그 생명력이 있는 수학은 다시 인간에게 유의미한 결과를 돌려주었다.


예를 들면 기하학은 도형이라는 도구를 활용하여 현실 세계의 시각적, 공간을 종이 위로 옮겨놓는 역할을 했다. 고대 이집트에서는 땅의 넓이에 따라 세금을 거두었는데 매년 나일강이 범람했기 때문에 땅을 자주 측량해야만 했다. 시시각각 경계선이 강에 의해 지워지는 땅을 제대로 측량하기 위해 땅을 여러 개의 삼각형으로 나누었고 이 넓이들을 각각 구해서 전체 넓이를 구하였다. 이는 실제 농장이 도형의 형태로 변환되어 수학의 세계로 옮겨진 것과 같다.


이러한 기하학에서 직각삼각형은 공간을 이해하는 핵심적인 도구가 된다. 임의의 다각형은 삼각형으로 쪼개어서 생각할 수 있다. 또한 직각삼각형이 아닌 삼각형은 한 꼭짓점에서 마주 보는 대변에 수선을 그어 직각삼각형 2개로 쪼갤 수 있고 삼각비를 활용해서 삼각형의 길이와 관련한 성질들을 다 찾아낼 수 있다.


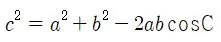
왼쪽 그림에서 길이 c와 각 B가 주어진 경우 AH=c·cosB라는 성질을 이용하여 넓이

라는 공식을 유도해내기도 하고, BH=c·cosB, CH= c·cosB 되므로 a= c·cosB+c·cosB라는 성질도 유도하기도 한다. 또한 BH=a-b·cosC, AH=b·sinC, AB=c 이므로 피타고라스 성질에 따라

라는 코사인 법칙을 만들어내기도 한다. 다각형은 삼각형들로 쪼갤 수 있고, 삼각형은 직각삼각형 2개로 또 쪼갤 수 있기 때문에 직각삼각형의 성질을 제대로 이해하는 것이 기하학의 기초이자 핵심이 된다. 이러한 기하학은 현실 세계를 옮겨왔고 대수학의 발전이 이루어지기 전까지 계산하는 방법까지 제공을 해주었다.


종이 위에서 수학을 처리하는데는 그동안 인류가 증명하고 구축해놓은 수학의 수많은 성질과 연산을 활용했다. 그러나 수학을 처리하고 계산하는 속도는 한계가 있었다. 아무리 여러명의 사람이 함께 노력한다고 해도 그 한계는 명확했다. 간혹 천재적인 수학자의 등장으로 놀라운 계산법의 발견이 일어나긴 했지만 그래도 경우를 줄여줄 뿐 계산 속도가 획기적으로 빨라지지는 않았다. (이런 놀라운 방법을 발견한 사람들도 극히 일부의 천재적인 수학자들이었다.)


약 2천 년이 넘게 인류의 발전 속도만큼이나 천천히 변해온 수학의 무대는 1950년 전후로 획기적으로 변화를 맞이했다. 수학의 무대가 종이에서 컴퓨터의 세계로 수학이 확장되면서 인간의 10진법은 기계에서는 2진법으로 표현되었고, 현실 세계의 데이터는 수많은 특성들이 빼곡히 숫자로 적혀있는 데이터로 표현되기 시작했다.


예를 들면 오디오 신호의 경우 아래 그림과 같이 대표적인 음역대의 주파수의 숫자들을 조합하여 표현을 한다. 이미지 데이터는 색깔은 Red, Green, Blue의 빛의 3 원색으로 색을 나타내기도 하고, 모니터의 픽셀 좌표를 통해 위치를 결정한다. 이와 같이 다양한 속성들은 마치 차원 위의 점의 좌표처럼 표현을 할 수 있는데, 수학에서 이러한 대상들을 가리켜서 ‘벡터’라고 한다.



종이 위에서 비트의 세계로 옮겨진 수학은 더욱 놀랍게 발전해가기 시작했다. 사람의 제한된 기억력과 계산력은 컴퓨터를 만나면서 비교할 수 없을 만큼 정확해지고 정밀해졌으며 기억 장치 속에서 인위적으로 지워질 때까지는 변함없이 유지되었다. 비트의 세계로 옮겨진 실제 세계는 이전의 인간의 계산을 훨씬 뛰어넘는 놀라운 결과들을 내어놓았고, 이전 종이로 옮겨졌을 때와는 비교가 되지 않을 만큼 빠른 속도로 세상을 바꾸어 갔다.


종이 위의 수학은 수학자들의 세계 혹은 전문가들의 영역에 주로 머물렀지만 비트의 세계의 수학은 모두의 일상생활 서비스로 다가왔다. 이후 인공지능을 개발되면서 인류의 사고 체계를 뛰어넘는 놀라운 방법으로 실제 현실 세계를 분석하고 예측해주었다. 이로써 아톰의 세계는 종이 위에서 비트의 세계까지 확장되어 갔고, 비트의 세계에서 분석된 결과는 아톰의 세계를 변화시키기 시작했다.


이처럼 컴퓨터가 큰 변화를 이끌 수 있었던 이유는 인류에겐 2천 년 넘도록 정교하게 설계된 수학 때문이다. 수학은 컴퓨터에서 바로 적용할 수 있는 절차 지향적인 알고리즘을 갖추고 있다. 이 때문에 현실 문제는 수식을 통해 연역적으로 풀이가 된다. 이러한 과정들은 수학의 수식과 논리 흐름을 컴퓨터의 언어로 하나씩 바꾸기면 되었다.


컴퓨터에 입력되고 가공되는 데이터도 수학의 벡터이고, 이 벡터를 연산하고 처리하는 방법도 수학의 영역이다. 따라서 인공지능은 인류의 유산을 뛰어넘는 것 같지만 사실은 수학의 기반 위에 존재할 수밖에 없고 수학의 테두리 안에서만 자신의 능력을 한껏 뽐내고 있을 뿐이다. 인공지능이 없는 수학은 여전히 존재하지만 수학이 없는 인공지능은 절대 존재할 수 없다. 이 때문에 수학을 공부한다고 인공지능을 꼭 공부하게 되는 것은 아니지만, 만약 인공지능을 공부하다 보면 반드시 수학을 만날 수밖에 없음을 알게 된다.


keyword
매거진의 이전글13. 종이 위로 옮겨진 현실-2(해석 기하,확률)