brunch

중력가속도(g)란?

기초 물리 상식

by Izac


여러분들이 문제풀이에 기계적으로 사용하는 중력(mg)에서 중력가속도 g에 대해 단순 가속도 말고 어떻게 이해하고 계신가요?




img.png

fig-1


다음 그림에서 1번과 2번 물체의 무게, 즉 작용하는 중력은 어떻게 구할까요?




물리학1을 충실히, 혹은 중3과정 과학을 충실히 이수했다면 mg 라고 표현할 수 있습니다.




img.png

fig-2


그러나, 엄밀히 말하면 (1)과 (2)의 무게는 다릅니다. 그 이유는 (1)과 (2)에 작용하는 중력가속도가 다르기 때문인데요.




중력은 지구가 당기는 힘을 말하고, 이 힘은 만유인력 입니다.




만유인력 식을 잠깐 볼까요?




img.png

fig-3


만유인력이라는 것은 두 물체 질량의 곱에 비례하고, 거리제곱에 반비례 합니다. 여기서 두 물체라 하면,


하나는 지구(M), 하나는 m인 질량의 임의의 물체가 되겠습니다.




다시 원래 그림으로 돌아와서,


img.png

fig-4


그러면 물체와 지구가 서로 같은 힘으로 당기고 있다는 걸 알 수 있습니다.






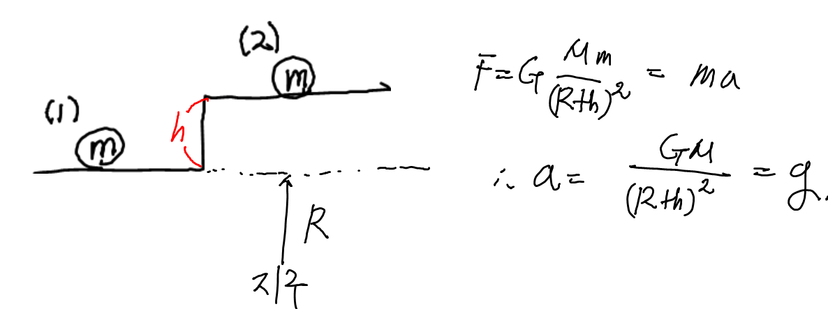
이 때, 물체m이 받는 가속도를 구해보면,




img.png

fig-5


a는 다음과 같이 GM/R제곱 이 나오게 되고, 이것이 물체가 받는 중력가속도가 되는 것입니다.




그러면 이 때, (2)번 물체의 중력가속도는 어떻게 될까요?




img.png

fig- 5


(2)번 물체는 (1)번 보다 h만큼 더 위에 있습니다. 이것은 땅아래에 있는 지구 중심으로부터 거리가 h만큼 더 멀어진 것이므로,




GM/(R+h)제곱 만큼의 중력가속도를 받게 됩니다.






자 그렇다면, 원래 처음 그림은 어떻게 수정이 되야 할까요?




img.png

fig- 6


다음과 같이 수정이 되겠습니다. 즉, (2)번 물체의 중력가속도가 분모가 더 크므로, 더 작아지겠죠?




그리고 이에 따라 물체의 무게, 즉 중력을 측정하면 (1)의 중력이 (2)의 중력보다 크게 측정됩니다.






그렇다면, 결론적으로, 왜 우리는 물리학1에서 중력가속도를 위치에 상관없이 g라고 통일시킬 수 있는 건가를 설명드리겠습니다.




그 이유는 지구와 물체사이의 거리 R값이 높이 h에 비해 엄~~~~~청 크기 때문에, h값을 무시할 수 있게 됩니다.






img.png

fig-7




일반적으로 R은 지구반지름 : 6371KM이며, h는 고작해봤자 물리학1 문제상으로 100m내외로 나오기 때문이죠.




사실 여기까지 물리학2 과정이긴 하지만, 왜 이런 이야기를 했을까요?




사실 물리학1의 '수소 원자 모형' 파트 부분에서 이와 유사한 전기력의 개념이 나옵니다.




fig-8


이미 전기력에 대해 배웠고, 전자가 원자핵으로부터 멀어질수록 그 힘 또한 약해지기 때문에




n=1 -> n=2로 가는데는 많은 에너지가 들지만, n=4 ->n=5로 갈때는 상대적으로 적은 에너지가 든다고 배웠습니다.






만유인력, 즉 중력 또한 마찬가지 입니다.




같은 물체를 지면에서 100m 들어올릴때 필요한 에너지와, 상공 1000km 에서 1000.1km 로 똑같이 100m 들어올릴 때 필요한 에너지가 달라지는 것입니다.






그래프로는 다음과 나타낼 수 있겠죠.






img.png

fig- 9


힘 -거리 그래프에서 면적은 W, 즉 일, 에너지를 나타내므로 결국 중력도 전기력과 비슷하게 개념을 이해할 수 있습니다.






사실 물리학1 과정만 하는 학생들에게는 다소 어려운 내용일 수 있지만, 어찌됐건 중력과 중력가속도가 전기력과 마찬가지로 두 물체 사이에 작용하는 힘에 의해 나온 개념이라는 것과,




그렇기 때문에 위치에 따라 달라질 수 있다는 정도만 아셨으면 좋겠습니다.






keyword
작가의 이전글21 SEMI 'meet the expert' 요약