brunch

성격은 변할까, 아니면 변했다고 느낄 뿐일까?

by 박진우

사람들은 종종 이렇게 말한다.

“성격이 바뀐 게 느껴져요.”

물론, 이 말은 진심일 것이다.

하지만 의문은 남는다.


그 변화는 진짜일까?, 아니면 변했다고 느낀 것일까?


이 오래된 질문에 가장 정면으로 답하려 한 연구가 있다.

최근 성격및사회심리학 저널에 게재된 Krämer, Hopwood, Miller & Bleidorn(2025)의 실험이다.

이 연구는 왜 우리는 성격이 변했다고 느끼는가를 정면에서 파고들었다(Krämer, M. D., Hopwood, C. J., Miller, T. J., & Bleidorn, W. (2025). What explains personality change intervention effects?. Journal of Personality and Social Psychology.).





기존 연구가 놓쳤던 핵심 문제


지난 10년간 성격 변화 연구를 이끈 두 가지 모델이 있다.


① 자기개선(self-improvement): “사람은 더 나은 자신이 되고 싶어 한다”

목표를 정렬하고 습관을 설계해 의도적 노력을 기울이면 성격이 변화한다.


② 자기수용(self-acceptance): “사람은 변화보다 수용을 통해 괴리를 줄인다”

사람들은 변화가 아니라 ‘자기 수용’을 통해 현재 자기와 이상적 자기 사이의 괴리를 줄이고,

그 결과 성격이 안정되고 긍정적 변화를 보인다.


두 모델은 서로 다른 방식을 제시하지만, 공통된 전제 하나가 있다.

“심리학적 개입은 실제 성격을 바꿀 수 있다.”


그러나 이 전제 자체는 실제 검증되지 않았다.


우선 개입의 효과성은 분명해 보인다.

여러 연구들에서 심리적 개입을 실행한 집단의 사전-사후의 반응을 보면 다르게 나타나기 때문이다.


그러나, 이러한 실험 조건은 다음을 고려하지 못했다.

- 변화 연구에 참여한다는 기대(expectancy)

- 좋은 방향으로 응답해야 한다”는 요구 특성(demand)

- 설문 반복에 따른 자기초점(self-monitoring)


결과적으로 기존 연구는 개입 효과와 기대 효과를 구분할 수 없었다.






Krämer 등의 연구는 어떻게 다르게 설계되었나?


이 연구가 혁신적인 이유는 기대 효과를 분리해내기 위한 설계에 있다.

총 3개의 연구(전체 N=2,094명, 18~75세)가 진행되었고,

각 연구는 서로 다른 통제 조건을 사용하여 ‘개입 효과’와 ‘기대 효과’를 정교하게 분리했다.


연구 설계


① Self-Improvement 개입 집단

- 이상적 자기(ideal self)와 현재 자기(current self)의 괴리를 줄이기 위한 목표 중심 활동

- 매주 실행 계획, 습관 형성 전략


② Self-Acceptance 개입 집단

- 자기 판단을 줄이고 ‘있는 그대로’를 받아들이는 훈련

- 자기비난 감소와 정서적 수용 기술 포함


③ 통제 조건: 연구별로 완전히 다르게 설계됨

Study 1 — 아무 개입을 제공하지 않음

- 목적: '개입 있음 vs 없음'의 가장 기본적 비교


Study 2 — 기대 상승을 차단한 조건

- 성격 변화 개입처럼 보이지만 실제로는 아무 효과가 없는 활동(플라시보 효과와 유사)

- 삶에 대한 일반적 문답이나 감정 기록(성격 변화와 무관한 활동)

- 목적: 개입 내용의 효과성을 확인하기 위한 통제


Study 3 — 모집 문구(manipulated framing)만 조작한 조건

- 특별한 개입이 없는데도, 단지 모집 문구를 다르게 보는 것만으로 성격이 변하는지를 확인

- 예: 모집 문구 조작: "이 연구는 당신의 성격 변화에 도움이 될 것입니다."

- 목적: 기대(expectancy)만으로 성격 변화를 만들 수 있을까?


연구 결과, 실제 개입보다 기대가 더 강력했다.


연구의 핵심 결과


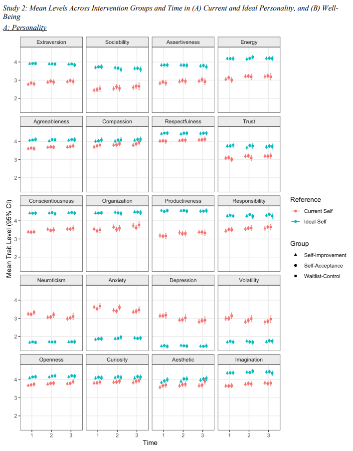
① 3개 개입 모두에서 변화 발생

- 신경증 감소, 외향성 및 성실성 증가, 웰빙 지표 상승, 이상적 자기와의 괴리 감소

결과만 보면 표면적으로는 성격이 변했다고 말할 수 있다.


20251218_215515.png

출처: Krämer, M. D., Hopwood, C. J., Miller, T. J., & Bleidorn, W. (2025). What explains personality change intervention effects?. Journal of Personality and Social Psychology.


하지만, 통제 조건에서도 ‘똑같은 변화’가 발생한 것을 어떻게 설명할 것인가?


특히 Study 3에서는 충격적이었다.

문구만 본 통제집단에서도 성격 변화가 나타난 것이다.

그들은 단지 "이 연구는 당신의 성격 변화에 도움이 될 것입니다."라는 문구를 본 것밖에 없다.


Self-Improvement와 Self-Acceptance의 개입 효과는 없었다.

두 개입 모두 변화는 있었지만, 통제조건 변화와 유의한 차이는 없었다.


결론은 명확하다.

우리가 ‘개입 효과’라고 부르던 것은 개입의 내용이 아니라 개입을 받는다고 믿는 기대에서 나온다.








왜 이런 일이 나타났을까? — 심리적 메커니즘


1) 기대(expectancy) 효과

“나는 지금 변화 중일 것”이라는 믿음 자체가 성격 자기보고를 바꾼다.

2) 자기초점(self-monitoring) 증가

반복 설문을 하면 자기반추가 증가하고, 긍정적 자기해석이 강화된다.

3) 사회적 바람직성(social desirability)에 따른 응답

사람은 “더 나은 나”로 응답하고 싶어 한다.

그래서, 개입 없이도 변화한 느낌은 충분히 생성될 수 있다.






이번 연구는 기존의 두 영향력 있는 성격 변화 이론도 다시 보게 만든다.


① Brian Little의 Personal Projects(PP)

PP 이론에서 ‘프로젝트 변화’는 대부분 자기보고다.

"나의 목표 달성을 위해 이렇게 변화했다”

그러나 이것이 실제 변화가 아니라 그냥 기대가 만든 변화일 수 있다는 것이다.

즉, Personal Project의 변화는 행동 변화가 아니라 의미 부여 방식의 변화일 수 있다.


② McAdams의 Narrative Identity

서사적 정체성 역시 대부분 자기보고다.

"이 경험은 나를 성장시켰다.”

그러나 이런 서사는 기대나 사회적 바람직성으로 빠르게 재구성된다.

Krämer 연구는 서사가 바뀌면 성격이 바뀐 것처럼 느끼는 것은 자연스럽지만,

그것이 실제 구조적 변화라는 증거는 아니라는 사실을 보여준다.






조직에서 얻은 교훈


첫째, 교육 효과는 대부분 ‘느낌의 변화’다.

특히, 자기보고 기반 성격이나 만족도 지표는 기대와 바람직성에 매우 취약하다.


둘째, 기대 효과를 잘 설계하면 실제 개입보다 강력할 수 있다.

'당신은 성장 프로그램에 참여하고 있습니다'라는 메시지는 이미 변화의 절반을 만든다.


셋째, 진짜 변화는 행동 데이터로만 검증될 수 있다.

동료 평가, 관찰, EMA(경험표집법)이나 실제 성과가 없으면

변화의 착시인지 실제 변화인지 판단이 불가하다.


성격 변화는 ‘구조의 변화’와 ‘느낌의 변화’를 구분해야 한다.


성격 변화는 실제로 일어날 수 있다.

하지만 우리가 변했다고 느끼는 순간, 그 느낌이 진짜 성격 변화인지,

아니면 기대와 해석이 만들어낸 변화인지는 전혀 다른 문제다.


우리는 변화의 신호에 매우 민감하다.

'당신은 성장 프로그램에 참여하고 있습니다'라는 문구 하나만으로

우리는 자신을 다르게 바라보고, 다르게 느끼며, 결국 다르게 응답한다.


이 변화가 실제 행동의 변화로 이어지면 그것은 성격 변화라 할 수 있다.

하지만 그것이 단지 느낌의 변화, 서사의 변화, 의미의 재구성이라면 그것은 성격 변화가 아니라 변화의 착시다.


그렇다고 이 착시는 무가치한 것이 아니다.

변화에 대한 믿음은 사람을 움직이고, 노력을 촉발하며,

새로운 선택을 가능하게 하는 강력한 초기 조건이 되기 때문이다.


따라서 중요한 것은 변화가 ‘진짜냐 가짜냐’를 따지는 것이 아니라,

우리가 만들고 있는 변화가 일시적인 서사 재구성인지,

아니면 장기적 행동 변화를 예측하는 신호인지를 어떻게 구분할 것인가에 있다.


Krämer 등의 연구가 보여준 것은 분명하다.
느낌은 쉽게 바뀌지만, 실제 성격은 그렇지 않다.

자기보고의 변화, 성장의 서사, 긍정적 해석만으로는 행동은 오래 바뀌지 않는다.


그래서 필요한 것은 의미 해석이 아니라 행동 설계다.


무엇을 선택하게 할 것인가?

어디서 멈추게 할 것인가?

실패 후 무엇을 다시 하게 만들 것인가?


내가 개발한 CARAT과 같은 성격 진단 프로그램은 행동이 달라질 수밖에 없는 조건을 설계한다.

변화를 느끼게 하는 프로그램은 많지만, 변화를 지속시키는 구조는 드물다.

CARAT은 그 구조를 설계하는 지도다.

keyword
작가의 이전글열정은 원인이 아니라, 결과다.