brunch

미디어 스타트업 비즈니스 모델 삼각형(MBMT)

뉴스 미디어 스타트업 비즈니스 모델 방법론

by Daemin Park

새로운 뉴스 미디어 스타트업 비즈니스 모델 필요성

스타트업 BM은 스타트업 수만큼 다양하다고 해도 과언이 아니다 [1][2][3][4][5][6]. 게다가 BM 혁신은 동종 산업은 물론 이종 산업의 BM을 조합해 이뤄지기도 한다 [5]. 또한 스타트업의 BM은 가설로서 끊임없이 수정된다 [7][8].


디자인 싱킹(design thinking), 비즈니스 모델 캔버스(businessmodel canvas, BMC) 등 널리 활용되는 BM 방법론이나 BM 가설 평가를 위한 그로스 해킹(growth hacking)의 혁신 회계(Innovation accounting) 역시 이러한 면을 반영해 간결하면서도 동적이며 확장 가능한 모델링이 가능하도록 만들어져 있다 [5][6][9][10].


미디어 스타트업에 적용하기 위한 BM 방법론은 다음 조건을 만족해야 한다.

첫째, 스타트업에서 중요한 현금흐름과 연계돼야 한다.

둘째, BM이 보다 정량적으로 평가돼야 한다.

셋째, 미디어 스타트업의 특징인 콘텐츠 개발 측면에서 BM을 구성할 수 있어야 한다.

넷째, 간결하면서도 다양한 BM을 유형화하면서도 실시간 모니터링이 가능한 형태로 제안해야 한다.


디자인 싱킹이나 BM 캔버스나 BM 내비게이터는 현금흐름과 분리돼 있다. 따라서 BM의 평가나 이를 위한 KPI의 적정성을 자의적으로 평가할 수밖에 없으며 수시로 측정해 시계열적으로 판단하는 것도 어렵다.

물론 BM을 실시간으로 분석하기 위한 방법론이 없지는 않다. ARPU(Average Revenue per User)의 코호트 분석(cohrort analysis) 등을 활용하는 그로스 해킹(growth hacking)이 대표적이다 [11][12][13]

그런데 앞서 살펴본 것처럼 뉴스 미디어 스타트업에서 투자와 고객 개발, 기술 개발만큼 중요한 것이 콘텐츠 개발이다. 그로스 해킹은 고객 개발과 기술 개발을 현금 흐름과 연결하지만, 콘텐츠 개발은 특별히 고려하지 않는다.


미디어 비즈니스 모델 삼각형(MBMT)의 제안

여기서는 콘텐츠 개발 중심으로 비용과 매출 등 현금흐름을 실시간으로 연동해 BM을 유형화하고 평가하는 방법론으로서 미디어 비즈니스 모델 삼각형(mediabusiness model triangle, 이하 MBMT)을 제시한다.


관련 PPT:


MBMT의 목표는 다음과 같다.


첫째, 혁신 비즈니스 모델에 현금흐름을 결합하는 것이다.

둘째, 뉴스 미디어 스타트업 특성에 맞게 콘텐츠 생산에 초점을 두는 것이다.

셋째, 동적인 변화를 시각화해서 직관적으로 파악할 수 있게 하는 것이다.


MBMT는 비용을 고려해 저작권 매출 기준으로 최소 구독자 수로 목표를 설정한 뒤, 광고 매출이나 부가서비스 매출을 통해 최소 구독자 수 목표를 낮춤으로써 BM을 평가하는 방법이다. MBMT는


첫째, 목표 콘텐츠 생산량을 정하고,

둘째, 예상 비용을 산출한 뒤,

셋째, 이에 따른 매출 목표를 설정한다.


매출은 크게 저작권 매출, 광고 매출, 부가서비스 매출로 구성된다. 초기에는 모든 매출을 저작권 매출로 잡는다. MBMT를 도출했을 때 저작권 매출로 모든 목표 매출을 달성할 수 없다면, 광고 매출이나 부가서비스 매출로 대체하는 BM을 만들어야 한다.


최소 월 목표 구독자 수


일반적으로 인터넷 서비스의 매출은 간단하게 아래와 같은 공식으로 나타낼 수 있다.


매출=객단가 * 방문자 수 * 구매전환율


시간 단위를 월간으로 하면, 객단가는 구독료를, 방문자 수는 월 방문자 수와 구매전환율의 곱은 월 구독자 수를 뜻한다. 이에 따라 월 구독 매출은 다음과 같다.


월 매출=월 구독료*월 구독자 수


물론 매출은 구독 매출 외에, 광고 매출, 부가서비스 매출도 있으며, 구독 매출은 저작권 매출의 일부이다. 하지만 일단 모든 매출을 구독 매출로 환원한 뒤 이 매출을 다른 매출로 대체하는 식으로 생각하자.

편의상 모든 투자금은 BM 검증 전 일시적 비용에만 사용되고 기존 BM을 유지하는 비용은 매출을 통해 충당되며, 콘텐츠 생산 외의 비용은 없고, 모든 이윤은 콘텐츠 생산에 재투자된다고 가정하자. 그렇다면 다음과 같은 공식이 성립한다.


최소 목표 월 매출액=월 콘텐츠 생산비


월 콘텐츠 생산비는 다음과 같다.


월 콘텐츠 생산비=건당 콘텐츠 생산비*일 콘텐츠 생산량*월 콘텐츠 생산일


최소 목표 월 구독자 수는 월 콘텐츠 생산비를 월 구독료로 나눈 것이다.


최소 목표 월 구독자 수=월 콘텐츠 생산비/월 구독료


최소 목표 월 구독자 수를 줄이려면 비용을 줄이거나 생산성을 높이거나 저작권 매출 외의 매출을 늘려야 한다. 광고 매출이나 부가서비스 매출이 발생하면 그만큼 최소 목표 월 구독자 수도 줄일 수 있게 된다. 이에 따라 최소 목표 월 구독자 수의 공식은 다음과 같이 변경된다.


최소 목표 월 구독자 수=(월 목표 매출액-실제부가 매출-실제 광고 매출)/월 구독료


예를 들어 건당 콘텐츠 생산비가 10만 원이고, 100명이 하루에 1개씩 하루에 총 100건의 콘텐츠를 생산하며, 한 달에 주말을 제외하고 20일 간 출판하는 가상 신문사 ‘P’를 생각해보자. 이 신문의 월 콘텐츠 생산비 총액은 2억 원이고, 월 최소 목표 매출액 역시 2억 원이다. 월 구독료가 월 1만 원이라면, 최소 2만 명의 구독자를 모아야만 유지 가능하다. 이를 전액 광고로 대체한다고 하고 1 클릭당 2원의 광고비가 발생한다고 하면, 월 1억 클릭이 필요하다. 이는 콘텐츠당 한 달 평균 조회 수가 5만 회가 발생해야 한다. 또 1일 평균 조회수는 340만 회 정도 돼야 한다. 부가서비스로 내부 강사를 이용한 콘퍼런스를 개최해 저작권 수입 전체를 대체한다면, 수강료가 회 당 20만 원이라고 할 때 월 1000명의 유료 청중을 모아야 한다. 전반적으로 미디어에게는 콘텐츠 유료화가 굉장히 유리하다는 것을 알 수 있다. 즉 위의 사례에서는 구독으로는 2만 명만 모으면 되지만, 조회수로는 월 1억 회, 한 사람이 평균 10회 클릭한다고 가정하면 월 활성 사용자(MAU)가 1000만 명이나 필요하다.


미디어 비즈니스 모델 삼각형(MBMT)

MBMT는 콘텐츠 개발 비용을 정삼각형 면적으로, 저작권 매출, 광고 매출, 부가서비스 매출을 면적으로, 각 비중을 높이로 환원한다. 아래 그림과 같이 MBMT의 각 꼭짓점은 각 매출이 전체 매출을 차지할 때 최대 높이가 도달하는 기준점이다. 상단 꼭짓점이 저작권 매출 꼭짓점, 왼쪽 꼭짓점이 광고 매출 꼭짓점, 우측 꼭짓점이 부가서비스 매출 꼭짓점이다.

[그림 54].jpg 미디어 비즈니스 모델 삼각형

MBMT를 통해 실제로는 저작권 매출, 광고 매출, 부가서비스 매출의 비중에 따라 수많은 BM을 유형화할 수 있으며, 변화무쌍한 BM을 실시간으로 파악하고 매출 목표치와 비교할 수 있다.

모든 매출을 구독 매출로 간주한 뒤 광고와 부가서비스로 대체 가능성을 모색한다고 생각한다면, BM은 크게 6개 모형으로 유형화할 수 있다.


첫째, 저작권 변형 모형이다. 모든 매출은 구독 매출이거나 변형된 구독 매출, 즉 저작권 매출이다.

둘째, 광고 추가 모형이다. 매출은 저작권 매출과 광고 매출로 구성된다.

셋째, 광고 모형이다. 저작권 매출이 완전히 광고 매출로 전환된 경우다.

넷째, 부가서비스 추가 모형이다. 매출은 저작권 매출과 부가서비스 매출로 이뤄진다.

다섯째, 부가서비스 모형이다. 저작권 매출 전체가 부가서비스 매출로 추가된 경우다.

여섯째, 혼합 모형이다. 저작권 매출 중 일부가 광고 매출 및 부가서비스 매출로 추가된 경우이다.


이 여섯 개 유형은 아래와 같은 MBMT로 나타낼 수 있다.

MBMT.png MBMT로 시각화한미디어 비즈니스 모델 유형


매출-비용 격차의 보완

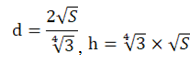
MBMT는 매출과 비용 간 격차를 한눈에 볼 수 있게 하며, 어떤 매출로 매출-비용 격차를 보완하는 관점에서 BM을 검토하게 해준다. MBMT의 전체 면적 S는 콘텐츠 생산 비용이자 최소 목표 매출을 나타낸다. 정삼각형 한변의 길이를 d, 높이를 h라고 하자. 참고로 d와 h는 아래와 같다.

1.png

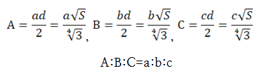
A를 실제 저작권 매출, B를 실제 광고 매출, C를 실제 부가서비스 매출이라 하면 전체 매출 대비 각 매출 비중은 다음과 같다.

2.png

참고로 각 매출 합산 값이 목표 매출에 미치지 못하면, 각 매출 비중 합산 값이 100%에 미달하며, 목표 매출을 넘어서면 합산 값이 100%를 초과한다. 이 경우 삼각형은 정삼각형이 아니다.

한편 각 매출을 나타내는 면적은 각 매출의 기준 꼭짓점과 마주 보는 대변을 밑변으로 하는 삼각형의 면적과 같다. 밑변의 길이가 같으므로 결국 각 매출 간 비는 각 삼각형 간 높이의 비로 환원된다.

3.png

실제 매출이 목표 매출보다 적다면, 매출-비용 격차가 발생한다. 매출-비용 격차 공식은 다음과 같다.


매출 격차=목표 매출액-실제 매출액


아래 그림은 BMT를 활용해 매출-비용 격차와 그 보완을 시각화한 것이다. 흰 부분 넓이가 매출-비용 격차의 비중에 해당한다. 매출-비용 격차를 알게 되면, 자본 소진 기간 또는 투자 여력, 비용 절감 목표치나 부문별 매출 상향 목표치 등을 정확히 판단할 수 있다. 지속적으로 목표 매출이 비용에 못 미치거나 부문별 매출 비중이 예상과 다르다면 다면 BM 가설을 수정해야 한다. 매출이 비용을 상회한다면 BM 가설이 검증된 것으로 보고 확장을 고려할 수 있다.

MBMT2.png 매출-비용 격차의 보완

매출-비용 격차를 보완하는 방법은 우선 크게 두 가지다.


첫째, 비용 절감이다. 이는 MBMT 자체가 작아지는 식으로 시각화된다.

둘째, 매출 증가다. 매출 증가는 BMT상에 어느 한 부문 매출을 나타내는 높이의 증가를 의미한다. MBMT에서 저작권 매출 증가는 저작권 매출 비중의 높이를 a에서 a′로 높이는 식으로 시각화된다. 마찬가지로 광고 매출 증가는 해당 매출 비중을 b에서 b′로, 부가서비스 매출 증가는 그 비중을 c에서 c′로 높이는 식으로 표현된다.


비용을 줄이는 방법은 건당 콘텐츠 생산 비용을 절감하는 것을 뜻한다. 이는 오직 생산성 향상을 통해 달성된다. 즉 한 사람이 같은 시간에 생산하는 콘텐츠 생산량을 늘려서 월 고용 인원을 줄임이거나 품질을 높여서 콘텐츠 건당 실적을 높임으로써 전체적인 인건비를 줄이는 방법이다. 그러나 건당 콘텐츠 생산비가 이미 낮은 수준이라면, 즉 낮은 인건비의 창작자를 활용한다면, 마른 수건을 짜 봐야 소용이 없다. 즉 생산일을 늘리든 시간당 생산량을 늘리 든 월 콘텐츠 생산량만 늘리면 품질만 저하되고 구독자가 이탈해버린다.


콘텐츠 개발의 생산성을 올리는 방식으로는 다음과 같은 것이 있다.


첫째, 탐사보도다. 이는 일종의 블록버스터 전략이다. 100개의 콘텐츠보다 더 많은 성과를 내는 하나의 고품질 콘텐츠를 생산하는 방식이다. 비용 상승에 따른 성과가 어떤 임계점을 넘어선 뒤 산술급수적이 아닌 기하급수적으로 늘어나야만 생산성 향상 또는 비용 절감 효과가 있다. 특히 인당 임금 상승보다 콘텐츠 당 구독자 수가 훨씬 빠르게 늘어나야 한다.

둘째, 지속적으로 다시 소비되는 에버그린 컨텐트(evergreen content)다. 일반적으로 콘텐츠는 새로운 정보가 더 가치가 있다. 그러나 시의성에 따라서 적절하게 재구성되고, 추천 알고리즘을 활용해 사용자의 필요에 맞게 제시된다면, 에버그린 콘텐츠는 신규 콘텐츠에 버금가는 가치를 가질 수 있다. 즉에버그린 컨텐트는 콘텐츠가 인간의 도움 없이 스스로 재생산되는 효과가 있다.

셋째, 콘텐츠 생산을 외부 기고가에게 외주(outsourcing)를 주는 방식이 있다. 허핑턴포스트나 ㅍㅍㅅㅅ, 슬로우뉴스 등이 대표적이다. 이들 매체는 파워블로거나 전문가 등 외부 기고가로부터 콘텐츠를 받아 자사 매체에 싣는다. 독점 전재가 아니기 때문에 콘텐츠 생산은 여러 매체가 나눠 내는 효과가 있다.

넷째, 통신사 등 외부 기관으로부터 뉴스 공급을 받는 것이다. 타사 기사를 받아쓰거나, 보도자료 등의 외부 콘텐츠를 활용하는 방식도 마찬지다. 텍스트 기사 외에 사진이나 동영상 등을 외부로부터 공급받을 수 있다. 다만 품질 차별화가 어렵기 때문에 사실상 무료로 활용된다. 악용되면 어뷰징 문제가 발생할 수 있다.

다섯째, 자동화된 큐레이션 방법이 있다. 좀 더 나아가면 기존의 여러 기사를 재작성하는 리패키징, 이를 데이터 기반으로 반자동화해서 수행하는 뉴스 빅데이터 저널리즘, 한 기사를 여러 플랫폼에 최적화하는 플랫폼 최적화, 추천 기능을 통해 개인 맞춤 큐레이션, 하위 주제를 묶어서 별도 매체로 만드는 버티컬 미디어 전략의 하나 등으로 활용할 수도 있다. 기술적으로는 다양한 비정형 콘텐츠를 수집하는 통합 데이터베이스 및 이를 분석하는 빅데이터 분석 시스템을 활용하고 미리 틀이 짜인 로봇 저널리즘 기술을 활용해 템플릿에 따라 플랫폼별로 최적화된 형태로 자동으로 큐레이션하고 이러한 의미 데이터를 사용자 행동 데이터와 접목시켜 추천하는 방식으로 큐레이션을 고도화할 수 있을 것으로 기대된다.

여섯째, 로봇 저널리즘이다. 데이터를 자동으로 수집해 알고리즘에 의해 기사화하는 방식이다. 산출물이 반드시 기사일 필요는 없다. 예컨대 스타트업 엠로보는 데이터를 기업 정보 보고서 형태로 작성한다.

일곱째, UGC를 활용하는 것이다. 롱테일 전략에 기초해 다양한 콘텐츠를 거의 비용을 들이지 않고 확보할 수 있다. 전반적으로 품질은 낮을 수 있지만 양질의 콘텐츠 공급자를 발굴하는 기회가 될 수도 있다. 보다 많은 사용자가 양질의 UGC를 만들 정도로 높은 수준의 관여를 하도록 유도하는 것이 필요하다. 이를 위해 지능형 검색엔진과 CMS 제공함으로써 사용자의 콘텐츠 생산을 도울 수 있다.


전체적으로 탐사보도, 에버그린 콘텐츠 활용, 아웃소싱, 통신사 활용 순으로 콘텐츠 당 생산단가가 낮아진다. IT를 활용하게 되면 자동화된 큐레이션, 로봇 저널리즘과 UGC는 한계비용이 제로에 수렴할 것으로 예상된다. 다만 IT를 이용한 생산비용 절감을 위해서는 큐레이션, UGC, 로봇 저널리즘에 대한 정책적 개방이 필요하다. 즉 자체 기사 비율을 따지거나 로봇 저널리즘을 활용한 콘텐츠나 UGC를 배제하거나 순위 강등하는 등의 정책은 플랫폼으로서는 관련 기술 발전을 저해시키는 반 기술적 조치다. 콘텐츠 생산자로서는 IT를 활용한 비용 절감 기회를 잃는 일이기도 하다.


모의 사례분석

앞서 언급한 가상의 신문사 ‘P’의 예를 들어보자. 100명이 한 달에 20일간 총 2000건의 기사를 생산한다. 월급은 200만 원, 즉 건당 생산비는 10만 원으로 월 비용은 2억 원이다. 구독료는 1만 원으로, 광고가 없다면 최소 목표 구독자 수는 2만 명이다.

이를 IT 기사를 웹툰 형식으로 생산하는 가상의 뉴스 스타트업 ‘O’[14]사의 BM과 비교해보자. ‘O’사는 인력을 6명으로 대폭 축소했다. 월급은 300만 원으로 올렸다. 1인당 콘텐츠 생산량은 월 10건, 매체의 월 콘텐츠 생산량은 60건이다. 월 비용은 총 1800만 원, 콘텐츠당 생산비는 30만 원이다. 월 구독료가 9000원이라고 한다면, 이들은 2000명의 유료 정기 구독자를 필요로 한다.

실제로는 누적 유료 구독자는 4000명이며 평균 2000명의 유료 구독자를 꾸준히 얻고 있다. 이 업체는 기자가 연사로 나서는 월 3만 원의 오프라인 행사를 연 10회 개최한다. 세미나당 참석자 수는 100명이다. 수익은 월평균 250만 원이다. 광고 매출은 전혀 없지만 일단 MAU가 40만 명이다. 한 사람당 월평균 10번씩 기사를 조회한다고 하면, 월 400만 조회수로 잠재 광고수익은 월 800만 원 정도로 유료 독자 889명 상당이다.

MBMT3.png ‘P’사 대비 ‘O’사의 비용 절감
4.png 잠채 매출과 초과 매출을 반영한 ‘O’사의 MBMT

정리하면 콘텐츠 생산 비용은 정기 유료 구독자를 통해 전액 충당함으로써 BM을 만들었다. 콘퍼런스는 BM의 핵심이 되기 어렵다. 다만 수시로 이탈하는 일시적 유료 독자의 결제금과 함께 콘텐츠 생산 외의 부가 비용을 충당할 수 있을 것으로 보인다. 투자금은 이 BM을 그대로 확장하는 식으로도 활용할 수도 있다. 다만 주제를 심화하거나 IT 분야 외로 확장했을 때 BM은 재검증해야 한다.


저작권 모형은 콘텐츠 제작자가 양은 적더라도 품질은 높은 콘텐츠를 만드는데 유리한 모형이지만 유료화 모델을 성공시키려면 많은 지혜가 필요하다. 우선 유료화 체계는 등급화(무료 비회원, 무료회원, 유료 프리미엄)돼있다. 콘텐츠는 IT 기사를 웹툰 형식으로 생산하는 만큼 일반적인 기사보다 훨씬 공이 많이 들어가며 기사 길이도 길고 담고 있는 정보량도 많다. 웹사이트의 포스팅에는 날짜가 없는데 이는 기사가 에버그린 콘텐츠를 겨냥하고 있기 때문이다. 과금 체계도 최신 기사 1주일치는 무료로 제공하고 과거 기사를 유료화하는 식으로 돼 있다. 콘텐츠는 특히 페이스북에서 공유되기 쉽도록 만들어진다. 기자들은 한 명, 한 명이 인플루언서로서 활동하도록 지원한다.


MBMT는 디자인 사고, BMC 등 다른 정성적인 방법론을 보완해 BM을 정량적이면서도 빠르게 검증하는데 도움을 줄 수 있다. 즉 기존 방법이 BM을 만드는 측면에 도움을 준다면, MBMT는 BM을 실시간으로 평가해 보유 자본과 현금흐름을 기준으로 피봇(pivot) 여부와 방향을 결정하고 새로운 BM의 성과를 예측하는데 도움을 줄 수 있다.

MBMT는 더 많은 실례로 검증할 필요가 있다. 이 연구의 MBMT는 이론 제안의 편의를 위해 비용 구조를 매우 단순화했다. 실제 적용에서는 복잡한 비용 구조를 반영해 비용 삼각형을 도출해야 한다 [15]. MBMT를 적용하기 위해서는 매출을 우선 크게 저작권 매출, 광고 매출, 부가서비스 매출로 3 분해야 하는데 이는 상황에 따라 적절하게 조정돼야 한다. MBMT는 경영정보시스템의 일부로 손쉽게 개발될 수 있다. 이를 통해 MBMT가 자동화된다면, 한 달, 1일, 또는 그밖에 최적화된 시간 프레임에 따라 BM을 실시간으로 평가할 수 있을 것으로 기대된다. 끝으로 미디어 스타트업은 사회적 영향력(impact)을 주요 성과 지표(keyperformance indicator)로 삼을 수도 있다 [14]. 이 경우 영향력을 화폐화 해서 매출의 한 부분으로 삼거나, MBMT를 입체화해서 시각화할 수도 있을 것이다.



[1] 김진수, 이창영, 김재호, 서경준, 박재홍(2016). <소셜벤처 창업하기>. 서울: 청람.

[2] 남대일, 김주희, 정지혜, 이계원, 안현주(2015). <성공하는 스타트업을 위한 101가지 비즈니스 모델 이야기>. 서울: 한스미디어.

[3] 유효상(2016). <유니콘>. 서울: 클라우드나인.

[4] Anderson, C.(2009). Free: The Futureof a Radical Price. Hyperion Books.

[5] Gassmann, O.(2015). The Business ModelNavigator. FT Press.

[6] Osterwalder, A. & Pigneur, Y. (2010). Business model generation: a handbook for visionaries, game changers, andchallengers. John Wiley & Sons.
[7] Ries, E. (2011). The lean startup: Howtoday's entrepreneurs use continuous innovation to create radically successfulbusinesses. Crown Books.

[8] Blank, S. & Dorf, B. (2012). The startup owner's manual: The step-by-step guide for building a great company.Ranch Gate Books.

[9] Ogilvie, T. & Liedtka, J.(2011). Designing for growth: A design thinking toolkit for managers. ColumbiaUniversity Press.

[10] Holiday, R.(2013). Growth hackermarketing: a primer on the future of PR, marketing, and advertising. ProfileBooks.

[11] 조민희(2017). <그로스 해킹(Growth Hacking): 성장의 시대를 위한 안내서>. 서울: 디지털북스.

[12] Ellis, S., & Brown, M.(2017). Hacking Growth: How Today's Fastest-Growing Companies DriveBreakout Success. 이영구·이영래(역)(2017). <진화된 마케팅 그로스 해킹>. 서울: 골든어페어.

[13] Holiday, R.(2014). Growth Hacker Marketing. 고영혁(역)(2015). <그로스 해킹>. 서울: 길벗.

[14] 아웃스탠딩(Outstanding) 사례를 기초로 하되, 비공개 정보는 가정했으며 계산 편의상 수치를 간소화했다.

[15] 김진수, 이창영, 김재호, 서경준, 박재홍(2016). 소셜벤처 창업하기. 서울: 청람.

keyword
매거진의 이전글미디어 스타트업을 위한 책들