brunch

함수의 미분 불가능성과 극한값 정의 불가능성의 상관관계

개별식 함수와 연속구간에 대하여

by DREAMER

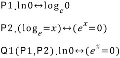
1.ln1=0이다. e⁰=1이기 때문이다. 그렇다면 ln0은 어째서 존재불가능한 수인가? 그것은 정의역이 D={x∈R}이고 치역이 R={y∈R∣y>0}인 지수함수의 속성상 그 어떠한 독립변수의 값에도 0이라는 아웃풋이 나올 수 없기 때문이다. 즉,


1.jpg


라고 할 때, 모든 실수의 원소를 집합으로 갖는 로그/지수함수의 속성상 그 어떠한 실수 x도 eˣ=0을 만족시킬 수 없기 때문이다. 그리고 이는 함수에 대한 기본적인 지식만으로도 매우 간단하게 증명될 수 있다. 즉, 함수 f(x)와 이에 대한 역함수 f-1(x)를 가정하고 함수 f(x)의 정의역을 Δf(x), 함수 f(x)의 치역을 Φf(x)라 가정할 때:



가 성립되기 때문이다. 이는 직관적으로 당연하다. eˣ=y에서 x가 -∞에 점근함에 따라 y도 0에 한없이 가까워지는 자연지수의 특성상 y=0에서 자연지수는 정의되지 않으므로 마찬가지로 eˣ라는 자연지수가 {x≠0}라는 정의역을 갖는다면 자연지수의 역함수인 lny라는 자연로그함수의 치역은 {y≠0}이 되므로 결과적으로 ln0은 성립불가능하다.


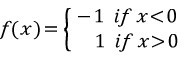
2.Heaviside 함수와 absolute value 함수, 그리고 Heaviside 함수와 유사한 형태의 그래프를 갖는 최대정수(greatest integer) 함수는 온당히 미분될 수 없다. 즉 이 함수는 f'(x)의 도함수를 가질 수 없다. 어째서인가? 혹자는 위 함수가 극한값을 갖지 않기 때문이라 말할 수 있다. 가령 greatest-integer 함수의 미분 불가능성은 다음과 같이 극한값이 성립하지 않음을 보임으로서 밝힐 수 있다.



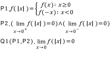
그러나 위와 같은 함수의 미분불가능성이 극한값의 부재 때문이라면 문제가 생긴다. 극한값의 부재는 absolute value 함수에는 적용되지 않기 때문이다:


이 예시에서도 볼 수 있듯이 lxl는 absolute value 함수의 인풋이 될 때 0이라는 극한값을 갖게 되며 이는 그래프의 우측 방향에서 점근해도 좌측 방향에서 점근해도 0에 다다른다는 것을 의미하기 때문에 극한값을 갖지 않는다는 이유로 absolute value 함수의 미분 불가능성을 연역할 수는 없을 것이다. 하지만 그럼에도 불구하고 수학교수 S는 위와 같은 함수들의 미분 불가능성을 긍정했다. 그렇다면 이러한 미분 불가능성은 어떻게 연역가능한 것인가? 답은 간단하다. 특정 함수의 미분 불가능성은 극한값의 부재에서 나오는 것─즉 카르테시안 좌표계에서 좌측 점근을 통한 극한값과 우측 점근을 통한 극한값이 서로 다른 경우─가 아니라 단순히 탄젠트를 어디에 둘 수 있는가-하는 변수에 의해 결정된다. 이는 위 함수들의 그래프를 생각해본다면 보다 명확해진다. 계단형식을 갖고 있는 Heaviside 함수나 greatest integer 함수에서 y의 값이 변형되는 시점의 극한값은 결코 정의될 수 없는 반면 absolute value 함수에서는 정의될 수 있다. 허나 이 함수들은 공통적으로 그래프 위에 탄젠트를 배치할 수 없다는 문제를 안고 있다. 가령 위에서 예시로 든 absolute value 함수의 경우 x→0⁺의 방향으로 x=0에 점근하는 탄젠트는 1의 기울기를 갖게 되지만 x→0⁻의 방향으로 x=0에 점근하는 탄젠트는 -1의 기울기를 갖게 되기 때문에 포인트 (0,0)에 점근할수록 one-sided 극한값과 마찬가지로 one-sided 기울기를 갖게되며, 따라서 포인트 (0,0)에서의 기울기(m)의 값은 정의될 수 없게된다. 게다가 선의 탄젠트는 선이고 선의 세크는 선이므로 탄젠트=세크라는 등식이 absolute value 함수에서 성립된다는 점을 생각해볼 때 y축을 기점으로 대칭적인 디폴트 absolute value 함수에서 우리는 탄젠트를 온전히 찾을 수 없을 것이다. 그러므로 우리는 특정 함수의 미분 불가능성이 극한값의 부재에서 연역되는 것이 아니라 m값의 규명불가능성에서 나온다는 것을 알 수 있다.


3.우리는 앞서 absolute value 함수 및 최대정수함수와 Heaviside 함수의 미분불가능성에 관해 논했으며 이러한 미분불가능성은 m값의 규명불가능성에서 연역될 수 있음을 살펴보았다. 그런데 여기서 말하는 미분불가능성은 구체적으로 무엇을 의미하는가? 그것은 특정 함수 f(x)의 도함수 f’(x), 즉 f(x)의 탄젠트-규명불가능성을 의미한다. 하지만 여기서 탄젠트-규명불가능성이 곧 특정 함수의 미분불가능성을 함의한다면 <함수의 특정 구간에 대한 미분불가능성>과 <함수 자체의 도함수 규명 불가능성>은 분명하게 구분될 필요가 있을 것 같다. 가령 선의 탄젠트가 선이라면 x<0에서 –1의 m값을 갖고 x>0에서 1의 m값을 갖는 absolute value 함수는 분명 논리적으로 x=0을 제외한 모든 구간에서 미분 가능해야 합당할 것이다.


바로 이러한 이유 때문에 {x∈R}의 도메인을 갖는 연속함수인 absolute value 함수는 단지 x=0에서의 탄젠트에 대한 선형방정식을 갖는 것이 원리적으로 불가능할 뿐이므로 {x∈R∣x≠0}의 구간에선 미분이 가능하다는 것을 알 수 있다. 따라서 absolute value 함수는 m값을 규명할 수 없으므로 미분 불가능하다>는 명제는 반은 맞고 반은 틀렸다. absolute value 함수는 x=0을 제외한 모든 구간에서 미분가능하기 때문이다. 이때 탄젠트가 x=0에서 규명불가능하다면 f(x)의 도함수 Δy/Δx는 비약 불연속구간 및 one-sided 극한값을 갖게 될 법하다. 그런데 이러한 특징을 갖고 있는 함수라면 꽤 낯이 익다. 바로:


5.jpg


의 개별식을 갖는 Heaviside 함수이다. 흥미롭게도 absolute value 함수의 도함수 f’(x)는 x≠0 혹은 0에서 비연속구간을 갖는 Heaviside 함수인 것이다. 그렇다면 호기심이 생긴다. Heaviside 함수와 최대정수함수는 양자 모두 특정구간에서 우측점근 극한값과 좌측점근 극한값만이 존재하는 일종의 비약 불연속 함수이다. 그렇다고 할 때 x=0에서 탄젠트-규명불가능성을 갖는 absolute value 함수의 이차도함수 f''(x)와 비약 불연속함수인 최대정수 함수 g(x)=〚x〛의 도함수 g’(x)는 동일한 특성을 가졌다 볼 수 있는가? absolute value 함수의 도함수는 {x∈R∣x≠0}에서 0의 기울기─즉 x축에 대해 평행인 직선─을 갖기 때문에 f''(x)는 {y=0∣x≠0}의 도함수를 가질 것이다. 그렇다면 최대정수함수는 어떠한가? 비약 불연속 함수인 최대정수함수는 각 정수 n마다:


6.jpg


인 불연속구간을 갖기 때문에 디폴트 최대정수함수 g=〚x〛의 도함수는 앞서 살펴본 Heaviside 함수와는 달리 무한한 탄젠트-규명불가능 비약 불연속구간 {y=0∣x≠Z}를 갖는 것이다. 이로써 우리는 이제 <특정 함수의 미분불가능성>과 <특정함수의 특정 구간의 미분불가능성>을 엄밀히 구분해야할 필요성이 생긴다는 점을 알 수 있으며 비약 불연속 함수인 Heaviside 함수와 최대정수함수 모두 y=0이라는 특성을 갖는다는 것을 알 수 있고 추가적으로 개별식 비약 불연속 구간을 갖는 Heaviside 함수나 최대정수함수나 absolute value 함수의 미분불가능성은 기실 함수 전체에 적용되는 특정 함수의 속성이라기보다는 탄젠트를 규명하는 것이 불가능한 특정 구간에만 한정된다는 중요한 사실을 알 수 있다.


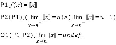
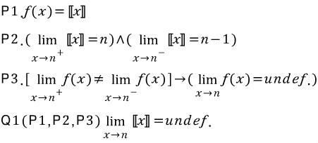
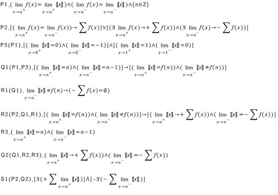
4.우리는 여기까지의 논의를 통해서 Heaviside 함수와 y=lxl의 형식을 갖는 absolute value 함수 및 y=〚x〛의 디폴트 형식을 갖는 최대정수함수 같은 일종의 개별식 함수들의 미분 불가능성이 선형 방정식인 탄젠트 수식의 m값 규명불가능성에 있으며 여기서 말하는 미분 불가능성이란 함수 그 자체보다는 함수의 특정 구간에만 적용되는 사안이라는 점을 살펴보았다. 그렇다면 위와 같은 개별식 함수는 연속함수라 정의되는 것이 가능한가? 가령 최대정수함수를 생각해보자. f(x)=〚x〛일 때 이 함수의 정의역은 {x∈R}지만 치역은 {x∈Z}이므로 이는 비약 불연속 구간을 갖는 분열적인 Heaviside 함수를 연상시키는 그래프를 갖는다. 때문에 이전의 글에서 살펴보았듯이:



라는 논증이 성립된다면 x가 n에 무한히 점근하는 상황에서의 극한값은 규명될 수 없으리라는 바를 알 수 있다. 하지만 우리는 최대정수함수에 대한 극한값을 규명할 수 없다할지라도 one-sided 극한이 정의될 수 있다는 점에 주목할 필요가 있다. 가령 앞의 논증에서 사용된 전제 P2를 눈여겨 보자면 우리는 x라는 독립변수값이 우측에서 x=n으로 점근할 때 극한값이 n이라는 점과, 좌측에서 x=n으로 점근할 때의 극한값이 n-1이라는 점을 알 수 있다. 그렇다면 최대정수함수는 연속함수인가? 연속함수의 필요조건은(x=h에 대해)좌측점근을 통한 극한값과 우측점근을 통한 극한값이 일치해야 한다는 것, 그러니 x→n에 대한 극한값이 규명가능해야 한다는 점이다. 때문에 이 함수는 각 정수 Z에서 one-sided 극한값을 갖는 것이 최대이므로 x=n(n∈Z)일 때 one-sided 연속성을 갖는 것이 최대일 것이다. 이는 연속함수를 ∑로 표현하고 좌측점근 연속함수를 -∑로, 우측점근 연속함수를 +∑로 표현할 때 다음과 같이 논증될 수 있다.



이와 같이 -∑를 좌측점근 연속성으로, +∑를 우측점근 연속성으로 가정할 때 정수 n에 대한 최대정수함수의 우측점근 연속성의 존재를 논증할 수 있다. 그러므로 최대정수함수는 연속함수는 아니지만 +∑는 모든 정수 n이 갖는 속성이라는 결론을 내릴 수 있을 것이므로 비약 불연속 구간을 갖는다는 것을 볼 수 있다. 그렇다면 이제 함수의 연속성 찾기는 식은죽먹기다. 가령 다음과 같은 개별식 함수를 생각해보자.


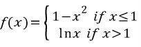
9.jpg


이 개별식 함수의 도메인과 비연속구간(discontinuous interval)은 무엇인가? {x∈R}의 정의역을 갖는 2차 함수 1-x²의 경우 x의 값은 1보다 작거나 같기에 기존의 정의역은 {x∈R∣x≤1}으로 변형되며, D={x∈R∣x>0}의 정의역을 갖는 자연로그함수 lnx는 x의 값이 1보다 크므로 우리는 최종적으로 개별식 함수 f(x)의 정의역이 (-∞,1)∪(1,∞), 즉 D=[(-∞<x≤1)∪(1<x<∞)]이라는 것을 알 수 있으며 f(1)은 1-x²에 대입해도 lnx에 대입해도 0이 되므로 우리는 이 개별식 함수가 0에서 연속적인 동시에 극한값을 규명하는 것이 가능하다는 것을 알 수 있다. 이 개별식 함수는 모든 정의역 내에서 연속적인 함수인 것이다.




작가의 이전글IDS-GOH 바이노럴 비트 노출의 부작용에 대한 논문