brunch

목표보다 목표지향성이 더 중요하다

by 박진우 Dec 27. 2023


목표가 없는 조직을 상상해 본 적이 있는가?


조직 구성에 있어 목표는 필수적이다. 목표 설정과 관리는 곧 조직 성과와 생존으로 직결된다. 그런데, 목표 설정 못지 않게 중요한 것이 있다. 바로 목표 지향성(goal orientation)이다.


강력한 목표 지향성을 지닌 기업은 어떤 계획이 핵심 목표에 부합하는지, 어떤 계획이 핵심 목표에 방해가 될 수 있는지를 결정할 수 있다. 이렇게 명확한 지향성은 곧 시장에 집중하고 브랜드 아이덴티티를 보다 쉽게 확립할 수 있다. 또한 핵심 목표에 기여하지 않는 목표에 대해 시간과 자원을 최소화했기 때문에 주요 목표를 더 빨리 달성할 수 있다.


구성원에게도 목표 지향성은 중요하다. 사람마다 직장에서 성취하고자 하는 바가 다르기 때문이다. 구성원의 목표 지향성을 크게 3가지로 구분해 볼 수 있다. 첫째는 학습 목표 지향(Learning Goal Orientation)이다. 학습 목표 지향은 자신을 개발하고 역량을 향상하려는 욕구를 말한다. 둘째는 성과 증명 목표 지향(Performance Prove Goal Orientation)이다. 성과 증명 목표 지향(PPGO)은 자신의 역량을 입증하고 뛰어난 성과를 보여주고 다른 사람들로부터 긍정적인 평가를 얻으려는 욕구를 반영한다. 마지막은 성과 회피 목표 지향(Performance Avoid Goal Orientation)이다. 자신의 무능을 숨기고 성과 실패와 부정적인 평가를 피하려는 욕구가 강한 사람이다.


Achievement-goal-orientation-model-based-on-research.png

출처: https://www.researchgate.net/figure/Achievement-goal-orientation-model-based-on-research_fig2_321328480


구성원들은 직무 수행 과정에서 자신의 목표 지향성에 따라 다른 모습을 보일 수 있다. 학습 목표 지향이 강한 사람이라면 새롭게 부여된 일을 도전적이라고 인식하겠지만, 성과 회피 목표 지향성이 강하다면 자신의 무능이 드러날 수 있는 리스크를 감수하지 않을 것이다. 성과 증명 목표 지향성이 높다면 자신이 할 수 있다고 생각되는 일이라면 도전적으로 인식하겠지만, 그렇지 못하다면 회피하려 들 것이다.


직장에서 수행하는 직무는 다양하지만 크게 두 가지로 구분할 수 있다. 도전성 직무요구(challenge stressor)와 방해성 직무요구(hindrance stressor)다. 사람들은 자신의 숙련도를 높이고 성장과 발전에 도움이 되며 미래에 있을 이득, 즉 자원의 획득에 도움이 된다고 생각하는 직무요구들을 도전적이라 해석한다, 어떤 일이 도전성 으로 여겨지면 학습과 성취, 보상을 얻기 위한 기회라 생각하고 자신의 역량을 충분히 발휘하려는 경향을 보인다. 반면에 어떤 직무요구는 개인적 성장이나 학습, 목표 달성에 방해로 해석될 수 있다. 역할 갈등이나 역할 모호성, 조직 정치로 느껴지는 일이나 형식적이거나 쓸모없는 일이라고 생각되는 일을 부여받게 되면 구성원들은 자발적으로 노력을 기울이기 힘들다. 자신의 성장과 발전, 성취에 방해가 된다고 생각되는 직무요구는 직무탈진, 직무불만족, 이직의도와 같은 부정적 결과로 이어진다.


그런데, 학습 목표 지향(LGO)이 높은 직원이라면 도전적인 직무요구를 더 도전적으로 평가할 것이고, 방해성 직무요구를 대안적 대처 기술을 개발할 기회로 삼는 경향이 있기 때문에 방해적 스트레스 요인의 부정적 영향을 덜 받는다. 하지만 LGO 수준이 낮다면 도전적 스트레스 요인에 대한 가치 평가가 높지 않고, 방해성 스트레스 요인을 불필요하거나 불합리한 것으로 보는 경향이 강해 불평불만만 늘어 놓는 경향이 강하다.


성과 증명 목표 지향(PPGO)가 높은 직원은 PPGO가 낮은 직원에 비해 도전적 직무요구를 더 도전적으로 평가할 가능성은 있지만, 방해성 직무요구를 더 부정적으로 평가하는 부정적 성향 역시 매우 높다. 성과 회피 목표 지향(PAGO)가 높은 직원은 도전적 직무요구를 도전적으로 평가할 가능성이 가장 낮고, 방해성 직무요구에 대해서는 매우 부정적으로 인식해 직무 수행 자체를 꺼려하는 경향이 강하다.



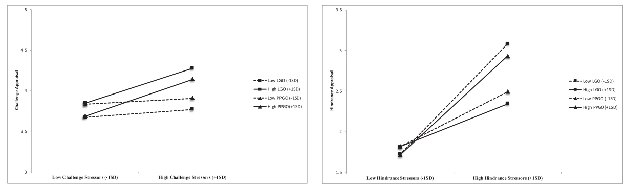
20231227_154707.png


출처: Ma, J., Peng, Y., & Wu, B. (2021). Challenging or hindering? The roles of goal orientation and cognitive appraisal in stressor‐performance relationships. Journal of Organizational Behavior, 42(3), 388-406.


연구 결과, 도전적 직무요구를 가장 도전적으로 인식한 그룹은 학습 목표 지향이 강한 그룹이었으며, 방해성 직무요구를 덜 방해적으로 인식한 그룹 역시 학습 목표 지향이 높은 그룹이었다.


20231227_155246.png


학습 목표 지향이 높은 것의 장점은 큰 반면, 성과 회피 목표 지향이 높은 것의 장점은 거의 없다. 따라서, 조직과 리더는 목표 설정과 관리도 중요하지만, 구성원의 목표 지향성 역시 측정하고 관리하는 노력이 필요하다.


무엇보다 숙달 지향 업무 환경(mastery-structurued work environment) 구축이 필요하다. 업무를 통해 구성원들이 의미있고 도전적인 새로운 기회를 경험할 수 있도록 직무를 설계하는 것이다. 높지만 현실적인 목표 설정(high but realistic standards), 성과 차질을 학습 기회로 삼게 하는 건설적 피드백, 심리적 안전감을 높이는 지원 등도 반드시 고려해야 한다. 리더가 긍정적인 롤 모델로서 행동하는 것 역시 중요하다. 새로운 학습 기회를 포착하고, 자신의 실패에 대해 투명하고 진실성을 유지하며, 학습 기회로 삼는 모습을 보여줘야 한다.


20231227_160527.png

출처: Vandewalle, D., Nerstad, C. G., & Dysvik, A. (2019). Goal orientation: A review of the miles traveled and the miles to go. Annual Review of Organizational Psychology and Organizational Behavior, 6, 115-144.


마지막으로 목표 지향성에 관한 진단을 제시한다.


<다음 진술에 동의하는 정도를 5점 만점으로 표시하시오>

1. 전혀 그렇지 않다 2. 약간 그렇지 않다 3. 보통이다 4. 약간 그렇다 5. 매우 그렇다


Goal Orientation Questionnaire (VandeWalle, 1997)


1. 나는 많은 것을 배울 수 있는 업무를 기꺼이 선택한다.

2. 나는 새로운 기술과 지식을 개발할 수 있는 기회를 자주 찾는다.

3. 나는 내가 새로운 기술을 배울 수 있는 어렵고 도전적인 일을 즐기는 편이다.

4. 나에게 내 능력을 개발하는 것은 매우 중요하기 때문에 충분히 위험을 감수할 가치가 있다.

5. 나는 높은 수준의 능력이 요구되는 업무 환경을 선호한다.

6. 내 동료보다 내가 일을 더 잘 수행할 수 있는 것을 보여주는 것이 중요하다.

7. 나는 다른 사람에게 내 능력을 입증하기 위해 필요한 것이 무엇인지 알려고 한다.

8. 내가 어떤 일을 잘한다는 것을 다른 사람이 알아차릴 때가 좋다.

9. 나는 내 능력을 다른 사람에게 입증할 수 있는 일을 선호한다.

10. 나는 새로운 기술을 배우는 것보다 내 실수나 무능을 보여주지 않는 것이 더 중요하다.

11. 내 실수나 무능이 다른 사람에게 들킬 우려가 있는 새로운 일을 피하려 한다.

12. 내 부족한 능력을 들킬 우려가 있는 일을 할 때 걱정이 많다.

13. 내가 잘하지 못할 것 같은 업무 환경을 회피하려 한다.


1~4번은 학습 목표 지향, 5~9번은 성과 증명 목표 지향, 10~13번은 성과 회피 목표 지향이다. 각 점수의 평균이 높은 수준으로 개인 목표 지향성을 측정할 수 있다.



keyword
이전 06화자신의 일을 사랑할수록 동료를 무시하기 쉽다