4화. 교직이수 가능한 간호학과 리스트

보건교사가 되기 위한 필수코스! 교직이수!

by 정은

“보건교사가 되고 싶은데, 간호학과 진학만 하면 되는 건가요?”

학생들에게 가장 자주 받았던 질문 중 하나입니다.



‘교직이 가능한 간호학과’인지부터 먼저 확인해야 해.”


보건교사는 단순히 간호사가 아니라

**‘교원 자격을 갖춘 의료인’**이기 때문에,

교직이수 과정이 가능한 대학을 선택하는 것이 무엇보다 중요해요.

이번 글에서는 전국 교직이수 가능 간호학과를 정리해 보겠습니다.




✅ 교직이 가능한 간호학과란?

간호학과라고 해서 모두 교직이 가능한 것은 아니예요.

교육부로부터 교직과정 설치 인가를 받은 간호학과만

정식 교원 양성과정을 운영할 수 있습니다.


이런 학교들은 보통 입학 후 1학년 말 또는 2학년 초에

교직이수 대상자를 선발하여,

전공과 병행해서 교직과목을 함께 이수하게 됩니다.


-> 교직이수 대상자 선발 및 세부사항 은 3화를 참고 하세요^^





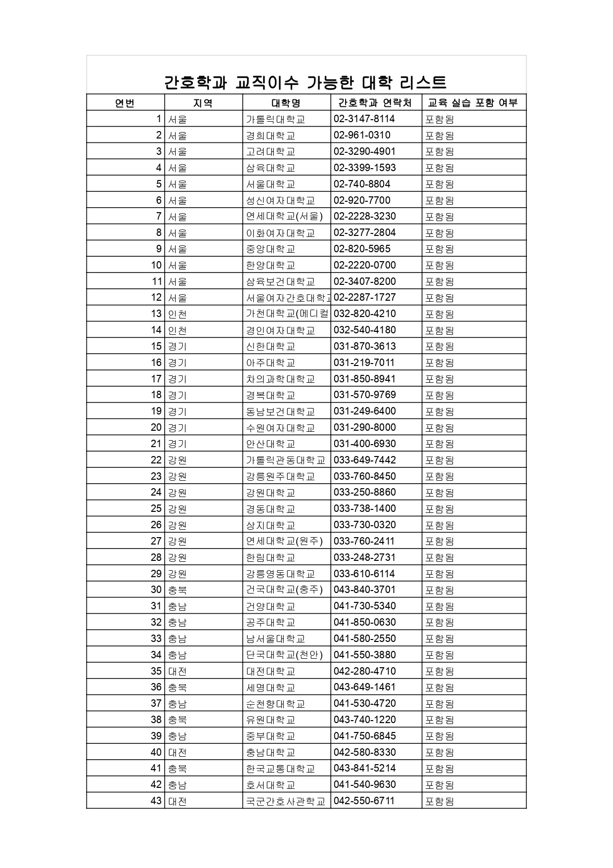
✅ 교직이수 가능한 간호학과 (2025년 4월 기준)

※ 아래는 대표적인 4년제 및 전문대 간호학과 중 교직과정 설치 대학 목록입니다.

*간호학과는 전문대도 모두 4년제로 통합되었습니다.

(정확한 선발 여부는 해당 대학의 입학요강 반드시 참고)

교직이수가능한 대학리스트 - 시트1_page-0001.jpg


교직이수가능한 대학리스트 - 시트1_page-0002.jpg
교직이수가능한 대학리스트 - 시트1_page-0003.jpg



✅ 학교 선택 시 꼭 확인해야 할 3가지

1. 최근 3년간 교직이수 선발 인원→ 학과 정원 대비 얼마나 선발하는지 확인

2. 선발 시기와 기준→ 대부분 1학년 2학기 성적 기준→ 면접 또는 인적성 포함 여부

3. 교육실습 지원 및 보건교사 커리큘럼 운영 여부

→ 보건교사 대비 특강, 지도교수제 운영 여부 등도 확인

→ 교육실습을 학교에서 적극적으로 지원 해주는 지도 매우 중요합니다.

저 같은 경우는 교수님들께서 열심히 교생실습지를 선정해주어서 초등학교에서 비교적 수월하게

교생실습을 마칠 수 있었어요.



ChatGPT_Image_2025%EB%85%84_4%EC%9B%94_18%EC%9D%BC_%EC%98%A4%ED%9B%84_03_59_29.png?type=w1

학생들과 함께 하는 보람된 하루하루



� 자주 묻는 질문 (FAQ)

Q1. 전문대 간호학과도 교직이 가능한가요?

→ 전문대(서울여자간호대, 삼육보건대 등)에도 다수의 학교가 교직이수 인가가 있습니다.

간호학과는 전문대도 모두 4년제로 통합되어서, 3년제 간호과는 이제 존재하지 않습니다.



Q2. 입시 준비생인데, 학교 선택은 어떻게 해야 하나요?

→ 간호학과 선택 시 ‘교직이 가능한지 여부’를 가장 먼저 확인하고,

진학 후 1학년 성적을 철저히 관리할 계획을 세워야 합니다.


Q3. 입학 후 선발에 탈락하면 다시 기회가 있나요?

→ 대부분 대학은 1학년 말에 단 1회만 선발합니다.

탈락 시 다시 기회가 없는 경우가 많아 1학년 초부터 철저한 준비가 필수입니다.






✍️ 마무리하며

보건교사의 길은, 간호사가 되는 길에 교직이수 라는 추가적인 길이 따릅니다.

간호학과 진학을 할때 부터 교직이 가능한지 반드시 체크를 해야해요.


이 글이, 간호학도와 예비 교사에게

조금이나마 선명한 지도가 되기를 바랍니다.




다음 연재 예고 | 5화

“교육대학원으로는 왜 보건교사가 될 수 없을까?”

보건교사 자격의 제도적 한계와 개선 논의

https://kmong.com/gig/668023







keyword
이전 03화3화. 간호학과 교직이수란?