brunch

어느 정도 노력을 해야 할까?

by 신박사

안녕하세요! <두근두근> 공저 신박사입니다. 많은 분들이 <두근두근>을 저와 함께 집필해주고 계십니다. 저는 블로그를 통해 그 여백을 함께 채우면서 여러분을 응원하기로 하였습니다! 앞으로 한 달 동안은 매일 글을 써서 <두근두근>을 읽고 쓰시는 분들께 조금이나마 더 즐거움을 드리도록 최선을 다하겠습니다!


우선 단도 직입적으로 말하고 시작한다.


노력의 정도와 결과는 절대 비례하지 않는다.


왜 그럴까? 그것은 무엇인가 잘못된 것이 아니고 자연현상이 그렇기 때문이다. 어떤 노력에 대한 시장(혹은 고객) 반응 및 보상은 대부분 '멱법칙'을 따른다. 멱법칙에 대한 설명은 아래 링크를 참고하면 된다.

http://blog.naver.com/justalive/220767586560


복잡하게 설명하지 않고 간단하게 말하면 20:80 법칙을 생각하면 된다. 예를 들면 세계 어느 나라를 가도 약간의 차이는 있을 지언정 경제적 상위 20%의 그룹이 전체 부동산의 80%를 소유하고 있다는 것이다. 20:80 법칙은 비단 부동산 뿐만 아니라 너무 많은 곳에 적용되고 있다.


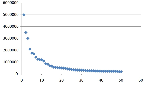
최근 세바시 출연이 결정되어서 유트브 세바시 채널을 모니터링하게 되었다. 그리고 이왕 보기로 했으면 제일 반응이 좋았던 것 부터 보자고 해서 시청횟수 기준으로 줄을 세웠다. 진짜 그냥 인기 많은 것부터 볼려고 했는데 이 놈의 병(?)이 또 꿈틀거리면서 올라왔다.... 얼추 보니깐 가장 인기 있는 1등 강연부터 2등, 3등, 4등의 시청횟수가 딱 봐도 멱법칙을 따른다. 그래서.... 그래프로 그려봤다.....

깔끔하게 멱법칙을 따른다.

그리고 상위 20위는 킹창옥님의 세상이다...

승자독식의 세계이다.

이렇게 유트브 사례만 봐도 수 년 동안 수 백 개의 강연이 나왔지만 상위 20%의 강연이 시청횟수가 나머지 80%를 압도한다. 이것이 세상의 원리다. 그럼 이제 답이 나왔다. 이왕 노력을 할거라면 상위 20%까지 들어가보는 노력을 해야한다. 그러면 노력은 기하급수적으로 보상을 받기 시작한다.


여기서 중요한 점이 있다. 일단 무조건적인 노력보다 훨씬 중요한 것이 바로 메타인지다. 얼만큼 노력을 해야 내가 경쟁하는 영역에서 상위 20%인지 그것을 인지하는 능력이 상당히 중요하다. 막연하게 정신승리로 무장할 것이 아니라, 노력대비 최고의 아웃풋을 만들고 싶다면 정확한 상황파악이 엄청난 노력보다 훨씬 중요한 것이다. 물론 죽도록 노력을 해서 1등을 한다면 아무 문제도 없다. 조금 힘든 것 빼고는....


세바시 출연 모니터링하다가 또 그놈의 멱법칙이 보이길래... 의식의 흐름대로 한 글자 적어봤다.

(도대체 그래프는 왜 그린건지... 이 병을 빨리 고쳐야 할텐데....)


<두근두근 中>


더 많은 가슴 뛰는 이야기 궁금하시다면 <두근두근>과 함께 하세요! 그리고 여러분도 여러분만의 책을 꼭 완성하세요! 응원할게요~


https://goo.gl/djCLPT


keyword
신박사 자기계발 분야 크리에이터 프로필
작가의 이전글3개월 장기 프로젝트의 성공