brunch

13. 종이 위로 옮겨진 현실-2(해석 기하,확률)

[3악장. idylle- 수학에서 인공지능으로]

by 코딩하는 수학쌤

이러한 대수학은 기존에 기하학에서 다루었던 도형의 성질들과 특성들을 식으로 표현하기 시작했다. 이후 원이나 직선 등을 식으로 표현하고 식의 연산을 통해 해결하는 해석 기하학의 세계를 열게 되었다. 이러한 해석 기하학은 ‘도형의 방정식’이라는 단원으로 고등학교 1학년 1학기에 도입이 된다.


img-1.PNG

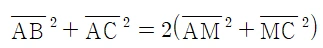
예를 들면 고등학교 1학년 수학 교과서에 ‘파푸스의 중선 정리’라는 것이 나온다. 삼각형 ABC에서 변 BC의 중점을 M이라고 하면

가 늘 성립한다. 그럴싸해 보이는 이 성질은 과연 항상 ‘참’이 될 수밖에 없을까? 이를 보이는 것이 증명인데, 도형의 성질을 활용해서 (기하적으로) 증명하려면 어떻게 해야 할까?

img-2.PNG

방법은 다음과 같다. 먼저 A에서 변 BC에 내린 수선의 발을 H라고 하자. 그림을 잘 살펴보면 삼각형 ABH와 ABH는 각 B가 90도인 직각삼각형이라는 것을 알 수 있다. 따라서 피타고라스의 정리에 의해

img-5.PNG

가 성립한다.

또한 BH=BM+MH이고, CH=CM-MH이므로 이를 위 식에 대입하면 파푸스의 중선 정리가 증명이 된다는 것을 알 수 있다. 이처럼 기하학은 연역적이고 논리적이지만 이를 풀이해내는 방법은 ‘나름의 기발함’을 항상 전제로 한다. 수선의 발을 긋고 피타고라스 정리를 적용한다는 전략은 이러한 유형의 문제에 모두 적용 가능한 방법이라기보다는 이 문제에만 특화된 독창적인 방법이다.


반면 이를 좌표평면으로 끌고 오면 도형의 성질이 아니라 ‘길이’라는 측면으로 모든 문제가 해결이 된다. 직접 길이를 좌표를 측정할 수 있는 도구가 주어졌기 때문에 성질이 아닌 도구로 선분의 길이를 하나하나 측정만 하면 그만이다.

img-3.PNG

이로서 문제 맞춤형의 기발한 아이디어가 없이도 식이라는 도구를 통해 기하학 문제들을 하나씩 해결하기 시작했다. 이러한 해석 기하학은 함수로도 연결이 되었다. 두 집합 사이의 대응관계를 식으로 표현했고, 이렇게 나타난 식을 좌표 평면으로 옮겨 기하적 특성을 살펴보게 되었다. 수학의 대응 관계를 연구하면서 자연적으로 하나의 값이 변함에 따라 함숫값이 어떻게 변화하는지 살펴보는 시각을 하나 더 가지게 되었다.


대응에서 변화의 시각으로 함수를 분석함으로써 눈에 보이지 않던 규칙들을 추론할 수 있었다. 이러한 과정의 가장 극적인 클라이맥스는 해석 기하학의 도구로 기하적인 측면을 연구하면서 탄생한 미분의 개념이었다. 함수가 아주 작은 부분에서 변화했을 때 그 변화율이 어떻게 바뀌어가는지를 계속해서 추측하는 과정에서 기하학의 개념과 해석 기하학, 함수의 개념이 함께 만나면서 놀라운 결과를 가져왔다. 뉴턴은 떨어지는 사과를 보며 눈에 보이지 않은 힘이 규칙이 있음을 추측했고 이 힘이 어떻게 작용하는지를 살펴보면서 중력가속도를 계산해냈다. 또한 천문학자들은 별의 움직임을 수학을 통해 분석했고 예측을 할 수 있었다. 이처럼 미분은 수학은 자연의 규칙성을 설명할 수 있는 힘이 있다는 것을 보여주었고, 이로 표현된 식을 통해 예측을 할 수 있게 만들었다. 이를 통해 자연의 규칙성은 수학으로 설명 가능한 대상이 되었으며 과학의 혁명을 가져왔다.


반면 자연의 불규칙성은 이러한 식으로 표현이 되기 어려웠다. 하지만 인류는 이를 누적적으로 기록을 해가면서 어떠한 특징이나 패턴을 파악할 수 있음을 깨달았으며, 이 불확실성 또한 확률이라는 개념을 통해 숫자로 표현할 수 있게 되었다. 이로써 인류는 기존의 미분으로 설명하기 어려웠던 자연의 불규칙성을 효과적으로 수치화할 수 있는 확률, 반복되는 확률의 분포를 해석하며 분석할 수 있는 통계라는 새로운 도구도 서서히 갖추게 되었다.

keyword
매거진의 이전글12. 종이 위로 옮겨진 현실세계-1 (수, 대수학)